62091 (694786)
Текст из файла
Министерство Просвещения ПМР
Бендерский Политехнический Техникум
Кафедра АСОИиУ
РЕФЕРАТ
по дисциплине: "Компьютерно телекоммуникационные Сети"
на тему: "Настройка конфигураций TCP\IP вручную"
Выполнил: уч-ся 3 курса
36 К группы
Балтажи В.С.
Проверил: преподаватель
Емельянова О.Ю.
г. Бендеры
2002 г.
Содержание:
-
История развития Сети
-
Основные понятия о Сети
-
Протокол управления передачей (TCP) и Межсетевой протокол (IP)
-
DHCP - что это такое (IP навигатор или "рабочая лошадка" сисадмина)?
-
Настройка конфигураций вручную и автоматическая конфигурация
История развития Сети
Предпосылки
Зарождение предпосылок создания глобальной Сети происходило в полном соответствий с глобальным философским законом о превращении количественных изменении в качественные. Как известно в период с 1945-1960 гг. в СССР и США проводились работы не только по созданию компьютеров, но и по интерактивному взаимодействию человека с машиной. В результате появились первые интерактивные устройства и вычислительные машины, работающие в режиме разделения времени. Правда, кого-то при этом щедро финансировали, а кто-то был иногда работать чуть ли не в подполье. Нашим ученым приходилось соблюдать конспирацию, дабы их не заподозрили в симпатий к "лженауке кибернетике". А ведь именно так определил новую науку советский научный словарь, изданный в середине XX века! Быть может, отголоски той эпохи можно встретить в отечественном термине ЭВМ, что, как известно, означает "электронно-вычислительная машина" и, как можно предположить, вполне сродни выражение "деревянно-письменный стол".
В 1957 г. в США, по указанию президента Дуайта Эйзенфаура, в составе Отдела Обороны (DoD, Department of Defence) формируется два правительственных органа: Национальная аэрокосмическая администрация NASA (National Aeronautics and Space Administration), которая в представлений не нуждается, а также Агентство по Передовым Оборонным Исследованиям (DAPRA или Defence Advanced Research Projects Agency). Сделано это было с целью продвижения военных технологий США на лидирующие позиций в мире.
Прогресс человечества и военные технологий всегда идут вместе, поэтому весь начальный этап развития нарождающей Сети будет связан с военными ведомством США. В начале 60-х годов основные работы DAPRA были посвящены разработке метода соединений компьютеров друг с другом. Агентство выделяет денежные средства для привлечения к перспективным разработкам университетов и корпораций (Массачусетский Технологический Институт -MIT, некоммерческая организация, занимающаяся стратегическими исследованиями и разработками -RAND Corporation).
В 1962 г. Дж. Ликлайдер (J.C.R. Liclider) публикует работу "Galactic Network", в котором предсказывает возможность существования в будущем глобальной компьютерной связи между людьми, имеющими мгновенный доступ к программам и базам данных из любой точки земного шара. Как это не удивительно, его предвидение в полном мере отражало современное устройство всемирной Сети. Тогда же, в августе 1962 г., вышла статья Дж. Ликлайдера и В. Сларка "Интерактивная связь человека с компьютером".
Возглавим первую исследовательскую программу, начатую DAPRA 4 октября 1962 г. Ликлайдер сумел увлечь своей концепцией группу ученых, среди которых был и его преемник- исследователь из MIT Лоуренс Робертс (Lowrence G. Roberts), а также Ивана Сазерленда (Ivan Sutherland) и Боба Тейлора (Bob Taylor).
В июле 1961 г. Леонард Клейнрок (Leonard Kleinrock) разработал и впервые опубликовал статью "Информационный поток в крупных коммутационных Сетях", где представил новую теорию передачи данных. Это была первая публикация по теорий коммутаций пакетов. В 1964 г. новая концепция вышла уже в книге. Тогда же Л. Клейнрок убедил Л. Робертса в возможности коммуникаций с использованием пакетов и в преимуществах своей теорий перед древнейшим принципом коммутаций каналов. Как известно, при пакетной коммутаций необходимые для передачи данные разбиваются на фрагменты, к каждому из которых присоединяется заголовок (адрес), одержащий полную информацию о доставке пакета по назначению. В результате один канал связи может использоваться для одновременно передачи данных множества пользователей, тогда как при коммутаций каналов, широко используемой в традиционной телефонной связи, канал связи выделяется исключительно к услугам двух пользователей, расположенные на его концах.
В преддверии
Для проверки новой концепций пакетной коммутаций Л. Робертс и Т. Мерилл еще в 1965 г. соединили компьютер TX-2 в штате Массачусетс (MIT, Лабораторий Линкольна) с компьютером Q-32 в System Development Corporation (Санта-Моника, Калифорния) с помощью низкоскоростных телефонных коммутируемых линий (пока еще без коммутаций пакетов).
Таким образом, в 1965 г. в США была создана первая в историй маленькая, но вовсе даже нелокальная компьютерная сеть. Результатом эксперимента стало понимание того, что компьютеры могут успешно работать вместе, выполняя программы и осуществляя выборку данных. Стало также ясным и то, что телефонная сеть с коммутацией каналов абсолютно непригодна для построения компьютерной сети. Разумеется, Л. Клейнрок еще раз убедился в необходимости пакетной коммутаций, и это было в тот момент самым главным.
В конце 1966 г. DARPA пригласило Л. Робертса для реализаций проекта компьютерной сети ARPANET. Целями проекта были объединения исследовательских учреждений, проведение экспериментов в области компьютерной коммуникаций, а также изучение способов поддержки надежной связи в условиях ядерного нападения.
Итак, Л. Робертс начал работать над разработкой концепций децентрализованного (распределенного) управления военными и гражданскими объектами в период ведения войн. Довольно быстро появился план ARPANET. В 1967 г. на симпозиуме по Принципам Взаимодействия (Operating Principles), организованной Ассоциацией машинных вычислений (ACM, Association for Computing Machinery), которая была основана еще 1947 г. и является первым научным и образовательным компьютерным сообществом, был представлен проект сети с коммутацией пакетов. И тогда же, в 1967 г. первое издание проекта ARPANET опубликовано Л. Робертсом.
В 1964 г. группа сотрудников RAND Corporation написала статью по сетям с пакетной коммутацией для надежных голосовых коммуникаций в военных системах. Работы, которые проводились в середине 60-х годах в MIT, RAND, и NPL, были во многом параллельными, и эти организаций не имели информации о деятельности друг друга. Разговор Л. Робертса с сотрудниками NPL увенчался заимствованием слова "пакет" и решение увеличить предлагаемую скорость передачи по каналам проектируемой сети ARPANET с 2,4 Кб/с до 50 Кб/с.
В конце 1969 г. в одну компьютерную сеть были включены четыре исследовательских центра:
-
University of California Los Angeles (UCLA);
-
Stanford Research Institute (SRI);
-
University of California at Santa Barbara (UCSB);
-
University of Utah.
Рождение
В октябре 1969 г. было послано первое электронное сообщение между узлами UCLA (Калифорнийский Университет, Лос-Анджелес) и SRI (Исследовательский Институт Стэнфорда). Говорят, что в самом начале работы эта сеть сразу же "зависла", но процесс пошел.
Вот так четыре удаленных компьютера были объединены в первоначальную конфигурацию ARPANET. Так, собственно и началось становление и рост Internet'а, которому уже, если можно считать, 33 года. Одновременно Р. Кан разработал общую архитектуру сети ARPANET, Л. Робертс разработал топологию и экономические вопросы, Л. Клейнрок представил все средства измерений и анализа сети.
Так и завершился начальный этап становления Интернета.
Основные понятия о Сети
Локальная сеть представляет собой набор компьютеров, периферийных устройств (принтеров и т. п.) и коммутационных устройств, соединенных кабелями.
Подавляющая часть компьютеров западного мира объединена в ту или иную сеть. Опыт эксплуатации сетей показывает, что около 80% всей пересылаемой по сети информации замыкается в рамках одного офиса. Поэтому особое внимание разработчиков стали привлекать так называемые локальные вычислительные сети (LAN). Локальные вычислительные сети отличаются от других сетей тем, что они обычно ограничены умеренной географической областью (одна комната, одно здание, один район).
Существует два типа компьютерных сетей: одноранговые сети и сети с выделенным сервером. Одноранговые сети не предусматривают выделение специальных компьютеров, организующих работу сети. Каждый пользователь, подключаясь к сети, выделяет в сеть какие-либо ресурсы (дисковое пространство, принтеры) и подключается к ресурсам, предоставленным в сеть другими пользователями. Такие сети просты в установке, налаживании; они существенно дешевле сетей с выделенным сервером. В свою очередь сети с выделенным сервером, несмотря на сложность настройки и относительную дороговизну, позволяют осуществлять централизованное управление.
И все компьютерные сети или практически применяют (если так можно назвать базовые топологий) построения локальной сети:
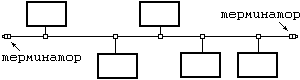
Топология «Шина»
В
се компьютеры подключаются к одному кабелю. На его концах должны быть расположены терминаторы. По такой топологии строятся 10 Мегабитные сети 10Base-2 и10Base-5. В качестве кабеля используется Коаксиальные кабели.
Рис.1. Топология «Шина»
Пассивная топология, строится на использовании одного общего канала связи и коллективного использования его в режиме разделения времени. Нарушение общего кабеля или любого из двух терминаторов приводит к выходу из строя участка сети между этими терминаторами (сегмент сети). Отключение любого из подключенных устройств на работу сети никакого влияния не оказывает. Неисправность канала связи выводит из строя всю сеть Все компьютеры в сети “слушают” несущую и не участвуют в передаче данных между соседями. Пропускная способность такой сети снижается с увеличением нагрузки или при увеличении числа узлов.
Для соединения кусков шины могут использоваться активные устройства - повторители (repeater) с внешним источником питания.
Топология “Звезда”
К
аждый компьютер (и т.п.) подключен отдельным проводом к отдельному порту устройства, называемого концентратором или повторителем (репитер), или хабом(Hub).
Рис. 2. Топология “Звезда”
Концентраторы могут быть как активные, так и пассивные. Если между устройством и концентратором происходит разрыв соединения, то вся остальная сеть продолжает работать. Правда, если этим устройством был единственный сервер, то работа будет несколько затруднена. При выходе из строя концентратора сеть перестанет работать.
Данная сетевая топология наиболее удобна при поиске повреждений сетевых элементов: кабеля, сетевых адаптеров или разъемов. При добавлении новых устройств "звезда" также удобней по сравнению с топологией общая шина. Также можно принять во внимание, что 100 и 1000 Мбитные сети строятся по топологии "Звезда".
Топология “Кольцо”
Активная топология. Все компьютеры в сети связаны по замкнутому кругу. Прокладка кабелей между рабочими станциями может оказаться довольно сложной и дорогостоящей если они расположены не по кольцу, а, например, в линию. В качестве носителя в сети используется витая пара или оптоволокно. Сообщения циркулируют по кругу. Рабочая станция может передавать информацию другой рабочей станции только после того, как получит право на передачу (маркер), поэтому коллизии исключены. Информация передается по кольцу от одной рабочей станции к другой, поэтому при выходе из строя одного компьютера, если не принимать специальных мер выйдет из строя вся сеть.
Время передачи сообщений возрастает пропорционально увеличению числа узлов в сети. Ограничений на диаметр кольца не существует, т.к. он определяется только расстоянием между узлами в сети.
К
роме приведенных выше топологий сетей широко применяются т. н. гибридные топологии: “звезда-шина”, “звезда-кольцо”, “звезда-звезда”.
Рис.3. Топология “Кольцо
Часто на одном компьютере используются сетевые программы разных фирм, работающие одновременно. Для обеспечения совместимости программ Международная Организация по Стандартизации (ISO - International Standards Organization) разработала модель сетевой архитектуры, получившую известность как OSI-модель. Модель Взаимодействия Открытых Систем (Open Systems Interconnect) описывает структуру сетевых уровней. Не все разработчики программ в точности следуют этой модели, однако она дает основы понимания способов взаимодействия сетевых компонент. Получившая широкую известность модель OSI содержит семь дискретных уровней, каждый из которых обеспечивает выполнение определенной части сетевых функций при обмене данными между компьютерами сети, это:
-
Физический уровень;
-
Канальный уровень;
-
Сетевой уровень;
-
Транспортный уровень;
-
Сеансовый уровень;
-
Представительный уровень;
-
Прикладной уровень.
Рис. 4. Схема модели OSI.
Протокол управления передачей (ТСР)
ЧТО ТАКОЕ TCP/IP?
TCP/IP - это установка протоколов, используемых для связи компьютерных сетей и маршрутизации движения информации между большим количеством различных компьютеров. "TCP" означает "Протокол контроля передачи", а "IP" означает "Протокол межсетевого взаимодействия". Протоколы стандартизированы описанными допустимыми форматами, обработкой ошибок, передачей сообщений и стандартами связи. Компьютерные системы, которые подчиняются протоколам связи, таким как TCP/IP, могут использовать общий язык. Это позволяет им передавать сообщения безошибочно к нужным получателям, не смотря на большие различия в аппаратуре и программном обеспечении различных машин. Многие большие сети были выполнены с этими протоколами, включая DARPA сеть. Разнообразные университеты, учреждения и компьютерные фирмы связаны в глобальную сеть, которая следует протоколам TCP/IP. Тысячи индивидуальных машин подсоединены к сети. Любая машина сети может взаимодействовать с любой другой. Машины в сети называются "hosts"(главные ЭВМ) или "nodes"(узловые ЭВМ). TCP/IP обеспечивает базу для многих полезных средств, включая электронную почту, передачу файлов и дистанционную регистрацию. Электронная почта предназначена для передачи коротких текстовых файлов. Прикладные программы для передачи файлов могут передавать очень большие файлы, содержащие программы и данные. Они также могут выполнять контрольные проверки правильности передачи данных. Дистанционная регистрация позволяет пользователям одного компьютера зарегистрироваться на удаленной машине и продолжать интерактивный сеанс связи с этой машиной.
Протокол межсетевого взаимодействия (IP)
IP определяет несвязанную пакетную доставку. Эта доставка связывает одну или более пакетно-управляемые сети в глобальную сеть. Термин "несвязанную" означает, что получающая и посылающая машины не связаны собой непосредственным контуром. Здесь индивидуальные пакеты данных (дейтаграммы) маршрутизируются через различные машины глобальной сети к локальной сети-получателю и получающей машине. Таким образом, сообщения разбиваются на несколько дейтаграмм, которые посылаются отдельно. Заметьте, что несвязанная пакетная доставка сама по себе ненадежна. Отдельные дейтаграммы могут быть получены или не получены и с большой вероятностью могут быть получены не в том порядке, в котором они были посланы. TCP увеличивает надежность. Дейтаграмма состоит из заголовка, информации и области данных. Заголовок используется для маршрутизации и процесса дейтаграммы. Дейтаграмма может быть разбита на малые части в зависимости от физических возможностей локальной сети, по которой она передается. (Когда шлюз посылает дейтаграмму к локальной сети, которая не может разместить дейтаграмму как единый пакет, она должна быть разбита на части, которые достаточно малы для передачи по этой сети). Заголовки фрагментов дейтаграммы содержат информацию, необходимую для сбора фрагментов в законченную дейтаграмму. Фрагменты необязательно прибывают по порядку, в котором они были посланы; программный модуль, выполняющий IP протокол на получающей машине, должен собирать фрагменты в исходную дейтаграмму. Если какие-либо фрагменты утеряны, полная дейтаграмма сбрасывается.
Характеристики
Тип файла документ
Документы такого типа открываются такими программами, как Microsoft Office Word на компьютерах Windows, Apple Pages на компьютерах Mac, Open Office - бесплатная альтернатива на различных платформах, в том числе Linux. Наиболее простым и современным решением будут Google документы, так как открываются онлайн без скачивания прямо в браузере на любой платформе. Существуют российские качественные аналоги, например от Яндекса.
Будьте внимательны на мобильных устройствах, так как там используются упрощённый функционал даже в официальном приложении от Microsoft, поэтому для просмотра скачивайте PDF-версию. А если нужно редактировать файл, то используйте оригинальный файл.
Файлы такого типа обычно разбиты на страницы, а текст может быть форматированным (жирный, курсив, выбор шрифта, таблицы и т.п.), а также в него можно добавлять изображения. Формат идеально подходит для рефератов, докладов и РПЗ курсовых проектов, которые необходимо распечатать. Кстати перед печатью также сохраняйте файл в PDF, так как принтер может начудить со шрифтами.















