125831 (690711), страница 6
Текст из файла (страница 6)
Исследование зависимостей (1.56) и (1.57) показывает, что ввиду малой амплитуды кривых справедливо, при сохранении постоянства гидравлического радиуса, заменить действительные значения зазора и натяга средними, пользуясь следующими выражениями:
где χ – коэффициент,
Длина проекции проточной части контактной линии на ось обоймы на длине шага винта
Длина проекции поверхности трения винта в обойме по длине шага винта
На основании проведенных исследований были сделаны следующие выводы:
1. Одновинтовой насос характеризуется непостоянной ориентацией рабочего винта. При работе насоса под действием инерционных и гидравлических сил происходит радиальная деформация упругой обоймы и смещение винта в поперечном направлении.
2. Деформация обоймы предопределяет возникновение зазора с одной стороны, диаметрального сечения винта и натяга между винтом и обоймой с другой, величина и протяженность которых непостоянны и определяются выражениями (1.56–1.61).
Механические потери. Первоначально примем два допущения.
1. В процессе работы насоса винт самоустанавливается в обойме, вследствие чего силы, действующие на обойму, распределяются равномерно по всей длине (при идеальной геометрии винта и обоймы).
2. Коэффициент трения винта по резиновой поверхности обоймы постоянен.
Мощность трения на длине обоймы, кВт:
где f – коэффициент трения пары «обойма – винт», в функции удельного давления;
n – скорость вращения приводного вала, об/мин.
Задачей одного из циклов проведенных балансовых испытаний являлось определение области оптимальных значений величины δ0. Было установлено, что для обойм, внутренняя полость которых отлита из резины с твердостью 55–75 ед. по ТМ-2, оптимальным с точки зрения равномерности распределения давления вдоль оси обоймы следует считать межвитковый перепад давления
В этом режиме максимальные уровни КПД были получены при следующих значениях величины первоначального натяга
Механические потери в рабочих органах существенно зависят от величины первоначального натяга (рис. 26).
При δ0> δ0опт наблюдается резкое повышение мощности трения.
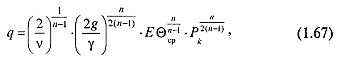
Объемные потери. Объемные потери представляют собой расход жидкости через щель проточной части контактной поверхности:
где S – площадь щели.
Коэффициент расхода μ в общем виде является функцией числа Рейнольдса определяемого из выражения
определяемого из выражения
где v – коэффициент динамической вязкости
Совместно решая уравнения (1.62) и (1.63), получим:
где Е – длина проточной части контактной линии.
Для определенного типоразмера насоса при перекачке однородных жидкостей
Следовательно,
Стендовые испытания рабочих органов насоса 1ВВ 1,6; 1ВВ 0,8 и 1ВВ 0,4 при перекачке воды показали, что при первоначальных натягах по выражению (1.61) перетоки жидкости характеризуются весьма широким диапазоном числа Рейнольдса (Re = 300–10000).
Экспериментально были получены следующие значения коэффициентов:
Анализ выражения (1.69) (предположив Рк= const) позволяет получить аналитическую зависимость объемных потерь насоса от величины зазора и первоначального натяга:
где
На рис. 27 показана зависимость объемных потерь насоса 1ВВ, 1,6/16 от величины первоначального натяга при перекачке воды.
Анализ результатов испытаний объясняет заметный разброс значений подачи насосов серийного производства, в которых по технологическим соображениям первоначальный натяг имеет отклонение ±0,1 мм.
Результаты теоретических и экспериментальных исследований показали:
1. Величина первоначального натяга оказывает большое влияние на энергетические показатели одновинтовых насосов.
Для принятых оптимальных значений перепадов межвитковых давлений (1.61) имеет место интервал значений первоначального натяга (1.62), при котором рабочие органы насоса работают с максимальным значением КПД, достигающим 70–75% для насоса 1ВВ 1,6 и 55–65% для насоса 1ВВ 0,4.
2. С повышением величины 8о: уменьшается зазор в проточной части контактной линии, вследствие чего уменьшаются объемные потери; увеличивается нормальная сила и уменьшается удельное давление, что вызывает увеличение механических потерь.
3. При натяге 8о > 5о опт наблюдается резкое понижение общего КПД насоса.
Расчет золотника предохранительного клапана на прочность и устойчивость
Рабочее давление при котором работает золотника
p=ρgH,
где ρ – плотность нефти
g – ускорение свободного падения
H – напор создаваемый насосом.
p=950·9,8·1000=9,31МПа
Усилие сжатия золотника со стороны поршня
Fсж1=π·p·(D2/4)
где р – рабочее давление при котором работает золотник
D – диаметр поршня
Fсж1 = 3,14·9,31·106·0,0362 / 4 = 9,5кН
Усилие сжатия золотника с другой стороны
Fсж2=π·p·(d12/4)
где d1 – диаметр золотника с другого конца
Fсж2 = 3,14·9,31·106·0,0182 / 4 = 2,4кН
Так как центральная часть золотника имеет наименьший диаметр, в нем будут возникать наибольшие напряжения сжатия, определим их
σсж = Fсж /f2
где f2 – площадь сечения по внутреннему диаметру
f2 = π·d2 2 /4 = 3,14·0,0142 / 4 = 15,4·10-5 м2
Fсж = Fсж1+ Fсж2 = 9,5+2,4 = 11,9кН
σсж = 11,9·103 / 15,4·10-5 = 77,3 МПа
Выбираем сталь марки ВСт2пс для которой σв =330МПа
Отсюда находим коэффициент запаса на прочность
n = σв/ σcж =330 / 77,3 = 4,3
Запас прочности по усталости:
na =σ1ּε / kσּ σсж
kσ - эффективный коэффициент концентрации напряжения
kσ = 1
σ1 - предел выносливости при сжатии для золотника двустороннего действия.
σ1 = 0,45ּσв
σ1 =0,45ּ330 = 148,5 МПа
ε – масштабный фактор
ε = 1,5
na =148,5ּ1,5 / 77,3 = 2,9
Устойчивость золотника (продольный изгиб)
λ = l /imin
l – свободная длина золотника
imin = (J/f)1/2 J = π·d4/64 f = π·d2/4
imin =d/4
imin - min радиус инерции штока
λ = 4l /d
λ=4ּ95 / 14 = 27,14
λ<105, по формуле Ясинского
σкр =335–0,6 λ
σкр = 335 – 0,6 77,3 = 288,62МПа
При σкр = 288,6МПа золотник потеряет устойчивость
Запас устойчивости,
nу= σср/ σсж = 288,6/77,3 = 3,73
Список используемой литературы
1. R. Moineau. Gear Mechanism. USA Patent №1892217, 27.04.1931.
2. Балденко Д.Ф., Бидман М.Г., Калишевский В.Л. и др. Винтовые насосы. М., Машиностроение, 1981.
3. Балденко Д.Ф. Винтовые гидравлические машины. Машины и нефтяное оборудование. М., ВНИИОЭНГ, 1979, №9.
4. Балденко Д.Ф., Балденко Ф.Д. Перспективы применения и критерии эффективности одновинтовых гидромашин в нефтяной промышленности. Строительство нефтяных и газовых скважин на суше и на море. М., ВНИИОЭНГ, 1995, №4–5.
5. Ратов А.М., Хейфец А.С. Одновинтовые скважинные электронасосы в Советском Союзе и за рубежом. М., ЦИНТИхимнефтемаш, 1979.
6. Балденко Д.Ф., Балденко Ф.Д., Власов А.В., Хабецкая В.А., Шардаков М.В. Параметрический ряд многозаходных скважинных винтовых насосов. Нефтепромысловое дело. М., ВНИИОЭНГ, 2001, №8.
7. Коротаев Ю.А. Прогрессивный инструмент для формообразования зубьев многозаходных героторных механизмов винтовых забойных двигателей и насосов. М., ВНИИОЭНГ, 2002.
8. Балденко Д.Ф., Балденко Ф.Д. Перспективы создания гидроприводных винтовых насосных установок для добычи нефти. Нефтяное хозяйство, 2002, №3.
9. Балденко Ф.Д., Дроздов А.Н., Ламбин Д.Н. Характеристики одновинтовых гидромашин на газожидкостной смеси. Строительство нефтяных и газовых скважин на суше и на море. М., ВНИИОЭНГ, 2003, №4.
10. Пятов И.С., Васильева С.Н. и др. Комбинированный метод модификации фрикционных свойств резин. Каучук и резина, 1999, №5
11. Расчет ведется по книге Ивановский В.Н., Дарищев В.И., Сабиров А.А. и др. «Насосные установки для добычи нефти» стр. 360–380.
12. Internet www.livgidromash.ru
105>













