VDV-0181 (693039)
Текст из файла
5
Московский Государственный Университет Экономики, Статистики и Информатики
Контрольная работа по курсу
«Банковская статистика »
Выполнил:
Москва 1997
Задача №1
1. По данным вашего варианта (таблица 1) построить ряд распределения по 30 коммерческим банкам (группировка по привлеченным ресурсам).
таблица 1
| Назание банка | Привлеченные ресурсы |
| АК Б Торибанк | 155729 |
| Автобанк | 101 |
| АвтоВАЗбанк | 491686 |
| АКБ Енисей | 16826 |
| АКБ Софинтрейд | 196170 |
| Башкредитбанк | 154317 |
| Башпромбанк | 297613 |
| Газпромбанк | 32935 |
| Гута банк | 82060 |
| Еврофинанс | 653123 |
| Запсибкомбанк | 893982 |
| Импэксбанк | 12511 |
| ИнтерТЭКбанк | 737797 |
| Конврсбанк. | 110261 |
| Кредо банк | 105771 |
| Кузбаспромбанк | 42226 |
| Международный пром-ый | 106720 |
| Межкомбанк | 18669 |
| Московский нац. Банк | 20893 |
| Мосстройэкономбанк | 42534 |
| Мост-банк | 10981 |
| Нефтехимбанк | 64928 |
| Омскпромстройбанк | 181397 |
| П ромрадтехбанк | 1482119 |
| Петровский | 327621 |
| Промышленно-строит. банк | 10545 |
| Ростэстбанк | 2269172 |
| Челиндбанк | 667271 |
Произведем группировку с произвольными интервалами с помощью коэффициента вариации, определяемого по формуле:
г
де — среднее квадратическое отклонение, x — средняя арифметическая.
| № группы | Группы банков по количеству привлеченных ресурсов | Число банков, входящих в группу | Название банка | Количество привлеченных ресурсов (млн.руб.) |
| 1 | Менее 10000 | 1 | Автобанк | 101 |
| Промышленно-строит. банк | 10545 | |||
| Мост-банк | 10981 | |||
| 2 | 10000—30000 | 6 | Импэксбанк | 12511 |
| АКБ Енисей | 16826 | |||
| Межкомбанк | 18669 | |||
| Московский нац. Банк | 20893 | |||
| Газпромбанк | 32935 | |||
| 3 | 30000—80000 | 4 | Кузбаспромбанк | 42226 |
| Мосстройэкономбанк | 42534 | |||
| Нефтехимбанк | 64928 | |||
| Гута банк | 82060 | |||
| Кредо банк | 105771 | |||
| Международный пром-ый | 106720 | |||
| 4 | 80000—200000 | 8 | Конверсбанк. | 110261 |
| Башкредитбанк | 154317 | |||
| АКБ Торибанк | 155729 | |||
| Омскпромстройбанк | 181397 | |||
| АКБ Софинтрейд | 196170 | |||
| Башпромбанк | 297613 | |||
| 5 | 200000—500000 | 3 | Петровский | 327621 |
| АвтоВАЗбанк | 491686 | |||
| Еврофнианс | 653123 | |||
| 6 | 500000—900000 | 4 | Челиндбанк | 667271 |
| ИнтерТЭКбанк | 737797 | |||
| Запсибкомбанк | 893982 | |||
| 7 | 900000— 2300000 | 2 | П ромрадтехбанк | 1482119 |
| Ростэстбанк | 2269172 |
2. А) По полученным рядам распределения определить привлеченные ресурсы в среднем на один коммерческий банк.
|
| Группы банков по количеству привлеченных ресурсов | Число банков, входящих в группу (f i) | Середина интервала X i | X i * f i | | X i- X | | | X i- X | f i | 2 ( X i- X ) | 2 ( X i- X ) f i |
| 1 | Менее 10000 | 1 | 5000 | 5000 | 299107 | 299107 | 89464997449 | 89464997449 |
| 2 | 10000—30000 | 6 | 20000 | 120000 | 284107 | 1704642 | 80716787449 | 484300724694 |
| 3 | 30000—80000 | 4 | 55000 | 220000 | 249107 | 996428 | 62054297449 | 248217189796 |
| 4 | 80000—200000 | 8 | 140000 | 1120000 | 164107 | 1312856 | 26931107449 | 215448859592 |
| 5 | 200000—500000 | 3 | 350000 | 1050000 | 45893 | 137679 | 2106167449 | 6318502347 |
| 6 | 500000—900000 | 4 | 700000 | 2800000 | 395893 | 1583572 | 156731267449 | 626925069796 |
| 7 | 900000— 2300000 | 2 | 1600000 | 3200000 | 1295893 | 2591786 | 1679338667449 | 3358677334898 |
| Итого: | 28 | 8515000 | 2734107 | 8626070 | 2097343292143 | 5029352678572 |
— в среднем на один коммерческий банк.
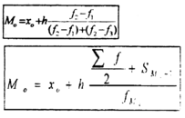
Б) Найти модальное и медианное значение привлеченных ресурсов.
| Интервал | Число банков, входящих в этот интервал | Накопленные частоты |
| Менее 10000 | 1 | 1 |
| 10000—30000 | 6 | 7 |
| 30000—80000 | 4 | 11 |
| 80000—200000 | 8 | 19 |
| 200000—500000 | 3 | 22 |
| 500000—900000 | 4 | 26 |
| 900000— 2300000 | 2 | 28 |
| 28 |
В
—модальное значение
—медианное значение
) По данному ряду распределения рассчитать размах вариации, среднеквадратическое отклонение, коэффициент вариации .Размах вариации равен
Характеристики
Тип файла документ
Документы такого типа открываются такими программами, как Microsoft Office Word на компьютерах Windows, Apple Pages на компьютерах Mac, Open Office - бесплатная альтернатива на различных платформах, в том числе Linux. Наиболее простым и современным решением будут Google документы, так как открываются онлайн без скачивания прямо в браузере на любой платформе. Существуют российские качественные аналоги, например от Яндекса.
Будьте внимательны на мобильных устройствах, так как там используются упрощённый функционал даже в официальном приложении от Microsoft, поэтому для просмотра скачивайте PDF-версию. А если нужно редактировать файл, то используйте оригинальный файл.
Файлы такого типа обычно разбиты на страницы, а текст может быть форматированным (жирный, курсив, выбор шрифта, таблицы и т.п.), а также в него можно добавлять изображения. Формат идеально подходит для рефератов, докладов и РПЗ курсовых проектов, которые необходимо распечатать. Кстати перед печатью также сохраняйте файл в PDF, так как принтер может начудить со шрифтами.














