75113-1 (704910), страница 2
Текст из файла (страница 2)
Неполное использование возможностей скорости и грузоподъемности механизмов и машин можно характеризовать коэффициентом производительности П:
, (6.44)
где
– фактическое количество циклов, совершаемых механизмом за час;
– расчетное количество циклов, совершаемых механизмом за час; Уф, Ур – фактический вес подъема груза механизмом за цикл и грузоподъемность механизма (т) соответственно.
Произведение коэффициента использования рабочего времени а на коэффициент производительности П называется коэффициентом интенсивности загрузки машин, обозначен на рис. 8.9 как "полезная работа".
Кн = а * П, (8.45)
или
. (8.46)
Числитель этой зависимости выражает фактически выполненный объем работ за время Тр
Ор = Тр *
* Уф. (8.47)
знаменатель же этой зависимости можно выразить как
Тф *
* Ур = Тф * Чр , (8.48)
где Ур – расчетная часовая производительность машин.
Подставляя эти значения в формулу, получаем коэффициент интенсивности загрузки машин:
, (8.49)
где Ор – объем переработанной продукции на базе снабжения и сбыта, кг.
Пример. Интенсивное использование техники на базах и складах снабжения и сбыта в течение работы механизмов в течение смены Тф = 8 ч. Грузоподъемность используемого автопогрузчика Уф = 5 т. Определим коэффициент интенсивной загрузки, если коэффициент использования грузоподъемности в первом случае будет равен 0,5, а время одного цикла – 240 сек, а во втором и третьем случаях соответственно 1,0 и 120 сек.
Расчетное число циклов работы механизмов в трех случаях
= 36. Время полезной работы машин составляло 6 ч для первого и второго случая и 7 часов – для третьего.
Решение. Определим фактическое количество циклов, совершаемых механизмом за час:
,
;
.
Коэффициент интенсивной загрузки определим по формуле
:
1)
;
2)
;
3)
.
Коэффициент интенсивной загрузки вырос примерно в 4 раза при увеличении числа циклов и фактического веса подъема груза механизмом за один цикл; при увеличении числа циклов, времени полезной работы и фактического веса подъема груза механизма за один цикл – в 4,5 раза. Следовательно, при интенсивной загрузке техники большую роль играет увеличение скорости и грузоподъемности машин и механизмов.
Как уже указывалось, коэффициент экстенсивной загрузки КЭК характеризует использование машин во времени, а коэффициент интенсивной загрузки Ки – использование мощности машин за время в наряде. На рис. 8.10 показана обобщающая структура использования машин по экстенсивной и интенсивной загрузке.
Абсцисса диаграммы характеризует использование машин по времени, ордината – по производительности. Площадь графика (полезная работа) характеризует использование машин по времени и по производительности. Как видно из диаграммы, чтобы охарактеризовать работу машин по интенсивности и продолжительности их использования, целесообразно применять коэффициент эффективности загрузки:
Рис. 8.10. Обобщающая диаграмма использования машин и механизмов по экстенсивной и интенсивной загрузке
Кэф = Кэк * Ки. <6-50)
Эффективность загрузки можно определить и при помощи следующей формулы:
или
, (8.51)
где Ор – фактически выполненный объем работы, т; Тмакс – максимальное возможное время использования машин, ч; Чр – часовая производительность механизма, т / час. В нашем примере коэффициент эффективности загрузки механизмов составит:
1. Кэф = (0,25 * 0,16) * 100% = 4%;
2. Кэф = (0,50 * 0,625) * 100% = 31,25%;
3. Кэф = (0,60 * 0,73) * 100% = 43,8 %.
Из приведенного примера видно, что наибольшая эффективность загрузки будет при наибольшем количестве применяемых механизмов и наибольшей продолжительности их использования, а также при максимальной загрузке машин и механизмов на предприятиях оптовой торговли.
Все упомянутые показатели использования машин можно вычислить по данным учета фактических затрат времени и объема выполненных работ в соотношении с показателями, имеющимися в паспорте машин и механизмов. Необходимо выбрать период работы, для которого производится расчет, провести анализ использования механизмов на предприятиях оптовой торговли, а также определить продолжительность их работы.
Из приведенных выше расчетов, характеризующих работу машин, видим, что если экстенсивная загрузка машин ограничивается максимальным временем их работы, то возможности интенсификации работы машин по существу не ограничены. Это вытекает из необходимости непрерывно уменьшать непроизводительные затраты времени на выполнение работ и увеличивать скорость работы машин и их разгрузку, а также совершенствовать конструкцию машин и механизмов, повышать грузоподъемность и их использование.
Анализ использования машин и механизмов по показателям экстенсивной, интенсивной и эффективной загрузки позволяет охватить все возможные случаи оценки производительности машин. Он характеризует влияние отдельных факторов на возможности улучшения машиноиспользования. Этот метод дает возможность наиболее объективно оценивать работу машин, лучше вскрывать потери и обнаруживать резервы для разработки действенных мероприятий по улучшению работы машинной техники складского хозяйства.
Расчет необходимого количества подъемно-транспортных механизмов. Производительность машин периодического действия определяется по формуле:
Qч = q * n * k, (8.52)
где q – грузоподъемность машин, т; n – количество сделанных циклов (рейсов) за час; k– коэффициент использования машины по грузоподъемности.
Количество сделанных циклов п за час определяется по формуле:
,
где Т – время, расходуемое на один цикл, сек.
Количество подъемно-транспортного оборудования (ПТО) периодического действия определяется по формуле:
, или
,
где Ос, Qг – суточный и годовой грузооборота;
Тс, Тг – количество часов работы ПТО за сутки, год.
Пример. Имеются следующие данные: грузоподъемность механизма – 5 т, количество циклов – 10, коэффициент использования машины по грузоподъемности – 0,8, суточный грузооборот – 640 т, количество часов работы ПТО за сутки – 8. По этим данным определяем количество ПТО:
ед.
Определение полезной площади способом нагрузки на 1 м2 площади пола по формуле:
,
гае qзап –величина установленного запаса соответствующего материала на складе, т (принимаем 20 000 т); – нагрузка на 1 м2 площади пола (принимаем 2,5 т / м2). Подставив данные в формулу, получим:
м2.
Определение общей площади склада:
(м2),
гае fпол – полезная площадь склада, м2 (примем 8000 м2); – коэффициент использования площади (примем 0,4).
Подставив данные, получим:
м2.
Расчет емкости склада по формуле:
Е = Fc * qт,
где Fc – площадь, используемая под непосредственное складирование груза, м ; qт – удельная нагрузка, т/м , откуда
(м2), а
(т / м2).
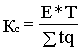
Средний срок хранения грузов на складе определяется по формуле:
,
Q –tq – общее количество тонно-дней хранения за период (месяц, год); где общее количество груза, прошедшего через склад:
tq = tхр1 * Q1 + tхр2 * Q2 + ... + tхрn * Qn.
Например, за месяц (30 дней) через склад прошло 10000 т груза, причем 3000 т груза хранилось 10 дней, 2000 т – 5 дней, 4000 т – 8 дней и 1000 т – 7 дней.
Следовательно, общее число тонно-дней хранения составит
tq = 10 * 3000 + 5 * 2000 + 8 * 4000 +1000 * 7 = 79000,
откуда
дней.
Коэффициент использования емкости склада равен:
,
где Е – емкость склада, т; Т – период работы склада, дней.
Если принять емкость склада 5267 т, то по результатам работы склада за месяц
.
Оборот склада По определяется по формуле:
.
Следовательно, для нашего примера:
оборота.
Эта величина может быть получена также из выражения
оборота.
Ее можно рассчитать также по формуле:
оборота.
Пропускная способность склада характеризует то количество груза, которое может пройти через склад за период (месяц, год) при максимальном использовании емкости и при данной средней продолжительности хранения:
или Пскл = Е * По.
Используя имеющиеся исходные данные, рассчитаем месячную пропускную способность склада емкостью 5267 т при 3,75 оборота
Пскл = 5267 * 3,75 = 19751,25 т.
Показатели использования погрузочно-разгрузочного оборудования:
коэффициент использования оборудования во времени Квр:
,
где Тф – фактическое время работы на грузовых операциях (принимаем 2000 ч); Тк – общий календарный период, ч (принимаем 7500 ч); Тпл – плановый ремонт, ч (принимаем 2500 ч).
Следовательно,
;
коэффициент использования оборудования по производительности Кпр:
,
где Рф – фактическая производительность, т; Рпл – плановая производительность, т;
коэффициент используемого подъемно-транспортного оборудования по времени за смену K'вp:
где То – время работы механизма за смену, ч; Тсм – время смены, ч.
Выводы
Складирование продукции необходимо в связи с имеющимися колебаниями циклов производства, транспортировок и ее потребления.
Склад – здания, сооружения, устройства, предназначенные для приемки и хранения различных материальных ценностей, подготовки их к производственному потреблению и бесперебойному отпуску потребителям.
В сети распределения продукции имеется несколько маршрутов.
Оборудование для хранения грузов можно подразделить по роду хранимых материалов: для хранения штучных крупногабаритных, тарноштучных, сыпучих, жидких и газообразных грузов в соответствии с физическим состоянием и характеристиками грузов.
Эффективное использование транспортных средств, погрузочно-разгрузочных механизмов и трудовых ресурсов достигается путем разработки технологического процесса с учетом достигнутой выработки переработки груза передовыми бригадами, эффективных способов заготовки пакетов и укладки груза; технических характеристик средств малой механизации, дальности перевозок и т.д.
Время обработки автомобилей, прибывающих на предприятие, зависит от количества груза, типа автомобиля, пунктов погрузки, погрузочных механизмов и других причин.
Одним из направлений использования машин и механизмов на предприятиях оптовой торговли является интенсивное использование техники, обеспечивающее лучшее использование всех возможностей оборудования, машин и механизмов в процессе работы.
Максимальная экономия времени интенсивного вида может быть достигнута, если затраты рабочего времени машин и механизмов на единицу работы будут сведены до минимальных устойчивых величин.
При интенсивной загрузке машин и механизмов необходимо учитывать возможности по использованию скорости и грузоподъемности механизмов.
Список литературы
Для подготовки данной работы были использованы материалы с сайта http://www.cfin.ru/
6>













