124675 (690108), страница 2
Текст из файла (страница 2)
Камера сгорания предназначена для получения скоростного высокотемпературного потока газов и представляет собой горелку туннельного типа. Она работает на смеси природного газа и сжатого воздуха., предварительно смешанных в реакционном или другом смесители.
Одним из способов повышения производительности установки является интенсификация процесса раздува первичных волокон за счет повышения температуры и скорости газового потока, выходящего из сопла камеры сгорания. Кроме того, повысить производительность можно путем увеличения количества фильер сосуда и повышения до определенных пределов диаметра первичных волокон.
Производство базальтовых тонких волокон значительно дешевле по сравнению с базальтовым супертонким волокном из-за отсутствия дорогостоящих платинородиевых питателей и применение высокопроизводительной технологии раздува или разбивки мощных струй расплава.
На заводах-изготовителях базальтового тонкого волокна для придания большей текучести в расплав добавляют от 10 % до 35 % известняка или заменяющего его материала (шихты), что делает волокно ослабленным к воздействиям агрессивных сред и высоких температур. Такое волокно уже нельзя называть базальтовым и зачастую его называют минеральным волокном или минватой. Волокно получается короче и толще, что дает возможность скреплять его в плиты или картоны, применяя для связки большое количество фенолформальдегидных смол.
Однако, если в расплав не добавлять известняк, а правильно выбрать режим работы печи и раздувочного устройства в зависимости от характеристик природного базальта, можно получить базальтовое длиннонитевое волокно, химостойкое, с температурой применения до +700° С.
В настоящее время ведется активная работа по усовершенствованию технологии получения базальтовой нити, супертонкого базальтового волокна, холста из базальтового волокна [4].
Свойства БВ
Базальтовые волокна и изделия на их основе обладают более высокими теплозвукоизоляционными и конструкционными свойствами. Базальтовые волокна превосходят стеклянные по температуроустойчивости. Так температурный интервал применение базальтовых волокон составляет от -260°С до + 700° С, в то время как для стеклянных волокон от -60°С до +450 ° С. Гигроскопичность базальтовых волокон составляет 1 %, а стеклянных волокон до 10-20 %. Базальтовые волокна относятся к первому гидролитическому классу, по кислотоустойчивости и пароустойчивости превосходят стеклянные волокна.
Базальтовые нити отличаются высокой химической стойкостью (потеря веса при кипячении в течение 3-х часов в воде и в 2н NaOH составляет 0,46% и 6,8% соответственно), потеря веса при кипячении в течении 3-х часов в 2н HCL составляет 26%. В первые 2 часа обработки волокон в 0,5 н и 2н растворах NaOH прочность при растяжении снижается на 6-20%, а затем повышается до исходного значения. При более длительном воздействии щелочи прочность БН уменьшается на 25-40%, при обработке кислотой в течении первых 20-40 минутах наблюдается упрочнение волокон на 15-20% в результате удаления поверхностного дефектного слоя волокна, при более длительном пребывании в кислоте прочность снижается на 50% за 100 часов.
При нагреве до 700°С БВ уплотняются, их длина уменьшается на 0,5 %, плотность увеличивается на 0,8 % и возрастает стойкость к кислотам (потеря веса за 10 минут в 2Н HCL снижается до 8 %). Нагрев до 600°С и последующие охлаждения БВ снижает плотность при растяжении на 5-20%, в то время как СВ в этих условиях разрушаются. При нагреве до 700°С и охлаждении до 20° С прочность БВ уменьшается на 40%, а до 800°С с последующим охлаждением на 60-70%. Прочность при растяжении базальтового волокна, определенная при 700°С составляет 80% от начального значения.
Базальтовая вата обладает следующими свойствами:
-
высокий уровень изоляции;
-
устойчивость к деформации;
-
огнеустойчивость;
-
сопротивление воде;
-
звукоизоляция и звукорегуляция.
Одним из важных свойств теплоизоляционного волокнистого материала является его упругость. Коэффициент возвратимости (упругости) базальтовой ваты составляет более 90 % [6].
Базальтовая вата БВРВ в исходном состоянии без нагрузки имеет массу 35 – 40 кг/м3, а вата БСТВ – 15 – 20 кг/м3, т.е. является весьма легким материалом. При нагреве даже без нагрузки происходит уплотнение и, следовательно, увеличение объемной массы: для БВРВ при 850 °С - в три раза, а для БСТВ при 800 °С - в 2,5 раза.
Поскольку при использовании волокнистых материалов в качестве изоляции действуют нагрузки, важно знать, как изменяется объемная масса при приложении к базальтовой вате той или иной нагрузки. Выполненные ранее исследования показали, что при увеличении нагрузки до 30 кг/см2 объемная масса возрастает для БВРВ в 3,7 раза, а для БСТВ в 5,6 раза.
Изменение упругих свойств волокон ваты при нагревании характеризуется усадкой, которая зависит от исходной объемной массы (плотности) ваты. Усадка базальтовой ваты при нагреве обусловлена, прежде всего, ее кристаллизацией. Как правило, усадка является крайне нежелательным и недопустимым явлением, так как в процессе эксплуатации при высоких температурах это может привести к образованию пустот между изолируемой поверхностью и теплоизоляционным материалом. На практике допустимой считается усадка до 2 %. Для базальтовой ваты БВРВ при плотности 150 кг/м3 это соответствует 660 °С, а для ваты БСТВ - 700 °С.
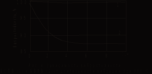
Для установления возможности применения базальтовой ваты в условиях вибрации и высоких температур была исследована ее вибростойкость. Установлено, что после вибрации при температурах 600, 700 и 800 °С разрушения волокон от вибрации не наблюдалось и потери в массе в основном происходили за счет "корольков" у ваты типа БВРВ и за счет первичных волокон у ваты БСТВ. Зависимость вибростойкости от температуры и времени воздействия вибрации показана на рис. 3 и 4.
Как видно из рис. 3, вата БСТВ имеет высокую виброустойчивость, которая при 900 °С составляет 99,65 % [6]. Виброустойчивость определяется прежде всего длинноволокнистой структурой ваты, а также характером кристаллизации, обусловливающим достаточное сохранение эластичных и прочностных свойств ваты. Вследствие этого вата БСТВ при вибрации не разрушается. Базальтовая вата БВРВ того же состава, что и БСТВ, имеет меньшую вибростойкость. Потери в ее массе при 3-часовой вибрации в исходном состоянии равны 2 % и до 500 °С не изменяются. При дальнейшем повышении температуры до 900 °С потери в массе ваты резко возрастают и достигают 12%.
Таким образом, результаты исследований термовиброустойчивости позволяют рекомендовать базальтовую вату, особенно БСТВ, для применения в условиях вибрации и высоких температур.
Применение БВ
Эффективность базальтовых волокон как армирующего наполнителя полимерных материалов была изучена на эпоксидных связующих — эпоксидной смоле Эпон-828 (аналоге ЭД-20), отверждаемой м-фенилендиамином. Полученные результаты показали, что базальтовые волокна могут успешно заменять стеклянные волокна во всех случаях, когда к окраске материалов не предъявляется особых требований. Такое заключение было сделано при сравнении прочности адгезионного сцепления базальтовых и стеклянных волокон с эпоксидной матрицей и определения относительного изменения адгезионной прочности и физико-механических свойств композиционных материалов на основе обоих типов волокон после обработки их поверхности кремнийорганическими аппретами [2].
Композиционные материалы на основе стеклянных и базальтовых волокон во многом похожи по своим свойствам. Для материалов на основе обоих типов волокон характерна практически одинаковая прочность при растяжении. Так как модуль упругости материалов на основе базальтовых волокон несколько выше, чем стеклянных, в ряде случаев использование базальтовых волокон является более целесообразным. Помимо использования их в качестве армирующих наполнителей для пластмасс базальтовые волокна находят широкое применение в других областях техники. Из них изготавливают воздушные фильтры, теплоизоляционные материалы, работающие при высоких температурах, вибро- и звукопоглощающие материалы, минеральную бумагу и картон. Базальтовые волокна используют в качестве армирующего наполнителя бетонов, в том числе полимербетонов, с обеспечением более прочного сцепления на границе раздела фаз, чем при использовании стеклянных волокон, а также их применяют в производстве строительных материалов для замены асбеста. В Советском Союзе выпускаются очень тонкие базальтовые волокна (диаметр 0,4—2 мкм), успешно конкурирующие с асбестовыми волокнами. В настоящее время проводятся интенсивные исследования по изысканию заменителей асбеста, которые в отличие от него были бы безвредными для здоровья человека. Если экспериментально будет доказано, что базальтовые волокна можно использовать вместо асбестовых волокон, то области их практического применения значительно расширятся. Принимая во внимание экспериментально установленную более высокую щелочестойкость базальтовых волокон, можно считать их использование как заменителей асбеста очень перспективным.
Благодаря достаточно высокой щелочестойкости базальтовые волокна, очевидно, найдут также широкое применение в качестве армирующего наполнителя цемента. Следует отметить, что эти волокна значительно дешевле всех известных к настоящему времени специальных щелочестойких стеклянных волокон.
Благодаря ценному комплексу свойств волокна из базальта являются перспективным классом наполнителей для полимерных композитов. Высокая реализация исходных свойств БВ в композиционном материале позволяет поставить базальтопластик по уровню характеристик в один ряд со стекло-, асбо-, и органопластиками, а в некоторых случаях и выше. Так, введение базальтовых волокон в термопласты и в фенольные смолы дает возможность получить композит с достаточно высокими механическими свойствами. Наличие БВ, оказывающих стабилизирующее действие на полипропилен, позволяет использовать базальтовый полипропилен при повышенных температурах. По триботехническим свойствам базальтовый полипропилен относится к группе антифрикционных материалов. Композиты на основе БВ обладают низкими коэффициентом трения и интенсивностью истирания в достаточно широком интервале режимов трения.
ПКМ на основе БВ могут применяться в высоконагруженных конструкциях, для изготовления различных деталей в электротехнике, спортинвентаря, емкостей и резервуаров для воды и других химических сред. На основе БВ могут быть получены теплоизоляционные, звукопоглощающие, влагостойкие и высокопрочные композиты, имеющие к тому же низкую стоимость.
1.2. Получение, свойства и области применения полиэтилена
Полиэтилен является наиболее востребованным в мире полимеров. Причиной такого спроса на этот полимер можно объяснить на редкость удачным сочетанием относительно низкой стоимостью полиэтилена, с присущим ему комплексом свойств, позволяющим изготавливать из него и его композиций различные изделия бытового назначения, а также изделия для различных областей народного хозяйства [7].
Полиэтилен (ПЭ) — полимер этилена:
~СН2-СН2~
В промышленности производят ПЭ при разных давлениях: высоком — полиэтилен высокого давления (ПЭВД), или полиэтилен низкой плотности, среднем — полиэтилен среднего давления (ПЭСД) и низком — полиэтилен низкого давления (ПЭНД). Полиэтилен, получаемый по двум последним способам, называется также полиэтиленом высокой плотности. Эти три типа ПЭ различаются по степени разветвленности (наиболее разветвлен ПЭВД, наименее — ПЭСД) и, следовательно, по степени кристалличности и плотности, а также по молекулярной массе, молекулярно-массовому распределению и др. показателям [8].
В зависимости от условий полимеризации получают марки ПЭ, различающиеся по разветвленности или по содержанию сомономера, вводимого для регулирования степени кристалличности.
Полиэтилен высокой плотности получают полимеризацией на катализаторах типа Циглера—Натта, протекающей по ионно-координационному механизму при 80°С и давлении 0,3—0,5 МПа в суспензии или газовой фазе.
Плотность изменяется от 945 до 955 кг/м3, а ПТР — от 0,1 до 17 г/10 мин.
Выпускается стабилизированным в виде гранул или порошка.
Способ полимеризации обусловливает малую разветвленность ПЭВП (количество ответвлений на 1000 атомов углерода составляет 3—6), молекулярная масса (Мм) ПЭ от 50 до 3500 тыс., однако обычно значение не превышает 800 тыс. При Мм > 2 млн. ПЭ хотя и имеет хороший комплекс свойств, но практически теряет текучесть (высокомолекулярный полиэтилен). Предел прочности при растяжении превышает 40 МПа.
















