147165 (691784), страница 4
Текст из файла (страница 4)
где Qг - годовой объем работ, т/год
kн - коэффициент неравномерности поступления груза;
IIэ - годовая эксплуатационная производительность машины, т/год.
Эксплуатационная производительность (т/ч) определяется:
где Gбp - масса контейнера брутто, т;
tц - время цикла крана, с;
kсовм - коэффициент совмещении операций; для козловых, мостовых и кранов-штабелёров – 0,8, для передвижных стреловых и железнодорожных кранов - 0,7, кв=0,8-0,85 - коэффициент использования машины по времени;
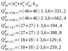
кг - коэффициент использования машины по грузоподъемности, Время цикла зависит от технических параметров перегрузочных машин, типов грузозахватных механизмов и условий эксплуатации. Для козловых и мостовых кранов:
где tз - время застроповки, с; для среднетоннажных контейнеров = 5...6 с, для крупнотоннажных -10.. 12с;
tp - время расстроповки контейнеров, с; для среднетоннажных - 2,5-3 с; для крупнотоннажных - (8 - 1 0) с;
hп - средняя высота подъема (опускания) груза, м;
lт - средняя величина пути передвижениями тележки, м;
lкр - средняя величина пути передвижения крана, м.
VП , VТ , Vкр - номинальные скорости подъема груза, передвижения тележки и крана, м/с.
Число рабочих (крановщиков, водителей) занятых механизированным трудом:
- трудоёмкость механизированных работ, ч/год;
nг - число смен в году, принимается mг=250
Трудоемкость определяется:
где
суточный объем механизированных работ при прямой перегрузке, конт.;
- суточный объем механизированных работ при перегрузке через склад (с перевалкой), конт.
Пэ - сменная производительность машин при перегрузке по соответствующему варианту, конт./смену;
-1,1 9... 1,2 - коэффициент подмены.
Объем механизированных работ при прямой перегрузке и перегрузке через склад:
где
- суточное прибытие и отправление контейнеров
определенного типа,
- чисто операций, выполняемых с контейнерами при различных вариантах перегрузки,
,
,
kпер –коэффициент перегрузки контейнеров.
Коэффициент перегрузки в общем виде определяется, но формуле:
где
удельный вес объемов отдельных грузопотоков в общем грузопотоке ППК, %.
nпер - количество перевалок отдельных грузопотоков, (прямая перегрузка - 1 перевалка, перегрузка через склад - 2 перевалки).
Перегрузку контейнеров предпочтительно осуществлять напрямую, однако на практике это не может быть выполнено. Поэтому, принимая удельный вес прямой перегрузки равный 20%, рассчитаем кпер:
Значение коэффициента перегрузки показывает эффективность с механизации. Рекомендуемые значения kпер в разделе 1.
Используемые источники
-
Механизация перегрузочных, транспортных и складских работ: «методические указания к выполнению курсовой работы»/ составитель В.М. Ярлыков. Красноярск: ИПЦ КГТУ, 2004. 36с.
-
Правила устройства и безопасной эксплуатации грузоподъёмных кранов ПБ 10-382-00,2008г.















