63559 (695377)
Текст из файла
Однофазный трёхуровневый преобразователь с улучшенным гармоническим спектром входного тока.
Выпрямители применяются в достаточно большом количестве преобразовательных устройств и систем,. К ним, прежде всего, можно отнести системы для электрических приводов, телекоммуникационные устройства, электролизные и электротермические установки, сварочные и зарядные аппараты, системы бесперебойного электропитания и т. д. По сути перечисленное оборудование является нелинейной нагрузкой, применение которой приводит к возникновению искажений тока и напряжения в питающей сети, вследствие чего возникают проблемы, связанные с электромагнитной совместимостью источника питания и нагрузки. Поэтому необходимо нормировать отрицательное воздействие нелинейных нагрузок на питающую сеть. В России разработаны системы стандартов и сертификации по электромагнитной совместимости.
В настоящее время предложено большое разнообразие выпрямительных схем, позволяющих улучшить гармонический состав входного тока. В зарубежных публикациях уже предлагаются некоторые классификации выпрямительных схем, позволяющие выделить отдельные группы схем выпрямителей по тем или иным общим признакам. Руководствуясь классификацией, можно выделить две основные группы выпрямителей - "Unidirectional" и "Bidirectional", каждая из которых включает в себя следующие виды выпрямителей: Boost rectifier, Buck rectifier, Buck-Boost rectifier, Multilevel rectifier, Multipulse rectifier. В России исследовательские работы в отношении перечисленных схем выпрямителей ведутся достаточно активно.
В последнее время усилился интерес к многоуровневым выпрямителям (Multilevel rectifier), позволяющим формировать входной ток, близкий к синусоиде. Несмотря на достаточно большое количество работ, посвящённых исследованию многоуровневых выпрямительных схем, остаются вопросы, которые по тем или иным причинам освещены в меньшей степени.
Рассмотрим алгоритмы управления дополнительными двунаправленными ключами однофазного трёхуровневого выпрямителя, проводём анализ электромагнитных процессов, позволяющий выявить свойства выпрямителя, выведем соотношения для токов и напряжений элементов схемы, а также внешней характеристики.
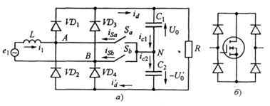
Схема выпрямителя приведена на рис. 1а, а на рис. 1б - одна из возможных схемных реализаций, применяемых в схеме, дополнительных двунаправленных ключей Sа Sb.
Свойства рассматриваемого выпрямителя во многом зависят от алгоритмов управления дополнительными ключами. Используя широтно-импульсную модуляцию работы ключей можно добиться низкого содержания неосновных гармоник во входном токе выпрямителя. Однако хорошего качества входного тока возможно достичь и при других алгоритмах управления ключами Sa, Sb, при которых осуществляется их низкочастотное переключение. Это позволяет в значительной степени снизить коммутационные потери.
Н
Рисунок 1. Схемы однофазного трёхуровнего выпрямителя (а) и двунаправленного ключа (б).
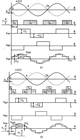
Алгоритм I. Основной принцип данного алгоритма заключается в том, что на определённых интервалах работают ключи Sa, Sb, а между ними -диоды выпрямителя рис.2, а. Длительность интервалов управления ключами определяется коэффициентом γ, изменяющимся в пределах 0-1. Рассматриваемый алгоритм позволяет обеспечить форму входного тока (i1), близкую к синусоиде, в этой связи при анализе будем полагать, что ток входной фазы выпрямителя синусоидальный. При этом токи id и i'd , формирующиеся в
Рисунок 3. Токи
с
Рисунок 2. Алгоритм I(а) и алгоритм II (б) работы выпрямителя.
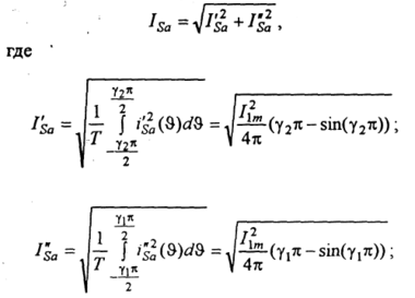
Алгоритм II. Второй алгоритм отличается от первого наличием интервала совместной работы ключей Sa Sb и позволяет получить меньший коэффициент гармоник входного тока по сравнению с алгоритмом I. При анализе будем, как и ранее, полагать, что входной ток выпрямителя чисто синусоидальный. Тогда, как видно из рис.4, ток ключей Sа, Sb содержит в себе две составляющие i', i", формирующиеся от двух интервалов работы ключей. Таким образом, действующее значение тока, например ключа Sа,
γ1 = 0÷1 - коэффициент, определяющий длительность узкого импульса управления для дополнительных ключей; γ2 = 0÷1 - коэффициент, определяющий длительность широкого импульса управления для дополнительных ключей.
Следовательно,
О
чевидно, что ISa = ISb. Согласно рис.4 максимальное значение токов ключей Sа Sb определяется следующим соотношением:
Д
ействующее значение тока диода выпрямителя для рассматриваемого алгоритма
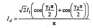
Согласно рис 4, среднее значение тока:
Рисунок 4. Токи при алгоритме II управления ключами
Характеристики
Тип файла документ
Документы такого типа открываются такими программами, как Microsoft Office Word на компьютерах Windows, Apple Pages на компьютерах Mac, Open Office - бесплатная альтернатива на различных платформах, в том числе Linux. Наиболее простым и современным решением будут Google документы, так как открываются онлайн без скачивания прямо в браузере на любой платформе. Существуют российские качественные аналоги, например от Яндекса.
Будьте внимательны на мобильных устройствах, так как там используются упрощённый функционал даже в официальном приложении от Microsoft, поэтому для просмотра скачивайте PDF-версию. А если нужно редактировать файл, то используйте оригинальный файл.
Файлы такого типа обычно разбиты на страницы, а текст может быть форматированным (жирный, курсив, выбор шрифта, таблицы и т.п.), а также в него можно добавлять изображения. Формат идеально подходит для рефератов, докладов и РПЗ курсовых проектов, которые необходимо распечатать. Кстати перед печатью также сохраняйте файл в PDF, так как принтер может начудить со шрифтами.
















