201595 (690740)
Текст из файла
Федеральное агентство по образованию
МУРОМСКИЙ ИНСТИТУТ (ФИЛИАЛ)
Государственного образовательного учреждения высшего
профессионального образования
«ВЛАДИМИРСКИЙ ГОСУДАРСТВЕННЫЙ УНИВЕРСИТЕТ»
Факультет Машиностроительный
Кафедра Техническая механика
КУРСОВОЙ
ПРОЕКТ
по ДМ и ОК
(наименование дисциплины)
Тема: Проектирование привода цепного транспортера
Муром 2008 г.
Содержание
Анализ технического задания
Введение
1. Выбор электродвигателя
2. Кинематический расчет привода
3. Силовой расчет
4. Проектный расчет всех передач привода
4.1 Расчет тихоходной ступени редуктора
4.2 Расчет быстроходной ступени редуктора
5. Расчет цепной передачи
6. Ориентировочный расчет валов. Основные компоновки редуктора
7. Проверочный расчет вала на жесткость и прочность
8. Расчет вала на выносливость
9. Расчет и подбор подшипников качения
10. Окончательный выбор и расчет подшипника
11. Расчет шпоночного соединения
12. Расчет муфты
13. Посадки зубчатого колеса. Звездочки и подшипников
14. Выбор условий смазки
15. Описание конструкции сварной рамы привода
Список использованной литературы
Приложения, спецификации к сборочному чертежу и общему виду привода
Анализ технического задания
Режим работы определяется условиями эксплуатации приводимой машины в течение заданного срока службы. Режим работы обычно характеризуется и задаются законом (графиком) изменения рабочей нагрузки в относительных единицах измерения.
График нагрузки может быть ступенчатым и плавным.
Мы имеем ступенчатый график нагрузки, который показан на приложении, где Т1, Т2, Т3 – вращательные моменты которые сообщаем машине приводу; t1, t2, t3 – время действия каждого момента.
Время действия пускового момента
пуск обычно не учитываются в виду малой относительной продолжительности пускового периода. Однако величина самого момента учитывается при проверке привода на перегрузку. Большинство режимов работы современных машин описывается пятью типовыми режимами, полученных на основе статической обработки реальных режимов нагружения множества машин.
Общими исходными данными к расчету привода является график нагрузок, срок службы, серийность или тип производства.
Для приводов включающих редукторы, дополнительно бывают заданы: мощность на выходном валу привода Pвых и частота его вращения nвых
Для приводов с конвейером обычно задаются тяговое усилие F, на приводном барабане (звездочке) и скорость цепи Vλ. В этом случае:
Так как Vλ и Дб известны то:
Срок службы привода может быть задан в часах L или в годах.
Кс – суточный коэффициент
Кг – годовой коэффициент
Производство мелкосерийное.
Введение
Редуктором называют механизм, состоящий из зубчатых или червячных передач, выполненный в виде отдельного агрегата и служащий для передачи вращения от вала двигателя к валу рабочей машины. Назначение редуктора – понижение угловой скорости и соответственно повышение вращательного момента ведомого вала по сравнению с ведущим.
Механизмы для повышения угловой скорости, выполненные в виде отдельных агрегатов, называют ускорителями или мультипликаторами. Редуктор состоит из корпуса, в котором помещают элементы передачи – зубчатые колеса, валы, подшипники и т.д.
Наиболее распространены двухступенчатые горизонтальные редукторы, эти редукторы отличаются простотой, но из-за несимметричного расположения колес на валах повышается концентрации нагрузки на длине зуба.
Применение соосных редукторов ограничивается случаями, когда в нет необходимости иметь два выходных кольца быстроходного или тихоходного вала, а совпадение геометрических осей входного и выходного валов удобно при намеченной общей компоновке привода. В соосных редукторах быстроходная ступень зачастую недогружена, так как силы вызывающие в зацеплении колес тихоходной ступени, значительно больше, чем в быстроходной, а межосевые расстояния ступеней одинаковы.
1. Выбор электродвигателя
1.1 Номинальная мощность на выходе привода
1.2 На ходим чистоту вращения вала
1.3 Находим общий КПД привода
1.4 Средняя квадратная мощность на выходе привода с учетом графика его нагрузки. Средняя квадратная мощность
1.5 Подбираем все подходящие электродвигатели
1.6 Определим все общие передаточные числа, которые будем иметь привод при работе с каждым на избранных электродвигателей
1.7 Рекомендуемый диапазон возможного общего передаточного числа привода
Подходит 4А100L2У3 Uоб =40,3
2. Кинематический расчет привода
2.1 Общее передаточное число привода
2.2 Частоты вращения
Что соответствует задачи
3. Силовой расчет
3.1 Находим рассчитанную мощность привода, как можно наибольшую размерную величину
а)
б)
3.2 Определяем мощность на валах
3.3 Определяем моменты на валах
3.4 Данные сводим в таблицу
| № вала | ni мин-1 | Рi Вт | Тi Н·м | U |
| I | 2800 | 5500 | 18.8 | 3.5 |
| II | 800 | 4878.2 | 58.1 | 3.8 |
| III | 210.5 | 4732.8 | 214.7 | 3 |
| IV | 70.2 | 4591.8 | 624.7 | 1 |
| V | 4455 | 624.7 |
4. Проектный расчет всех передач привода
4.1 Расчет редуктора начнем с тихоходной ступени, так как она наиболее нагружена.
Желая получить компактный редуктор выбираем для зубчатых колес материалы.
4.1.1 Выбираем материалы шестерни колеса
- для шестерни: Сталь 40Х НВ=240
- для колеса: Сталь 40Х НВ=270
4.1.2 Допускаемые напряжения, контактное напряжение
Эквивалент числа циклов нагружения класса 4.
4.1.3
4.1.4 Определяем предельно допускаемые напряжения
4.1.5 Так перед работы в закрытой масляной ванне то прочность ограничена контактными напряжениями
4.1.6 Окружная скорость колес передачи
ГОСТ 16162-70 7 ст. точности
Передача общего машиностроения не требующая особой точности
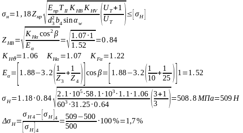
4.1.7 Проверяем зубья колес на контактную прочность
4.1.8 Проверяем зубья колес на изгиб и выносливость
4.1.10 Проверяем прочность при перегрузке
Силы в зубчатом зацеплении колес 3 и 4
4.2 Расчет быстроходной ступени редуктора
Передаточное число:
продолжительность работы t=15768
4.2.1 Выбираем материал
4.2.2
4.2.3
4.2.4 коэффициент долговечности
Принимаем за
-
Предел контактной выносливости поверхности зубьев
-
Определение допускаемых напряжений изгиба
4.2.7 Принимаем
Принимаем
-
Находим коэффициент ширины зубчатых колес
7 степень точности
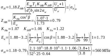
Проверяем зубья колеса 2 на контактную выносливость
-
Проверяем зубья колес на изгибающую выносливость
4.2.11 Проверяем статическую прочность при пусковой перегрузке
Силы в зубчатом зацеплении 2 и 1
4.2.12
Дальнейшие расчеты схожи с расчетами тихоходной ступени.
5. Расчет цепной передачи
5.1
5.2 Число звеньев цепи
5.3 Уточняем межосевое расстояние
5.4 Средняя скорость цепи
5.5 Делительный диаметр звездочек
Материал для звезд. цепи 40Х для пластин цепи, Ст45 для валиков, Ст20Х вкладыш.
5.6 Окружное усилие
5.7 Проверяем среднее давление
Число рядов т=1
5.8 Наружный диаметр
5.9 Центробежное усилие
5.10 Проверяем коэффициент запаса прочности
6. Ориентировочный расчет валов. Основные компоновки редуктора
6.1 Проектный расчет валов
6.2 Расчет тихоходного вала
6.3 Определяем реакции опор
направляем в другую сторону
6.4 Проверка на усталостную прочность
Вал тихоходный
7. Проверочный расчет вала на жесткость и прочность
7.1 Уточняем диаметр вала в опасных сечениях
7.2 Выполняем проверочный расчет тихоходного вала выбираем материал вала Ст35
Уточняем диаметр вала в сечениях ВС.
7.3 Момент сопротивления сечения
7.4 Амплитуда нормальных напряжений
Характеристики
Тип файла документ
Документы такого типа открываются такими программами, как Microsoft Office Word на компьютерах Windows, Apple Pages на компьютерах Mac, Open Office - бесплатная альтернатива на различных платформах, в том числе Linux. Наиболее простым и современным решением будут Google документы, так как открываются онлайн без скачивания прямо в браузере на любой платформе. Существуют российские качественные аналоги, например от Яндекса.
Будьте внимательны на мобильных устройствах, так как там используются упрощённый функционал даже в официальном приложении от Microsoft, поэтому для просмотра скачивайте PDF-версию. А если нужно редактировать файл, то используйте оригинальный файл.
Файлы такого типа обычно разбиты на страницы, а текст может быть форматированным (жирный, курсив, выбор шрифта, таблицы и т.п.), а также в него можно добавлять изображения. Формат идеально подходит для рефератов, докладов и РПЗ курсовых проектов, которые необходимо распечатать. Кстати перед печатью также сохраняйте файл в PDF, так как принтер может начудить со шрифтами.















