1217 (693494)
Текст из файла
Задача №1
1. По данным вашего варианта (таблица 1) построить ряд распределения по 30 коммерческим банкам (группировка по привлеченным ресурсам).
таблица 1
| Назание банка | Привлеченные ресурсы |
| АК Б Торибанк | 155729 |
| Автобанк | 101 |
| АвтоВАЗбанк | 491686 |
| АКБ Енисей | 16826 |
| АКБ Софинтрейд | 196170 |
| Башкредитбанк | 154317 |
| Башпромбанк | 297613 |
| Газпромбанк | 32935 |
| Гута банк | 82060 |
| Еврофинанс | 653123 |
| Запсибкомбанк | 893982 |
| Импэксбанк | 12511 |
| ИнтерТЭКбанк | 737797 |
| Конврсбанк. | 110261 |
| Кредо банк | 105771 |
| Кузбаспромбанк | 42226 |
| Международный пром-ый | 106720 |
| Межкомбанк | 18669 |
| Московский нац. Банк | 20893 |
| Мосстройэкономбанк | 42534 |
| Мост-банк | 10981 |
| Нефтехимбанк | 64928 |
| Омскпромстройбанк | 181397 |
| П ромрадтехбанк | 1482119 |
| Петровский | 327621 |
| Промышленно-строит. банк | 10545 |
| Ростэстбанк | 2269172 |
| Челиндбанк | 667271 |
Произведем группировку с произвольными интервалами с помощью коэффициента вариации, определяемого по формуле:
г
де — среднее квадратическое отклонение, x — средняя арифметическая.
| № группы | Группы банков по количеству привлеченных ресурсов | Число банков, входящих в группу | Название банка | Количество привлеченных ресурсов (млн.руб.) |
| 1 | Менее 10000 | 1 | Автобанк | 101 |
| Промышленно-строит. банк | 10545 | |||
| Мост-банк | 10981 | |||
| 2 | 10000—30000 | 6 | Импэксбанк | 12511 |
| АКБ Енисей | 16826 | |||
| Межкомбанк | 18669 | |||
| Московский нац. Банк | 20893 | |||
| Газпромбанк | 32935 | |||
| 3 | 30000—80000 | 4 | Кузбаспромбанк | 42226 |
| Мосстройэкономбанк | 42534 | |||
| Нефтехимбанк | 64928 | |||
| Гута банк | 82060 | |||
| Кредо банк | 105771 | |||
| Международный пром-ый | 106720 | |||
| 4 | 80000—200000 | 8 | Конверсбанк. | 110261 |
| Башкредитбанк | 154317 | |||
| АКБ Торибанк | 155729 | |||
| Омскпромстройбанк | 181397 | |||
| АКБ Софинтрейд | 196170 | |||
| Башпромбанк | 297613 | |||
| 5 | 200000—500000 | 3 | Петровский | 327621 |
| АвтоВАЗбанк | 491686 | |||
| Еврофнианс | 653123 | |||
| 6 | 500000—900000 | 4 | Челиндбанк | 667271 |
| ИнтерТЭКбанк | 737797 | |||
| Запсибкомбанк | 893982 | |||
| 7 | 900000— 2300000 | 2 | П ромрадтехбанк | 1482119 |
| Ростэстбанк | 2269172 |
2. А) По полученным рядам распределения определить привлеченные ресурсы в среднем на один коммерческий банк.
| № | Группы банков по количеству привлеченных ресурсов | Число банков, входящих в группу (f i) | Середина интервала X i | X i * f i | | X i- X | | | X i- X | f i | 2 ( X i- X ) | 2 ( X i- X ) f i |
| 1 | Менее 10000 | 1 | 5000 | 5000 | 299107 | 299107 | 89464997449 | 89464997449 |
| 2 | 10000—30000 | 6 | 20000 | 120000 | 284107 | 1704642 | 80716787449 | 484300724694 |
| 3 | 30000—80000 | 4 | 55000 | 220000 | 249107 | 996428 | 62054297449 | 248217189796 |
| 4 | 80000—200000 | 8 | 140000 | 1120000 | 164107 | 1312856 | 26931107449 | 215448859592 |
| 5 | 200000—500000 | 3 | 350000 | 1050000 | 45893 | 137679 | 2106167449 | 6318502347 |
| 6 | 500000—900000 | 4 | 700000 | 2800000 | 395893 | 1583572 | 156731267449 | 626925069796 |
| 7 | 900000— 2300000 | 2 | 1600000 | 3200000 | 1295893 | 2591786 | 1679338667449 | 3358677334898 |
| Итого: | 28 | 8515000 | 2734107 | 8626070 | 2097343292143 | 5029352678572 |
— в среднем на один коммерческий банк.
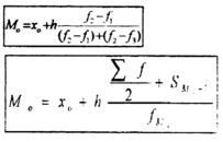
Б) Найти модальное и медианное значение привлеченных ресурсов.
| Интервал | Число банков, входящих в этот интервал | Накопленные частоты |
| Менее 10000 | 1 | 1 |
| 10000—30000 | 6 | 7 |
| 30000—80000 | 4 | 11 |
| 80000—200000 | 8 | 19 |
| 200000—500000 | 3 | 22 |
| 500000—900000 | 4 | 26 |
| 900000— 2300000 | 2 | 28 |
| 28 |
—модальное значение
В
—медианное значение
) По данному ряду распределения рассчитать размах вариации, среднеквадратическое отклонение, коэффициент вариации .
Коэффициент вариации
Задача №2
-
На основе полученного ряда распределения построить структурную группировку этих же 30 банков. каждую выделенную группу охарактеризуйте 3-4 наиболее связанными и существенными показателями, имеющимся в вашей таблице, кроме абсолютных показателей. Выделенные группы охарактеризуйте относительными величинами структуры. Результаты изложите в табличной форме и сделайте выводы.
| № группы | Интервалы | Число банков в группе | Относительный показатель структуры (%) | Относительные показатели координации | Относительный показатель сравнения (%) |
| 1 | Менее 10000 | 1 | 3,6 | 0,13 | 16,7 |
| 2 | 10000—30000 | 6 | 21,4 | 0,75 | 150 |
| 3 | 30000—80000 | 4 | 14,3 | 0,5 | 50 |
| 4 | 80000—200000 | 8 | 28,6 | 1 | 266 |
| 5 | 200000—500000 | 3 | 10,7 | 0,38 | 75 |
| 6 | 500000—900000 | 4 | 14,3 | 0,5 | 200 |
| 7 | 900000— 2300000 | 2 | 7,1 | 0,25 | |
| Итого: | 28 | 100 |
Относительный показатель структуры (ОПС) представляет собой соотношение структурных частей изучаемого объекта и их целого. ОПС показывают какой долей обладают части в общем итоге, так, например, 4 группа составляет 28%, 2 — 21,4%, а 3 и 6 — 14,3%.
Относительные показатели координации характеризуют соотношение отдельных частей целого между собой при этом в качестве базы сравнения выбирается та часть, которая имеет наибольший удельный вес. В результате получают сколько единиц каждой структурной части приходится на одну единицу(сто,тысячу и т.д.) базисной структурной части
При расчете относительных показателей координации за базу примем 4 группу, так как в нее входит наибоьшее количество банков.
Относительный показатель сравнения представляет собой соотношение одноименных абсолютных показателей. Характеризующих разные объекты. Так, например, количество банков в 1 группе составляет 16,7% от количества банков во 2 группе, во 2 группе количество банков в 1,5 раза больше, чем в 3 группе, а в 6 группе в 2 раза больше, чем в 7.
Среднеквадратическое отклонение
Размах вариации равен
Характеристики
Тип файла документ
Документы такого типа открываются такими программами, как Microsoft Office Word на компьютерах Windows, Apple Pages на компьютерах Mac, Open Office - бесплатная альтернатива на различных платформах, в том числе Linux. Наиболее простым и современным решением будут Google документы, так как открываются онлайн без скачивания прямо в браузере на любой платформе. Существуют российские качественные аналоги, например от Яндекса.
Будьте внимательны на мобильных устройствах, так как там используются упрощённый функционал даже в официальном приложении от Microsoft, поэтому для просмотра скачивайте PDF-версию. А если нужно редактировать файл, то используйте оригинальный файл.
Файлы такого типа обычно разбиты на страницы, а текст может быть форматированным (жирный, курсив, выбор шрифта, таблицы и т.п.), а также в него можно добавлять изображения. Формат идеально подходит для рефератов, докладов и РПЗ курсовых проектов, которые необходимо распечатать. Кстати перед печатью также сохраняйте файл в PDF, так как принтер может начудить со шрифтами.















