126370 (691031), страница 2
Текст из файла (страница 2)
- норма расхода теплоты на выпечку 1 тонны черного хлеба;
- норма расхода теплоты на выпечку 1 тонны белого хлеба;
- норма расхода теплоты на выпечку 1 тонны кондитерских изделий.
3.6. Определение годового расхода теплоты на отопление, вентиляцию, горячее водоснабжение жилых и общественных зданий
Годовой расход теплоты (МДж/год) на отопление и вентиляцию жилых и общественных зданий вычисляют по формуле:
(3.9)
где
- температуры соответственно внутреннего воздуха отапливаемых зданий, расчетная наружная для данного района строительства, средняя наружного воздуха за отопительный период, °С;
К, К1 - коэффициенты, учитывающие расходы теплоты на отопление и вентиляцию общественных зданий (при отсутствии конкретных данных принимают К=0,25 и К1=0,4);
- среднее число часов работы системы вентиляции общественных зданий в течение суток;
=16
- продолжительность отопительного периода в сутках;
- общая площадь отапливаемых зданий, м2;
- укрупненный показатель максимального часового расхода теплоты на отопление жилых зданий, МДж/ч.м2;
- коэффициент полезного действия отопительной котельной (
=0,8 - 0,85).
Годовой расход теплоты (МДж/год) на централизованное горячее водоснабжение от котельных и ТЭЦ определяют по формуле:
(3.10)
где
- укрупненный показатель среднечасового расхода теплоты на горячее водоснабжение (МДж/чел.ч.);
- число жителей города, пользующихся горячим водоснабжением от котельных или ТЭЦ, чел.
- коэффициент .учитывающий снижение расхода горячей воды в летний период (
=0,8);
- температуры водопроводной воды в отопительный и летний периоды, °С
Нагрузка на котельную определится по формуле:
(3.11)
3.7 Определение годового расхода теплоты при потреблении газа на нужды школ и детских садов
В школах и вузах города газ может использоваться для лабораторных работ. Для этих целей принимают средний расход теплоты на одного учащегося или студента в размере 50 МДж/год.
Таким образом, потребление теплоты школами и вузами может быть найдено по формуле:
где 0,3 – доля школьников и до школьников от общего числа населения.
(3.12)
3.8 Составление итоговой таблицы потребления газа городом
Результаты расчетов потребления теплоты, а затем и расходов газа городом, с учетом всех потребителей сводим в итоговую таблицу.
Таблица 3.4 Итоговая таблица расхода газа городом
4. Определение годовых и часовых расходов газа различными потребителями города
Годовой расход газа в м3/год для любого потребителя города или района определяется по формуле:
(4.1)
где
- годовой расход теплоты соответствующего потребителя газа;
-низшая теплота сгорания газа (МДж/м3),определяется по химическому составу газа;
=34 МДж/м3
Потребление газа в городе различными потребителями зависит от многих факторов. Каждый потребитель имеет свои особенности и потребляет газ по-своему. Между ними существует определенная неравномерность в потреблении газа. Учет неравномерности потребления газа осуществляется путем введения коэффициента часового максимума, который обратно пропорционален периоду, в течение которого расходуется годовой ресурс газа при максимальном его потреблении
(4.2)
где m - количество часов использования максимума нагрузки в году, ч./год.
С помощью
определяется часовой расход газа для каждого потребителя города (м3/ч)
(4.3)
Количество часов использования максимума для отопительных котельных определяется по формуле:
(4.4)
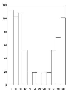
5. Построение графика годового потребления газа городом
Графики годового потребления газа являются основой, как для планирования добычи газа, так и для выбора и обоснования мероприятий, обеспечивающих регулирование неравномерности потребления газа. Кроме того, знание годовых графиков газопотребления имеет большое значение для эксплуатации городских систем газоснабжения, так как позволяет правильно планировать спрос на газ по месяцам года.
Различные потребители газа в городе по-разному забирают газ из газопроводов. Самой большой сезонной неравномерностью обладают отопительные котельные и ТЭЦ. Наиболее стабильными потребителями газа являются промышленные предприятия. Коммунально-бытовые потребители обладают определенной неравномерностью в потреблении газа, но значительно меньшей по сравнению с отопительными котельными.
Вообще, неравномерность расходования газа отдельными потребителями определяется рядом факторов: климатическими условиями, укладом жизни населения , режимом работы промпредприятий и т. п. Все факторы, влияющие на режим газопотребления в городе, учесть невозможно. Только накопление достаточного количества статистических данных о потреблении газа различными потребителями может дать объективную характеристику городу с точки зрения газопотребяения.
Годовой график потребления газа городом строят, учитывая среднестатистические данные потребления газа по месяцам года для различных категорий потребителей. Общий расход газа в течение года разбивается по месяцам. Расход газа для каждого месяца в общем газопотреблении определяется на основании следующего расчета:
где
- доля данного месяца в общегодовом потреблении газа, %
Доля годового расхода газа в каждом месяце отопительно-вентиляционной нагрузки определяется по формуле:
где
- среднемесячные температуры, °С;
nм - количество отопительных дней в месяце.
Составим таблицу потребления газа в процентах по месяцам на нужды отопления и вентиляции
Таблица 5.1
Расход газа в каждом месяце на горячее водоснабжение можно считать равномерным. Этот расход газа определяет минимальную нагрузку котельной в летний период.
Далее составляем итоговую таблицу расхода газа городом:
Итоговая таблица расхода газа городом
Таблица 5.2 Потребление газа в месяц 105
6. Выбор и обоснование системы газоснабжения
Системы газоснабжения представляют собой сложный комплекс сооружений. На выбор системы газоснабжения города оказывает влияние ряд факторов. Это, прежде всего: размер газифицируемой территории, особенности ее планировки, плотность населения, число и характер потребителей газа, наличие естественных и искусственных препятствий для прокладки газопроводов. При проектировании системы газоснабжения разрабатывают ряд вариантов и производят их технико-экономическое сравнение. Для строительства применяют выгоднейший вариант.
Системы газоснабжения города состоят из следующих основных элементов: газовых сетей высокого, среднего и низкого давления, газораспределительных станций, газорегуляторных пунктов и установок, различных сооружений на газопроводах. Газовые сети города проектируются с учетом перспективы его развития на ближайшие 25 лет.
В зависимости от максимального давления газа городские газопроводы разделяют на следующие группы:
- высокого давления 1 категории с давлением от 0,6 до 1,2 МПа;
- высокого давления 2 категории с давлением от 0,3 до 0,6 МПа;
- среднего давления от 5 кПа до 0,3 МПа;
- низкого давления до 5 кПа;
Газопроводы высокого и среднего давления служат для питания городских распределительных сетей среднего и низкого давления. Газопроводы низкого давления служат для подачи газа в жилые и общественные здания, а также на предприятия бытового обслуживания, общественного питания, в лечебные учреждения и т.п. Питание газопроводов низкого давления осуществляется через газорегуляторные пункты (ГРП) от сетей высокого и среднего давления.
По числу ступеней давления, применяемых в городских газовых сетях, они подразделяются на:
- двухступенчатые, состоящие из сетей высокого или среднего давления и низкого давления;
- трехступенчатые, включающие газопроводы высокого, среднего и низкого давления;
- многоступенчатые, в которых газ подается по газопроводам высокого давления, среднего и низкого давления.
Выбор системы газоснабжения в городе зависит от характера потребителей газа, которым нужен газ соответствующего давления, а также от протяженности и нагрузки газопроводов. Чем разнообразнее потребители газа и чем большую протяженность и нагрузку имеют газопроводы, тем сложней будет система газоснабжения.
7. Определение оптимального числа ГРС и ГРП
7.1 Определение числа ГРС
При определении числа ГРС можно ориентироваться на следующее - для небольших городов и поселков с населением до 100 - 120 тыс.человек наиболее рациональными являются системы с одной ГРС
7.2 Определение оптимального числа ГРП
Газорегуляторные пункты стоят во главе распределительных газовых сетей низкого давления, питающих газом жилые дома. Оптимальное число ГРП определяется из соотношения:
(7.1)
где
- часовой расход газа на жилые дома, м3/ч.;
- оптимальный расход газа через ГРП, м3/ч.
Для определения
необходимо вначале определить оптимальный радиус действия ГРП, который должен находиться в пределах 400 – 800 метров. Этот радиус определяется по формуле:
(7.2)
где
- расчетный перепад давления в сетях низкого давления(1000 - 1200 Па);
- коэффициент плотности сетей низкого давления, 1/м;
(7.3)
- плотность населения по району действия ГРП, чел/га;
е - удельный часовой расход газа на одного человека, м3/чел. ч, который задается или вычисляется, если известно количество жителей (N), потребляющих газ, и известно количество газа (V),потребляемого ими в час
, м3/чел. ч,. (7.4)
(7.5)
принимаем равным 900 метрам
















