125604 (690605), страница 4
Текст из файла (страница 4)
Установленная мощность, кВт 1,1
Температура нагревания, град. ц. 67…70
Потребление пара, кг/ч. 95
Габаритные размеры, мм 1210х1210х1350
Масса, кг 320
4. Инженерные расчеты
Расчет сепараторов
Для выделения из молока молочного жира используют явление естественного отстоя, когда в спокойно стоящем сосуде с молоком жировые шарики всплывают к поверхности сосуда, образуя слой сливок.
Скорость всплытия, м/с
(4.1)
где g –ускорение свободного падения, м/с2; τ – фактор разделения, с.
Значение τ определяется по формуле:
(4.2)
где ρп, ρж – плотности плазмы и жира, кг/м3; r – радиус жирового шарика, м; ηп – вязкость, Па⋅с.
Для оценки эффективности отстоя в центробежных устройствах срав-ним центробежную силу Fц с силой тяжести P, действующих в поле грави-тации при естественном отстое по соотношению Fц/ P= m ω 2R/ mg= ω 2R/ g.
Откуда
(4.3)
где τ = ω2 R g – фактор разделения, показывающий во сколько раз действие центробежной силы превосходит силу тяжести (чем больше фактор разделения, тем выше разделяющая способность сепаратора); R– радиус барабана, м.
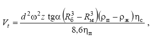
Формула для расчета производительности Vt (м/с) сепаратора:
(4.4)
где ηс – КПД сепаратора (ηс = 0,5…0,7).
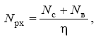
Пусковая мощность сепаратора:
(4.5)
где η = 0,8...0,85 – КПД сепаратора.
Мощность холостого хода:
(4.6)
Мощность рабочего хода сепаратора:
(4.7)
где Nc – мощность, потребная для преодоления гидравлических сопро-тивлений в барабане и сообщение кинетической энергии выбрасываемой жидкости, кВт.
где d – диаметр жирового шарика в молоке после гомогенизации, мкм; ∆p – перепад давления, Мпа.
5. Правила эксплуатации
Эксплуатация насосов и техника безопасности.
Полученные с завода-изготовителя насосы необходимо разобрать и осмотреть, убедиться в исправности деталей и отсутствии посторонних предметов. Детали насоса очищают от смазки, консервации и моют горячей водой и щелочным раствором в соответствии с инструкцией по мойке молочного оборудования. Затем насосы собирают и присоединяют к трубопроводу.
При монтаже тщательно проверяют сносность валов электродвигателя и рабочего колеса или ротора. Это особенно важно для насосов неконсольномоноблочного типа, имеющих общую плиту с приводом. Необходимо правильно установить резиновое уплотнительное кольцо в паз корпуса.
Крышки к корпусу следует прижимать равномерно по окружности, не допуская перекоса. В противном случае нарушается работа насоса.
Электродвигатель присоединяют к электросети за выведенные концы обмотки статора в зависимости от напряжения по схеме, указанной на табличке (треугольник или звезда). При неправильном направлении вращения следует поменять местами две присоединительные фазы сети.
Вращать насос вхолостую свыше 3-4 мин не рекомендуется, так как его трущиеся части смазываются только перекачиваемым продуктом. Нарушение этого правила может привести к перегреву уплотнительного устройства и даже выходу его из строя.
Всасывающая труба должна быть короткой, прямой и герметичной. Нагнетательный и всасывающий трубопроводы должны свободно без перекосов присоединяться к патрубкам насосов.
Для пуска центробежного насоса необходимо открыть кран на всасывающей линии, включить электродвигатель и открыть кран на нагнетательной, для пуска объемных – открыть запорные краны на нагнетательной линии, включить электродвигатель и открыть кран на всасывающей.
Во время работы насоса надо систематически следить за сальником вала – при неудовлетворительном состоянии сальникового устройства появляется течь перекачиваемой жидкости. Это обнаруживается визуально с помощью специального отверстия во фланце насоса, через которое вытекает просачиваемая жидкость.
Перед остановкой насоса необходимо постепенно отключить подачу продукта и на ходу машины промыть блок цилиндра горячей водой.
Эффективность работы ротационных насосов (производительность, напор, к.п.д. и другие параметры) зависит от точности их изготовления и сборки.
После установки насоса необходимо убедится в правильном подсоединении электродвигателя. Для этого включают кратковременно (толчком) электродвигатель и проверяют, совпадает ли вращение его с направлением, указанным стрелкой на корпусе насоса. При неправильном вращении следует переменить местами две из подсоединенных фаз на коробке электродвигателя, приняв при этом необходимые меры предосторожности.
Подшипники электродвигателя смазываются один раз в 4-6 месяцев.
Во время работы наблюдают за температурой электродвигателя, она не должна превышать 60-70 °С. нагрев электродвигателя выше этой температуры свидетельствует о неисправности насоса или электродвигателя.
Разбирать, промывать и собирать насос рекомендуется раз в смену или после длительной остановки (более 4 часов).
Перед пуском в эксплуатацию необходимо проверить надежность заземления насоса.
При работе насоса следят, чтобы не было подсоса воздуха.
В ротационных насосах быстроизнашивающимися деталями являются бронзовые втулки, прокладки, набивка сальника, корпус и крышка насоса, шейка вала. Кроме того, происходит износ полуды и резьбы шпилек.
Для проведения ремонта производят полную (ремонтную) разборку насоса. После разборки все детали моют, осматривают и замерами определяют величину износа. Детали с износом больше предельного восстанавливают или заменяют новыми. Бронзовые поверхности, соприкасающиеся с продуктом, повторно лудят пищевым оловом. Набивку сальника пропитывают пищевым жиром или топленым маслом.
Насос собирают в порядке, обратном разборке. При этом учитываются посадки деталей. Перед сборкой контрольный штифт и шпильки смазывают машинным маслом.
Эксплуатация сепараторов и техника безопасности.
Сепараторы – центробежные машины с высокой скоростью вращения. По этому во время их эксплуатации необходимо очень строго выполнять правила техники безопасности и рекомендации инструкции, прилагаемой к каждой машине.
Сепараторы, электродвигатели и пусковая аппаратура должны быть тщательно заземлены. Систематически следует проверять исправность заземляющих устройств.
Работа на сепараторе с неудовлетворительно сбалансированным барабаном или с нарушенной балансировкой его категорически запрещается.
При замене тарелок и посуды барабана необходимо произвести балансировку заново.
Разбирать сепаратор можно только после остановки барана. Работать на сепараторе при снятых ограждениях и защитных кожухах воспрещается. Барабан после отключения электродвигателя не рекомендуется тормозить.
Категорически запрещается пользоваться во время сборки и разборки сепаратора случайными инструментами.
Работать на сепараторе со скоростью вращения барабана выше указан-ной в паспорте запрещается.
Обслуживать сепаратор может только специалист, изучивший машину, принцип ее работы и инструкцию по эксплуатации, а также сдавший техминимум.
Перед пуском машины необходимо вывести стопорные винты из пазов барабана и поставить тормоза в нерабочее положение. Обязательно надо проверить уровень масла в ванне. Барабан сепаратора должен вращаться по часовой стрелке, если смотреть сверху.
После работы барабана, не останавливая, надо промыть, пропустив вначале небольшое количество обезжиренного молока или воды, затем холодную воду для охлаждения барабана. Далее, остановив барабан, разбирают машину, тщательно чистят и моют все детали, а затем просушивают
Список использованной литературы
-
Антипов С.Т. Ученик ХХІ век «Машини и аппараты пищевых производств» - М. «Высшая школа», 2001 г.
-
Барабанщиков Н.В. «Молочное дело», - М. «Колос» 1983 г.
-
Бредихин С.А., Космодемгенский Ю. В., Юрин В.Н. «Технология и техника переработки молока» - М. «Колос» 2003 г.
-
Гальперин Д. М. «Оборудование молочних предприятий, монтаж, накладка, ремонт» - М. «Агропромиздат» 1990 г.
-
Власенко В.В. «Технологія виробництва і переробки молока і молочних продуктів» - В. 2000г.
-
Гончаров Н.Н. Справочник механика молочной промышленности – М. 1959 г.
-
Золотин Ю.П., Френклах М.Б., Ламутина М.Г. «Оборудование предприятий молочной промышленности» -М. Агропромиздат 1985 г., 270с.
-
Иванов В.И. «Технологическое оборудование предприятий молочной промышленности».
-
Ковалевская Л.П. «Технология пищевых производств» -М. «Колос» 1997г.
-
Кравців Р.І., Хоменко В.І., Островський Я.Р. «Молочна справа».
-
Крусь Т.Н. «Технология молочных продуктов».
-
Кугенев П.В., Барабанщиков Н.В. Практикум по молочному делу –М. «Колос» 1978г.
-
Сурков В.Д., Липатов Н.Н., Золотин Ю.П. «Технологическое оборудование молочных предприятий» -М. «Легкая пищевая промышленность» 1983г.
-
Томбаев Н.И. Справочник по оборудованию предприятий молочной промышленности –М. 1967г.
-
Золотин Ю.П., Френклах М.В., Ламутина М.Г. «Оборудование предприятий молочной промышленности» - М. «Агропромиздат» 1985г.
-
Шалыгина Г.А. «Технология молока и молочних продуктов» -М. 1973г.
-
Барановский Н. В. «Пластинчатые теплообменники в пищевой промышленности». «Машгиз», 1962.
-
Вайнберг А. Я., Брусиловский Л. П. «Автоматизация технологических процессов в молочной промышленности». Изд-во «Пищевая промышленность », 1964.
-
Дезент Г. М., Боушев Т. А. «Оборудование и поточные линии для производства мороженого». «Госиздат», 1961.
-
3олотнии Ю. П. «Циркуляционная мойка молочного оборудования». «Пищепромиздат», 1963.
-
Крупин Г. В., Лукьянов К. Я., Тарасов Ф.М., Боушев Т. А, Шувалов В. Н. Васильев П. В. «Технологическое оборудование предприятий молочной промышленности». М., изд-во «Машиностроение», 1964.
Дополнение 1
Минимаслообразователь П8-ОС-2Т (мини)
Принцип работы маслообразователя
Высокожирные сливки с температурой 55-65оС попадают в цилиндр маслообразователя, где подхватываются радиальными перфорированными лопастями, перемешиваются и отбрасываются к периферии, затем продвигаются в кольцевом зазоре между стенкой цилиндра и барабаном. При движении - высокожирные сливки охлаждаются за счет поступающего в рубашку хладоносителя, соскребаются с теплообменной поверхности цилиндра ножами и интенсивно перемешиваются.
Пройдя через первый цилиндр аппарата, высокожирные сливки подаются в обработник, где они подвергаются интенсивной механической обработке, которая и является главным фактором получения масла с оптимальными структурно-механическими свойствами. После обработника сливки попадают во второй цилиндр, где они окончательно преобразуются, в результате тепловой и механической обработки, в масло, которое при температуре 14-18оС выходит через спускной кран.
| Параметры | Величина |
| Производительность по маслу: кг/ч, не менее 150 кг/ч | |
| Количество теплообменных цилиндров, шт | 2 |
| Температура, °С | |
| - высокожирных сливок на входе | 55 - 65 |
| - масла на выходе | 14 – 18 |
| Установленная мощность электродвигателей, кВт | 7,6 |
| Хладоноситель, °С | |
| - ледяная вода | 2….4 |
| - рассол | -7 |
| Расход холода | 10 кВт/ч |
| Габаритные размеры, мм | |
| - длина | 1800 |
| - ширина | 950 |
| - высота | 920 |















