299292 (690833), страница 2
Текст из файла (страница 2)
4) Гидростатическое давление столба у середины греющих трубок
5) Давление раствора в корпусах у середины греющих трубок
Таблица 3
| № | Наименование | Обозначение | Корпус | ||||
| I | II | III | |||||
| 1 | Действительная температурная де-прессия, |
| 5.58 | 8.65 | 22.41 | ||
| 2 | Суммарная темпе-ратурная депрес-сия, |
| 36.64 | ||||
| 3 | Оптимальная высота заполнения трубки, м |
| 2.26 | 2.74 | 4.09 | ||
| 4 | Гидростатическое давление столба раствора, Па |
| 11813 | 15529 | 27676 | ||
| 5 | Давление раствора у середины грею-щих трубок, Па |
| 348259 | 166501 | 52777 | ||
Подпрограмма 4
Для определения истинных значений температур греющего па- ра, вторичного пара, кипения раствора в трубках и на верхнем уровне трубки, полезной разности температур по корпусам необходимо рассчитать температурные потери за счет гидростатического давления.
-
По данным
находим по таблице [2] значения температур кипения воды у середины греющих трубок
и рассчитываем значения потерь температур за счет гидроста- тического эффекта (гидростатическую депрессию):
Суммарные потери температуры за счет гидростатического эффекта составят
-
Суммарная полезная разность температур для установки
Для расчета в первом приближении ориентировочно принима- ем соотношение тепловых нагрузок аппаратов
и соответственно коэффициентов теплопередачи
Исходя из условия получения равных поверхностей нагрева для каждого корпуса установки полезная разность температур по корпусам может быть определена по уравнению
-
Распределение полезной разности температур по корпусам
-
Температура кипения раствора в трубках составит
5) Температура кипения раствора на верхнем уровне по корпусам:
-
Температура вторичного пара по корпусам:
Таблица 4
| № | Наименование | Обо-значение | Корпус | ||
| I | II | III | |||
| 1 | Гидростатическая депрессия, | | 0.99 | 3.09 | 17.65 |
| 2 | Суммарная гидростатическая депрессия, | | 21.73 | ||
| 3 | Суммарная полезная разность температур, | | 33.3 | ||
| 4 | Температура кипения раствора в трубках, | | 150.26 | 132.06 | 105.15 |
| 5 | Полезная разность температур, | | 8.5 | 10.63 | 14.17 |
| 6 | Температура кипения раствора на верхнем уровне, | | 149.27 | 128.97 | 87.5 |
| 7 | Температура вторичного пара, | | 143.69 | 120.32 | 65.09 |
Подпрограмма 5
В этой подпрограмме рассчитываем: расход греющего пара, расход выпаренной воды по корпусам, конечные концентрации раствора и в первом приближении тепловые нагрузки аппаратов.
-
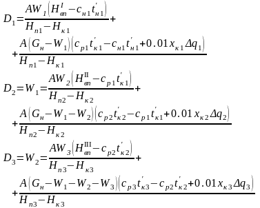
Расход греющего пара определяем из уравнения теплового баланса
которое может быть записано для каждого корпуса в следующем виде:
Потери тепла в окружающую среду принимаем равными 3% от тепла греющего пара, т.е. А=1.03.Энтальпию вторичного пара
находим из таблицы LVII [2] по давлению вторичного пара
.
Начальную теплоемкость раствора
определяем по концентрации
при температуре раствора
, которую принимаем равной температуре
.
Энтальпии греющего пара
и энтальпии конденсата
определяем из таблицы LVI [2] по температурам
.
Теплоемкость раствора
находим по табличным данным при соответствующих концентрациях
и температурах
.
Теплоту изменения концентрации (дегидротации)
– по концентрациям раствора в корпусах.
где
–интегральные теплоты растворения при конечной и начальной концентрациях раствора в соответствующем корпусе.
При подстановке найденных величин в уравнения для
получаем:
Учитывая, что
и решая систему уравнений, определяем
а затем конечную концентрацию раствора по корпусам
-
Тепловая нагрузка аппаратов
Таблица 5
| № | Наименование | Обозначения | Корпус | ||
I | II | III | |||
| 1 | Расход греющего пара, кг/ч | D | 2415 | 2298 | 2511 |
| 2 | Расход выпаренной воды, кг/ч | W | 2298 | 2511 | 2691 |
| 3 | Конечная концентрация раствора, мас.дол.,% | | 12.98 | 19.26 | 40 |
| 4 | Тепловая нагрузка аппаратов, кВт | Q | 1417 | 1379 | 1558 |
| 5 | Энтальпия греющего пара, кДж/кг | | 2763.5 | 2735 | 2697 |
| 6 | Энтальпия конденсата греющего пара, кДж/кг | | 651.4 | 574.2 | 463.1 |
| 7 | Энтальпия вторичного пара, кДж/кг | | 2736 | 2700 | 2615 |
| 8 | Теплоемкость кипящего раствора, | | 3.854 | 3.720 | 3.641 |
| 9 | Теплоемкость исходного раствора, | | 3.892 | ||
| 10 | Теплота изменения концентрации, кДж/кг | | 33.52 | 71.23 | 272.35 |
Подпрограмма 6
В этой подпрограмме рассчитываются коэффициенты теплоотдачи, удельные тепловые нагрузки и коэффициенты теплопередачи.
Коэффициент теплопередачи
где
–коэффициент теплоотдачи от конденсирующегося пара к внешней стенке трубки;
–суммарное термическое сопротивление стенки трубки и накипи;
–коэффициент теплоотдачи от внутренней стенки трубки к кипящему раствору.
В качестве материала греющих трубок выбираем сталь 20 .Ее коэффициент теплопроводности
.
Толщину накипи принимаем
, а ее коэффициент теплопроводности
.
Коэффициент теплоотдачи
рассчитываем по формуле
Значения коэффициента
для конденсата пара в зависимости от температуры конденсации пара находим по таблице 6 [3,253].
1) Коэффициент
для 1-го корпуса рассчитываем методом последовательных приближений, принимая разность значений температур конденсации пара и стенки
.
1 приближение:
Удельная тепловая нагрузка аппарата (удельный тепловой по-ток) для установившегося процесса теплопередачи может быть рассчитана по формуле
Определим
находим перепад температур стенки греющей трубки
а затем разность между температурами стенки трубки и кипящего раствора
находим по таблице [2] значения температур кипения воды у середины греющих трубок















