147862 (692092), страница 2
Текст из файла (страница 2)
t= 0,057sin(
)=0,0285 м.
Довжина конвеєра L, м,
L=
Lu+l)+ dp. (3.2)
L=
м.
Крок розставляння роликів lp, м,
lp ≈ 2dp. (3.3)
lp =2 ·0,057=0,114 м.
Приймаємо приблизне значення кроку, близьке до розрахункового,
lp ≈ 0,125 м.
Число роликів np, шт
np=
. (3.4)
np=
шт.
Сила опору руху при обгинанні тяговим органом зірочки Wk, Н,
Wk=180B+1,2L. (3.5)
Wk=
Н.
Сумарний опор руху W, Н,
W= (npGp+
)w+Wk . (3.6)
W=
Н
Потужність електродвигуна Р, кВт,
Р=
. (3.7)
Р=
кВт.
Тривалість переміщення об’єкта t, с,
t=
. (3.8)
t=
с.
4 Розрахунок потужності електродвигунів тягового та візкового конвеєрів
Вихідні дані для розрахунку обираємо, користуючись джерелом
та зводимо до таблиці 4.1.
Таблиця 4.1 - Вихідні дані для розрахунку потужності електродвигунів тягового та візкового конвеєрів
| Швидкість руху конвеєра
| Кількість виробів, що переміщуються одночасно
| Відстань між виробами на конвеєрі l, м | Маса об’єкта, що переміщується mu, т | Довжина виробу
| тягове зусилля, необхідне на кожну тонну маси об’єкта, що переміщується | Коефіцієнт корисної дії передачі | |
| для тягових конвеєрів | для візкових конвеєрів | ||||||
| 0,2 | 6 | 1 | 0,066 | 0,86 | 270 | 650 | 0,94 |
При розрахунку потужності електродвигунів для тягового та візкового конвеєра сумарний опор руху визначається по формулі W, Н,
W=
. (4.1)
Сумарний опор руху для тягового конвеєра Wт, Н,
Wт=270 6 0,066=106,92 Н.
Сумарний опор руху для візкового конвеєра Wт, Н,
Wв=650 6 0,066=257,4 Н.
Тривалість переміщення об’єкта t, с,
t=
. (4.2)
t=
с.
Потужність електродвигуна для тягового конвеєра Рт, кВт,
Рт =
. (4.3)
Рт=
кВт.
Потужність електродвигуна для тягового конвеєра Рт, кВт,
Рт =
. (4.4)
Рв =
кВт.
5. Розрахунок параметрів підйомних механізмів
Вихідні дані для розрахунку обираємо, користуючись джерелом
та зводимо до таблиці 5.1.
Таблиця 5.1 - Вихідні дані для розрахунку параметрів підйомних механізмів
| Швидкість руху конвеєра
| Вага виробу
| Вага захватного пристосування
| Кратність поліспасти m | Коефіцієнт запасу міцності каната K1 | Коефіцієнт вантажопід’ємної машини K2 | Коефіцієнт корисної дії передачі | Висота підйому вантажу
|
| 0, 2 | 650 | 150 | 4 | 5 | 20 | 0,94 | 1,5 |
Сумарний опор руху блоку Wб, Н,
Wб=Gu+GЗ. (5.1)
Wб=650+150=800 Н.
Сумарний опор руху блоку з електроприводом Wел.пр., Н,
Wел.пр.=0,5(Gu+2GЗ). (5.2)
Wел.пр.=0,5(650+2 ·150)=475Н.
Сумарний опор руху поліспаста Wп, Н,
Wп =
. (5.3)
Wп=
Н.
Розривне зусилля блоку Рроз.б., Н,
Рроз.б.=
. (5.4)
Рроз.б.=
Н.
Розривне зусилля блоку з електроприводом Рроз.б., Н,
Рроз.ел.пр.=
. (5.5)
Рроз.ел.пр..=
Н.
Розривне зусилля поліспасту Рп., Н,
Рп.=
. (5.6)
Рп.=
Н.
Діаметр каната блоку dk б., мм,
dk б.=0,0016 Рроз.б. (5.7)
dk б.=
мм.
Діаметр каната блоку з електроприводом dk ел.пр., мм,
dk ел.пр.=0,0016 Рроз.ел.пр. (5.8)
dk ел.пр.=
мм.
Діаметр каната поліспасту dk п., мм,
dk п.=0,0016 Рп.. (5.9)
dk п.=
мм.
Діаметр блока Dб, мм,
Dб=K2 dk б . (5.10)
Dб=
мм.
Діаметр блока з електроприводом Dел.пр, мм,
Dел.пр =K2 dk ел.пр. (5.11)
Dел.пр =
мм.
Діаметр барабана поліспаста Dп, мм,
Dп =K2 dk п. (5.12)
Dп =
мм.
Потужність електродвигуна блока з електроприводом Рел.пр., кВт,
Рел.пр =
. (5.13)
Рб.=
кВт.
Потужність електродвигуна поліспаста Рп., кВт,
Рп.=
. (5.14)
Рп.=
кВт
Тривалість переміщення об’єкта Рп.,
tд=
. (5.15)
tд=
с.
6 Розрахунок електродвигунів та параметрів кантувачів та поворотних приводів
Кантувачі і поворотні приводи служать для зміни повороту деталі і вузлів вагонів в процесі їх обробки.
Кантувачі обертають деталь навколо горизонтальної осі на потрібний кут для виконання ремонтних операцій. Вони бувають :одноступінчасті, двохступінчасті, вилкоподібні.
Поворотні круги обертають деталь навколо вертикальної осі. Як правило, поворот візків, колісних пар або інших вузлів здісняються на кут 90°. При зварних роботах стіл обертається із зварною швидкістю нам протязі всього процесу наплавлення або зварювання.
Вихідні дані для розрахунку обираємо, користуючись джерелом
та зводимо до таблиці 6.1. та таблиці 6.2.
Таблиця 6.1- Вихідні дані для розрахунку параметрів під'ємних механізмів
| Коефіцієнт, що враховує інертні сили | Передаточне число редуктора | Коефіцієнт корисної дії передачі | Коєфіцієнт тертя кочення | Відстань від осі обертання до зовнішньої поверхні внутрішнього кільця підшипника | Відстань від осі обертання до центра тяжіння вироба | Вага виробу
|
| 1,2 | 35 | 0,94 | 0,07 | 0,05 | 0,2 | 650 |
Таблиця 6.2- Вихідні дані для розрахунку параметрів під'ємних механізмів
| Вага захватного пристроя
| Відстань від осі обертання до центра тяжіння вилкоподібного захвату | Частота обертання двигуна | Вага поворотного стола | Відстань від осі поворотного кола до роликової опори
| Відстань від центра тяжіння до вертикальної осі поворотного кола | Відстань між підшипниками вздовж поворотного кола |
| 32,5 | 0 | 800 | 32,5 | 1,25 | 0,05 | 0,3 |
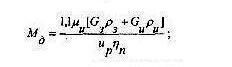
Момент, який повинен розвивати електродвигун двухстоєчних кантувачів Mд, Нм,
(6.1)
Мд=
Нм.
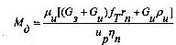
Момент, який повинен розвивати електродвигун вилкообразних кантувачів Mд, Нм,
(6.2)
Мд=
Нм.
Момент, який повинен розвивати електродвигун для поворотних кругів, поворотні столи які опираються на опорні ролики, Mд, Нм,
(6.3)
МД=
Нм.
Момент, який повинен розвивати електродвигун для поворотних кругів, вертикальний вал яких змонтований на підшипниках, Mд, Нм,
(6.4)
МД=
Нм.
Потужність електродвигунів Рел., кВт,
Рел.=
. (6.5)
для двохстійкового кантувача
Рел.=
кВт.
- для вилкового кантувача
Рел.=
кВт.
- для поворотних кругів, поворотні столи які опираються на опорні ролики
Рел.=
кВт.
для поворотних кругів, вертикальний вал яких змонтований на підшипниках
Рел.=
кВт.
Тривалість операцій кантувача та поворотного привода визначається по формулі
tд=
. (6.6)
tд.к=
с.
tд п.пр.=
с.
7. Розрахунок електромагнітних силових приводів
Електромагніти змінного і постійного струму отримали широке застосування для швидких прямолінійних переміщень.
Вихідні дані для розрахунку обираємо, користуючись джерелом
та зводимо до таблиці 7.1
Таблиця 7.1 - Вихідні дані для розрахунку електромагнітних силових приводів
| Зовнішній діаметр котушки D,м | Внутрішній діаметр котушки d,м | Діаметр мідного дроту dn,м | Довжина котушки електромагніту lk,м | Магнітна проникність повітряного зазору μo.Н/м² | Питомий опір мідного дроту ρМ,Ом.м | Напруга живлення електромагніта U,В | Висота повітряного зазору δв,м |
| 0,2 | 0,02 | 0,003 | 0,2 |
|
| 220 | 0,1 |
Розраховуємо число витків катушки за формулою:















