64048 (695535), страница 2
Текст из файла (страница 2)
Рис. 2.1 – Типичная зависимость интенсивности отказов систем от времени
Она имеет три явно выраженных периода: приработки I, нормальной эксплуатации II, и износа III.
Приработочные отказы наблюдаются в первый период (0 – t1) эксплуатации РЭА и возникают, когда часть элементов, входящих в состав РЭА, являются бракованными или имеют скрытые дефекты. Физический смысл приработочных отказов может быть объяснен тем, что электрические и механические нагрузки, приходящиеся на компоненты РЭА в приработочный период, превосходят их электрическую и механическую прочность. Поскольку продолжительность периода приработки РЭА определяется в основном интенсивностью отказов входящих в ее состав некачественных элементов, то продолжительность безотказной работы таких элементов обычно сравнительно низка, поэтому выявить и заменить их удается за сравнительно короткое время.
В зависимости от назначения РЭА период приработки может продолжаться от нескольких до сотен часов. Чем более ответственное изделие, тем больше продолжительность этого периода. Период приработки составляет обычно доли и единицы процента от времени нормальной эксплуатации РЭА во втором периоде.
Как видно из рисунка, участок «кривой жизни» РЭА, соответствующий периоду приработки I, представляет собой монотонно убывающую функцию (t), крутизна которой и протяженность во времени тем меньше, чем совершеннее конструкция, выше качество ее изготовления и более тщательно соблюдены режимы приработки. Период приработки считают завершенным, когда интенсивность отказов РЭА приближается к минимально достижимой (для данной конструкции) величине min в точке t1.
Приработочные отказы могут быть следствием конструкторских (например, неудачная компоновка), технологических (некачественное выполнение сборки) и эксплуатационных (нарушение режимов приработки) ошибок.
С учетом этого, при изготовлении изделий предприятиям рекомендуется проводить прогон изделий в течение нескольких десятков часов работы (до 2–5 суток) по специально разработанным методикам, в которых предусматривается работа при влиянии различных дестабилизирующих факторов (циклы непрерывной работы, циклы включений-выключений, изменения температуры, напряжения питания и пр.).
Период нормальной эксплуатации. Внезапные отказы наблюдаются во второй период (t1–t2) эксплуатации РЭА. Они возникают неожиданно вследствие действия ряда случайных факторов, и предупредить их приближение практически не представляется возможным, тем более что к этому времени в РЭА остаются только полноценные компоненты. Однако и такие отказы все же подчиняются определенным закономерностям. В частности, частота их появления в течение достаточно большого промежутка времени одинакова в однотипных классах РЭА.
Физический смысл внезапных отказов может быть объяснен тем, что при быстром количественном изменении (обычно – резком увеличении) какого-либо параметра в компонентах РЭА происходят качественные изменения, в результате которых они утрачивают полностью или частично свои свойства, необходимые для нормального функционирования. К внезапным отказам РЭА относят, например, пробой диэлектриков, короткие замыкания проводников, неожиданные механические разрушения элементов конструкции и т. п.
Период нормальной эксплуатации РЭА характеризуется тем, что интенсивность ее отказов в интервале времени (t1–t2) минимальна и имеет почти постоянное значение min const. Величина min тем меньше, а интервал (t1–t2) тем больше, чем совершеннее конструкция РЭА, выше качество ее изготовления и более тщательно соблюдены режимы эксплуатации. Период нормальной эксплуатации РЭА общетехнического назначения может продолжаться десятки тысяч часов. Он может даже превышать время морального старения аппаратуры.
Период износа. В конце строка службы аппаратуры количество отказов снова начинает нарастать. Они в большинстве случаев являются закономерным следствием постепенного износа и естественного старения используемых в аппаратуре материалов и элементов. Зависят они главным образом от продолжительности эксплуатации и «возраста» РЭА.
Средний срок службы компонента до износа - величина более определенная, чем время возникновения приработочных и внезапных отказов. Их появление можно предвидеть на основании опытных данных, полученных в результате испытаний конкретной аппаратуры.
Физический смысл отказов из-за износов может быть объяснен тем, что в результате постепенного и сравнительно медленного количественного изменения некоторого параметра компонента РЭА этот параметр выходит за пределы установленного допуска, полностью или частично утрачивает свои свойства, необходимые для нормального функционирования. При износе происходит частичное разрушение материалов, при старении – изменение их внутренних физико-химических свойств.
К отказам в результате износа относят потерю чувствительности, точности, механический износ деталей и др. Участок (t2–t3) «кривой жизни» РЭА, соответствующий периоду износа, представляет собой монотонно возрастающую функцию, крутизна которой тем меньше (а протяженность во времени тем больше), чем более качественные материалы и комплектующие изделия использованы в аппаратуре. Эксплуатация аппаратуры прекращается, когда интенсивность отказов РЭА приблизится к максимально допустимой для данной конструкции.
Вероятность безотказной работы РЭА. Возникновение отказов в РЭА носит случайный характер. Следовательно, время безотказной работы есть случайная величина, для описания которой используют разные распределения: Вейбулла, экспоненциальный, Пуассона.
Отказы в РЭА, содержащей большое число однотипных неремонтируемых элементов, достаточно хорошо подчиняются распределению Вейбулла. Экспоненциальное распределение основано на предположении постоянной во времени интенсивности отказов и успешно может быть использовано при расчетах надежности аппаратуры одноразового применения, содержащей большое число неремонтируемых компонентов. При длительной работе РЭА для планирования ее ремонта важно знать не вероятность возникновения отказов, а их число за определенный период эксплуатации. В этом случае применяют распределение Пуассона, позволяющее подсчитать вероятность появления любого числа случайных событий за некоторый период времени. Распределение Пуассона применимо для оценки надежности ремонтируемой РЭА с простейшим потоком отказов.
Вероятность отсутствия отказа за время t составляет Р0 = ехр(-t), а вероятность появления i отказов за то же время Pi = i ti exp(-t)/i!, где i = 0, 1, 2, ..., n - число отказов.
3 Структурная надежность аппаратуры
Структурная надежность любого радиоэлектронного аппарата, в том числе и РЭА, это его результирующая надежность при известной структурной схеме и известных значениях надежности всех элементов, составляющих структурную схему.
При этом под элементами понимаются как интегральные микросхемы, резисторы, конденсаторы и т. п., выполняющие определенные функции и включенные в общую электрическую схему РЭА, так и элементы вспомогательные, не входящие в структурную схему РЭА: соединения паяные, разъемные, элементы крепления и т. д.
Надежность указанных элементов достаточно подробно изложена в специальной литературе. При дальнейшем рассмотрении вопросов надежности РЭА будем исходить из того, что надежность элементов, составляющих структурную (электрическую) схему РЭА, задана однозначно.
Количественные характеристики структурной надежности РЭА. Для их нахождения составляют структурную схему РЭА и указывают элементы устройства (блоки, узлы) и связи между ними. Затем производят анализ схемы и выделяют элементы и связи, которые определяют выполнение основной функции данного устройства. Из выделенных основных элементов и связей составляют функциональную (надежностную) схему, причем в ней выделяют элементы не по конструктивному, а по функциональному признаку с таким расчетом, чтобы каждому функциональному элементу обеспечивалась независимость, т. е. чтобы отказ одного функционального элемента не вызывал изменения вероятности появления отказа у другого соседнего функционального элемента. При составлении отдельных надежностных схем (устройств узлов, блоков) иногда следует объединять те конструктивные элементы, отказы которых взаимосвязаны, но не влияют на отказы других элементов.
Определение количественных показателей надежности РЭА с помощью структурных схем дает возможность решать вопросы выбора наиболее надежных функциональных элементов, узлов, блоков, из которых состоит РЭА, наиболее надежных конструкций, панелей, стоек, пультов, рационального порядка эксплуатации, профилактики и ремонта РЭА, состава и количества ЗИП.
При построении надежностных структурных схем используют последовательное, параллельное и последовательно-параллельное включение элементов.
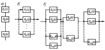
При последовательном включении элементов (рис. 3.1, а) для надежной работы схемы необходима работа всех функциональных элементов.
Рис. 3.1 – Схемы последовательного (а), параллельного (б) и параллельно-последовательного (в) включения элементов в надежностной структурной схеме
Тогда вероятность безотказной работы схемы будет равна произведению вероятностей безотказной работы всех функциональных элементов:
P(t) = P1(t) P2(t) … Pn(t),
где n – число элементов схемы.
Для другого простейшего случая построения структурной схемы параллельного соединения элементов (б) при вероятности отказов Qi(t) для каждого из элементов, входящих в схему, отказ всей схемы будет иметь место тогда, когда откажут все элементы, тоесть:
Q(t) = Q1(t) Q2(t) ... Qm(t),
где m - число параллельно соединенных элементов. При этом вероятность безотказной работы всей схемы:
P(t) = 1 – Q(t).
Для экпоненциального распределения наработки до отказа среднее время наработки на отказ составит
4 Методы повышения надежности
Методы повышения надежности можно разделить на структурные и информационные.
Структурные методы повышения надежности. Абсолютной надежности технических устройств добиться принципиально невозможно, а максимально повысить показатели их надежности реально. Повышение уровня надежности РЭА достигается, прежде всего, устранением причин, вызывающих в ней отказы, т. е. сведением к минимуму конструкторских, технологических и эксплуатационных ошибок.
Значительного повышения надежности РЭА достигают созданием новых элементов. Однако повышением надежности элементов не удается полностью решить проблему, что вызвано значительным опережением роста сложности вновь разрабатываемых РЭА. Поэтому один из путей повышения надежности РЭА - введение схемной избыточности.
Повышение надежности РЭА резервированием. Резервирование – способ повышения надежности аппаратуры, заключающийся в дублировании РЭА в целом или отдельных ее модулей или элементов. Резервирование предполагает включение в схему устройства дополнительных элементов, которые позволяют скомпенсировать отказы отдельных частей устройств и обеспечить его надежную работу. Но резервирование эффективно только в том случае, когда неисправности являются статистически независимыми. Различают следующие виды резервирования: постоянное (резервные элементы включены вместе с основным и функционируют в тех же режимах); резервирование замещением (обнаружение отказавшего элемента и замена его резервным); скользящее резервирование (любой резервный элемент может замещать любой отказавший).
Если Pc(t) – вероятность безотказной работы системы, то установка и включение параллельно нескольких таких же систем приводит к увеличению результирующей вероятности безотказной работы резервированной системы P(t), которую можно определить из выражения:
P(t) = 1 – [1-Pc(t)]m+1,
где m – число резервных систем, включенных параллельно основной.
В РЭА применяется общее (резервируются отдельные модули), и поэлементное резервирование на уровне микросхем или отдельных элементов. При одинаковом количестве резервных элементов поэлементное резервирование эффективнее общего, но требует большого числа дополнительных электрических связей.
Постоянное резервирование в РЭА производят по следующей схеме: входные сигналы поступают на n логических схем, причем n> k, где k – число логических схем в нерезервированной схеме. Выходные сигналы всех n логических схем далее подают на решающий элемент, который согласно функции решения по этим сигналам определяет значения выходных сигналов всей схемы. Функция решения – правило отображения входных состояний решающего элемента на множество его выходных состояний.
Простейший и наиболее распространенный вид функции решения – «закон большинства», или мажоритарный закон. Решающий элемент обычно называют мажоритарным элементом. Работа мажоритарного элемента состоит в следующем: на входы элемента поступают двоичные сигналы от нечетного количества идентичных элементов; выходной сигнал элемента принимает значение, равное значению, которое принимает большинство входных сигналов.















