124628 (690098), страница 2
Текст из файла (страница 2)
N2O2 + О2 ↔ 2NO2 (і)
При підвищенні температури рівновага реакції (з) зміщується вліво, концентрація димера N2O2 сильно знижується. Відповідно знижується і швидкість реакції (і)
У результаті зменшується і загальна швидкість процесу. Тому для збільшення швидкості перетворення NO у NO2 реакційну суміш енергійно охолоджують. Підвищення тиску сприяє зміщенню рівноваги по реакції (з) в бік димера і збільшенню швидкості реакції (і). Підвищується і ступінь абсорбції діоксиду азоту. Тому в останні роки у виробництві азотної кислоти перейшли від установок під атмосферним тиском до підвищеного тиску до 1 МПа.
При окислюванні оксиду азоту може протікати реакція асоціації NO2 з утворенням димера:
2NO2 ↔Ν2О4 ∆Н = -57 кДж
Швидкість цієї реакції дуже велика, а рівновага з підвищенням тиску і зменшенням температури зміщується в праву сторону.
Таким чином, у нітрозних газах, що надходять на абсорбцію, містяться NO2, N2O4, O2, N2O, NO, N2O2, N2, пари води та ін.
Абсорбція діоксиду азоту і його димера протікає за схемами
2 NO2 + Н2О ↔ HNO3 + HNO2, ∆Н = - 116 кДж
N2О2 + Н2О ↔ HNO3 + HNO2, ∆Н = - 59 кДж
Одержана при цьому азотиста кислота нестійка і розкладається:
3HNO2 ↔HNO3 + 2NO + Н2О, ∆Н = 76 кДж
Тому сумарно взаємодію NO2 з водою можна представити рівнянням реакції
3NO2 + Н2О → 2HNO3 + NO, ∆H = - 136 кДж
Поглинання діоксиду азоту водою - типовий хемосорбциійний процес у системі газ - рідина.
У виробництві необхідно одержувати кислоту як можна вищої концентрації. При цьому збільшується пружність оксидів азоту над розчином кислоти, що знижує рушійну силу процесу і, отже, загальну швидкість процесу. Для зміщення рівноваги убік утворення HNO3 необхідно знижувати температуру, а також підвищувати тиск. При абсорбції оксидів азоту використовують принцип протипотоку, тобто більш концентрований газ кантактує з концентрованою кислотою, а наприкінці абсорбції залишки NO2 поглинаються найбільш слабкою кислотою.
Внаслідок екзотермічності процесу абсорбції температура вихідної продукційної кислоти звичайно складає не менш 50 °С, тому в установках, що працюють під атмосферним тиском, виходить кислота, що містить лише 50% HNO3. В установках, що працюють під тиском 0,6-0,8 МПа, можна одержати 58-60%-ну кислоту. Піднімаючи тиск до 5 МПа, в установках прямого синтезу HNO3 з оксидів азоту і кисню одержують кислоту концентрацією 98% HNO3.
2.2 Технологічна схема виробництва азотної кислоти
Для одержання розведеної азотної кислоти з аміаку в промисловості донедавна використовували три системи: 1) під атмосферним тиском; 2) під підвищеним тиском і 3) комбіновані, у яких окислення аміаку відбувається під атмосферним тиском, а окислення оксиду азоту й абсорбція NO2 водою - під підвищеним тиском.
Незважаючи на менші витрати платини, системи виробництва кислоти під атмосферним тиском у даний час не застосовуються через низьку продуктивність, громіздкості апаратури і відповідно значні капіталовкладення, істотні втрати аміаку і необхідність застосування дорогого і не надто ефективного лужного очищення газів, які виділяються з оксидів азоту. Сучасні установки, що працюють під підвищеним тиском (від 0,2 до 1 МПа), і комбіновані розроблені за принципом енерготехнологічних систем, у яких енергія газів (пов'язана з їх високою температурою і тиском) і теплота реакції окислення аміаку використовуються для стиску повітря і нітрозних газів, а також одержання технологічної пари. Цими ж схемами передбачено більш повне використання низкопотенційної теплоти.
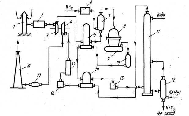
Принципова технологічна схема одержання розведеної азотної кислоти під підвищеним тиском наведена на мал. 4.
Рис. 4. Принципова технологічна схема одержання розведеної азотної кислоти під підвищеним тиском (0,73 МПа)
1 - повітрозабірна труба; 2 - повітроочисник; 3 - газовий компресор; 4 - газова турбіна; 5 - повітропідігрівач; 6 - випарник аміаку; 7 - змішувач з фільтром; 8 - контактний апарат; 9, 17-казан-утилізатор; 10- окислювач з фільтром; 11 - абсорбційна колона; 12 - обдувна колона; 13 - холодильник-конденсатор; 14 - підігрівач хвостових газів; 15 - реактор каталітичного очищення; 16 - камера згоряння; 18 - вихлопна труба
Атмосферне повітря після відповідного очищення надходить у компресор 3, який приводиться в рух газовою турбіною 4. У компресорі повітря стискається до тиску 0,73 МПа, нагріваючись при цьому до 135°С, і надходить далі в підігрівач повітря 5, де його температура підвищується до 250 °С за рахунок теплоти нітрозних газів, які виходять з окислювача 10. У змішувачі 7 повітря змішується з газоподібним аміаком, яке надходить сюди з випарника аміаку 6. Аміачно-повітряна суміш, що утворилася, далі надходить у контактний апарат 8, де при температурі близько 900 С на Pt-Rh-Pd-каталізаторі відбувається окислення аміаку. Нітрозні гази, що містять 9,0- 9,5% NO, надходять у казан-утилізатор 9, у якому відбувається охолодження до необхідної температури й утворення пари. Далі гази надходять в окислювач 10, у якому окислюються до діоксиду азоту. Охолоджені в підігрівачі повітря 5, підігрівачі хвостових газів 13 і холодильнику-конденсаторі 12 до температури близько 45 °С нітрозні гази надходять в абсорбційну колону 11, зрошувану протипотоковим струменем води. Оскільки абсорбція NO2 водою екзотермічна, абсорбційні тарілки мають змієвидні холодильники, у яких циркулює охолодна вода (на схемі не показано). Отримана азотна кислота надходить в обдувну колону 12, де за допомогою гарячого повітря з готової азотної кислоти відбувається обдувка розчинених у ній нітрозних газів, що подаються в абсорбційну колону. Хвостові гази, пройшовши систему каталітичного очищення від оксидів азоту відновленням їх аміаком до елементного азоту, викидаються в атмосферу.
В установках такого типу ступінь перетворення аміаку в азотну кислоту досягає 98-99%, а концентрація кислоти - 60-62%. Однак при окисленні аміаку під тиском збільшуються витрати платинового каталізатора. Тому застосовують системи, у яких окислення аміаку проводять при більш низькому тиску (~0,4 МПа), ніж окислення оксиду азоту (до 1,2 МПа).
Сучасні азотнокислі ХТС характеризуються високою потужністю окремої технологічної нитки, що складає 380-400 тис. т/рік. Зазначені системи дозволяють одержати лише розведену азотну кислоту. Для виробництва вибухових речовин, деяких пластичних мас, барвників потрібна концентрована кислота (98%). Азотну кислоту такої концентрації можна одержати або концентруванням розведеної азотної кислоти або прямим синтезом.
Відгоном води з розведеної азотної кислоти можна одержати лише 68%-ний розчин, оскільки саме така концентрація відповідає азеотропній суміші HNO3—Н2О. Тому концентрування проводять із застосуванням водовіднімаючих засобів, таких, наприклад, як 92-94%-на H2SO4. Концентрована сірчана кислота, яка утворює при цьому гідрати, кипить при більш високій температурі, ніж 100%-на HNO3. У якості водозабираючого засобу може використовуватися також нітрат магнію.
В даний час значне застосування знаходить прямий синтез концентрованої азотної кислоти, що протікає за рівнянням реакції
2N2O4 (р) + 2Н2О (р) + О2 (г) ↔ 4HNO3 (р), ∆Н = - 59,5 кДж
Поглинання димера діоксиду здійснюється розведеною азотною кислотою, що містить близько 45% води. Ця операція здійснюється в автоклаві при 90 °С і 5 МПа. В автоклаві виходить так званий нітроолеум HNO3* nNO2, що містить до 25% NO2. Після обдувки диоксиду азоту і виходить 97-98%-на азотна кислота.
Розділ 3 Практична частина
3.1 Розрахунок матеріального балансу
Матеріальний баланс хіміко-технологічного процесу — це математичне вираження закону збереження маси речовини, відповідно до якого маса всіх видів сировини і матеріалів, що надходять на переробку (прихід), дорівнює масі отриманих продуктів і витрат при перебігу хімічних реакцій.
Метою матеріального балансу є визначення витратних коефіцієнтів усіх вихідних реагентів за заданою продуктивністю цільового продукту, а також обчислення складу вихідної суміші і продуктів реакції.
Основою для матеріальних розрахунків будь-якою хіміко-технологічного процесу є рівняння всіх хімічних реакцій (основної та побічних), які перебігають у цьому процесі.
Стадія конверсії аміаку у виробництві азотної кислоти
Для реакції:
4NH3 + 5О2 = 4NO + 6H2O: ∆Н = 946*103 кДж /кмоль
скласти матеріальний баланс на 40 тонн оксиду (ІІ) азоту за годину.
Вихідні дані для розрахунку: ступінь досягнення рівноваги - 1, тиск - 0,73 МПа, температура газу на виході з реактора, К: Т = 1123 + 2N; вихідні концентрації [молярна частка, %] аміаку - 9 + 0,IN, кисню - 17 + 0,1 N решта – азот.
Розрахувати і критично оцінити початкову температуру газової суміші, якщо процес відбувається адіабатично. Обґрунтувати конструкцію реактора і розрахувати масу каталізатора, якщо його інтенсивність (І) дорівнює 3,84 тони NH3 на добу.
Для реакції:
4NH3 + 5О2 = 4NO + 6H2O:
для заданої кількості 40000 (кг) цільового продукту практичний витратний коефіцієнт (кг) за компонентом А становить
де МА, МD - молярні маси компонентів А і D, г/моль; X - ступінь перетворення за компонентом А (взятим за умови нестачі щодо компонента В); об'єм компонента А (м3) при цьому становить
де рА - густина компонента А, кг/м .
Вихідні маси т° і об'єм V° вcix компонентів реакції дорівнюють.
де ωА0 , NА0 - масова і об'ємна частки реагенту А у вихідній суміші відповідно.
Вихідна маса і об'єм реагенту В (аналогічно D і Е) дорівнюють:
Маса і об'єм продукту D, що утворився у ході реакції, становлять:
І нарешті, кількості А, В, D, Е після перебігу реакції дорівнюють:
Враховуючи вихідні концентрації [молярна частка, %]
аміаку - 9 + 0,1*40 = 13%
кисню - 7 + 0,1 40 = 11%
азоту – 66 %.
















