3227 (694263), страница 2
Текст из файла (страница 2)
У Франції сновними фондовими індексами є CAC-40 і CAC General. САС 40 розраховується за 40 акціями найбільших емітентів, що торгуються на Паризькій фондовій біржі. Ф'ючерсний контракт на даний індекс, можливо, є найбільш популярним і торгуються ф'ючерсних контрактом у всьому світі. САС General розраховується за акціями 250 емітентів.
Німеччина. Основним фондовим індексом є DAX 30, що охоплює 30 найпопулярніших акцій (на основі торговельної статистики за 3 останні роки) на Франкфуртській біржі. Індекс зважений за ринковою капіталізацією. За результатами торгів в електронній системі розраховується індекс Xetra DAX, він практично збігається з DAX 30. Проте електронна сесія довший, тому ціни закриття можуть істотно відрізнятися. Розраховуються також DAX 100 і композитний індекс CDAX по 320 акцій.
Великобританія представлена FT-SE 30 Share Index, Financial Times Industrial Ordinary Share Index вперше почав публікуватися в 1935р. і охоплює акції 30 промислових і торгових компаній. Розраховується як середня геометрична, що отримується шляхом множення курсів акцій 30 з вибірки і подальшого вилучення з твору кореня 30-го ступеня. FT-SE 100 - найбільш поширений індекс у Великобританії, широко відомий як 'footsie' (Футсі 100). Являє собою зважений арифметичний індекс, що розраховується на базі 100 найбільших за ринковою капіталізацією компаній Великобританії на щохвилинної основі. На компоненти "Футсі" припадає близько 70% загальної капіталізації фондового ринку Великобританії. FT-SE Mid 250 - індекс акцій компаній із середньою капіталізацією, на які припадає приблизно 20% ринку Великобританії. Це наступні 250 компаній після сотні найбільших, що входять в індекс FT-SE 100. Розраховується з грудня 1985р.
Головний фондовий індекс Японії - Nikkei (скорочене від словосполучення "nihon keizai" - "nihon" по-японськи Японія, а "keizai" - "фінанси, економіка"). У його вибірку входять 225 акцій, що торгуються на Токійській фондовій біржі. Це середньоарифметичним незважених індекс, що розраховується за тією ж методикою, що DJIA. Друкується з 1950р. Другий досить популярний індекс - Topix, що розраховується з 1968р. по всіх акцій, що торгуються на 1-ій секції ТФБ. Індекс JPN є модифікованим зваженим за ціною індексом, що відображає динаміку 210 звичайних акцій, які активно торгуються на Токійській фондовій біржі і представляють великий зріз всіх галузей японської економіки. JPN тісно пов'язаний, але не ідентичний індексу Nikkei.
Найбільш відомий індекс Торонтському біржі TSE 300, зважений за розміром капіталізації й охопив 14 секторів економіки.
Гонконг - найбільш відомий індекс - зважений за ринковою капіталізацією індекс Гонконгської фондової біржі Hang Seng Index, що розраховується по акціях 33 компаній, капіталізація яких становить близько 70% загальної капіталізації ринку. До складу індексу входять компанії 4 секторів: торгівля і промисловість, фінанси, комунальні послуги, земельна власність.
Перераховані вище індекси хоч і є основними і найбільш значущими не тільки для своїх національних економік, а й для всього світового господарства в цілому, але представляють лише невелику частку з усіх використовуваних біржових і позабіржових котирувальних індексів. Індекси є динамічною економічною категорією, розвиваючись і вдосконалюючись разом зі змінами у світовій економіці. Безумовно створення і використання індексів дозволило активізувати торгівлю цінними паперами в кілька разів, а отже, підвищити інвестиційну активність економік як розвинених, так і держав, що розвиваються. Сучасний аналіз фондових ринків в основних своїх положеннях грунтується на аналізі біржових індексів. Саме така відкрита гра, що дозволяє створити рівні передумови для успішного прогнозу та здійснення біржової діяльності як для великих, так і для молодих і небагатих інвесторів.
2. Еволюція та сучасні тенденції фондових індексів в Україні
В умовах ринкових відносин велике значення для регулювання національної економіки та раціонального перерозподілу інвестиційних ресурсів має розвиток фондового ринку в Україні, який значною мірою залежить від соціально-економічних змін в країні як передумов для розширення його послуг.
Розвиток біржового ринку є індикатором лібералізації економіки та успішного проведення ринкових реформ, створює важливий компонент сучасного механізму економічного регулювання, надає економіці певної гнучкості й мобільності, забезпечуючи можливість швидкого переливу ресурсів із одних галузей в інші та здійснення структурної перебудови виробництва.
Вітчизняний фондовий ринок було створено за дуже короткий період часу. Упродовж 1995-1998 років ринок швидко нарощував обсяги. Цей етап характеризується значним кількісним і якісним зростанням фондового ринку України. Каталізатором цього процесу можна вважати такі фактори, як прискорення темпів приватизації, зростання сектору державних цінних паперів з надзвичайно високою дохідністю, високі темпи інфляції та фіксований валютний курс, що стимулювало приплив грошей нерезидентів, схильних до ризику. У період фінансової кризи 1997-1998 років відбувався масовий вихід іноземного капіталу з фінансового ринку, і лише з 2000 року ринок знову почав нарощувати обсяги.
На вітчизняному ринку від 1997 р. розраховують дві модифікації фондового індексу КАС-20 — простий і зважений. Методика його розрахунку відповідає світовим стандартам і ґрунтується на зміні ринкової капіталізації компаній, які входять до бази індексу.
Індекс КАС-20(w) зважений відбиває динаміку розвитку ринку цінних паперів України, його зростання або спад. Його розраховують за формулою:
Компанія «Альфа-капітал» розраховує індекси для металургійної, хімічної, енергетичної, нафтогазової, машинобудівної галузей відповідно.
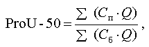
Планується розрахунок щоденних значень КАС-20. Це дасть змогу будувати лінійну зміну індексу і проводити глибший аналіз динаміки ринку цінних паперів.У разі переваги простого індексу над зваженим інвестору вигідніше купувати цінні папери різних підприємств, ніж вкладати кошти в цінні папери великих емітентів. Фахівці інвестиційної компанії «Проспект Інвестментс» розраховують ще один індекс українського ринку цінних паперів — РroU-50.В основу розрахунку індексу покладено стандартну методику капіталізованих індексів. Капіталізація кожного емітента визначається множенням загальної кількості акцій цього емітента на ціну, розраховану, як середньозважена ціна попиту учасників ринку, які котирують ці акції.
де Cп та Cб — відповідно поточна і базова середні ринкові ціни акцій кожної з компаній, включених до бази розрахунку індексу; Q — загальна кількість акцій емітента. Початкове значення індексу — 100. Для розрахунку ціни акцій використовують котирування різних торговельних майданчиків: ПФТС, фондових бірж, «телефонного ринку», що дає змогу зробити індекс ProU-50 об’єктивнішим і представницьким. Індекс IPI-U розраховують спільно агенція «Інтерфакс-Україна» і компанія «Полар-інвест». Щохвилини його почали розраховувати з 1 січня 1999 р. До бази індексу входять найліквідніші акції, а зміни лістингу проводять щомісяця. Особливістю цього індексу є те, що його розраховують на підставі доларових цін акцій.
Індекс ПФТС — це середнє для найліквідніших українських акцій, що мають найбільшу ринкову капіталізацію. Його розраховують щотижня у гривнях і доларах на підставі реальних угод і твердих котирувань у ПФТС. Частка акцій компаній, що включається до індексу та обертається на ринку, має перевищувати 10 % від їхньої загальної кількості. Компоненти індексу зважують на підставі ринкової капіталізації, однак частку держави і стратегічного інвестора, як правило, виключають. Склад індексу переглядають на відповідність зазначеним критеріям щомісяця, а в разі потреби вносять певні зміни. Критерії для вибору підприємств до списку індексу такі:
1. Підприємства-емітенти мають пройти лістинг ПФТС і належати до першого або другого рівнів списку ПФТС.
2. До переліку акцій підприємств, що входять до індексу, відбирають акції, за якими в ПФТС була зареєстрована найбільша кількість двосторонніх угод. Причому ціна двосторонньої угоди не має бути меншою за найкращу ціну купівлі й не більшою за найкращу ціну продажу на момент уведення звіту в систему.
Ринкова капіталізація визначається як добуток ціни на кількість емітованих акцій. Ціну, своєю чергою, визначають як ціну останньої угоди в поточний період, що потрапляє в коридор: найкраща ціна покупки — найкраща ціна продажу на момент закриття торгової сесії. Якщо такої угоди немає, за ціну акції приймають значення середини цього коридору. Початкове значення індексу — 100. Індекс ПФТС визнаний Міжнародною фінансовою корпорацією (МФК) як єдиний індекс для використання цією організацією під час моніторингу внутрішнього стану українського ринку цінних паперів. У квітні 1998 р. Україна як ринок, що розвивається, була включена до системи індексів МФК до індексу IFC Frontier. Дані для розрахунку індексу ґрунтуються на результатах торгівлі у ПФТС.
З метою подальшого розвитку ринку цінних паперів, забезпечення інформування громадськості стосовно тенденцій розвитку ринку корпоративних прав та на виконання п. 3.3 Заходів щодо забезпечення виконання у 2000 р. завдань, передбачених Посланням Президента України до Верховної Ради України, Програмою діяльності Кабінету Міністрів України та спрямованих на поліпшення соціально-економічного стану України, затверджених постановою Кабінету Міністрів України від 29.04.2000 р. № 747, Державною комісією з цінних паперів та фондового ринку було затверджено Методику розрахунку інтегрального індексу фондового ринку (рішення Комісії від 20.12.2000 р. № 237).
Методикою передбачено, що розрахунок інтегрального індексу здійснюють на підставі квартальних звітів торговців цінними паперами за результатами всіх виконаних угод з купівлі-продажу акцій. Тобто базою розрахунку індексу є всі угоди купівлі-продажу акцій, що були виконані на організованому й неорганізованому ринках цінних паперів України. Інтегральний індекс враховує особливості побудови фондового ринку України, які полягають у тому, що на організованому ринку здійснюється лише близько 15 % від обсягу всіх виконаних угод із цінними паперами. Починаючи від липня 2000 р., початку розрахунку інтегрального індексу, спостерігається загальна тенденція до його зростання, пов’язана зі збільшенням кількості угод із цінними паперами, збільшенням середньої ціни купівлі-продажу акцій та кількості емітентів, із цінними паперами яких здійснюються угоди на ринку цінних паперів. Це свідчить про загальне поліпшення макроекономічних процесів у країні й посилення інтересу інвесторів до акцій вітчизняних підприємств.
Розвиток ринку у 2000-2007 роках стимулювався, з одного боку, стабільним розвитком економіки країни, зростанням обсягів ВВП, промислового виробництва, з другого - сприятливими зовнішніми факторами: зростанням попиту на світових ринках на продукцію основних українських експортерів, зростанням цін на продукцію металургії, а також усіх фондових індексів. Перелічені фактори призвели до чергового припливу спекулятивних іноземних капіталів: за підсумками 2007 року індекс ПФТС зріс на 135,4% - найвищий показник у Європі і другий у світі.
2008 рік завершив черговий етап розвитку ринку цінних паперів України, що розпочався у 2005 році і впродовж якого вітчизняний ринок привернув увагу широкого кола іноземних та вітчизняних інвесторів. Підвищення інвестиційної привабливості країни та активне входження зовнішнього капіталу на український ринок максимально позитивно позначились на його біржовому сегменті, який протягом останніх чотирьох років збільшився більше ніж в 5 разів та досяг свого піку в 2008 році.
















