124356 (689983), страница 2
Текст из файла (страница 2)
БЗ – блок задания. Блоком задания задается напряжение
, его величина определяет величину задания выходной координаты САР. БЗ содержит в себе источник стабилизированного напряжения
и резистор R3.
В.
ДУ – измерительная система выходной координаты процесса резания. С точки зрения динамики представляет собой апериодическое звено первого порядка с постоянной времени
. При номинальном значении выходной координаты выдаёт напряжение
В.
С – сумматор на базе операционного усилителя и на резисторах R1, R2, R3. Является безынерционным звеном с коэффициентом передачи равным 1. Суммирование осуществляется по алгоритму
.
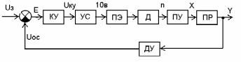
Функциональная схема САР представлена на рис.3:
Рис. 3 Функциональная схема САР
По алгоритму функционирования данная САР является следящей. В ней выходная величина – температура в области резания – регулируется с заданной точностью при изменении напряжения на входе, т.е. система управляет выходной координатой. На вход системы подается напряжение
, соответствующее заданной температуре в области резания. Это напряжение сравнивается с напряжением
, поступающим с датчика обратной связи – например, естественной термопары. Если существует ненулевая разница этих напряжений – ошибка регулирования
, то она с соответствующим знаком поступает на КУ, УС, ПЭ. ПЭ таким образом меняет напряжение на своем выходе, чтобы свести ошибку регулирования путем изменения скорости вращения двигателя к минимуму или нулю. Если на систему действуют возмущения, то система с обратной связью будет компенсировать эти возмущения, поддерживая температуру в области резания постоянной.
4 Разработка структурной схемы САР
Найдем передаточные функции для элементов схемы.
Преобразователь энергии (ПЭ). С точки зрения динамики процесса ПЭ представляет собой апериодическое звено второго порядка с постоянными времени
и
. Его передаточная функция имеет вид:
,
где
Передаточное устройство (ПУ). ПУ является линейным звеном. С точки зрения динамики является апериодическим звеном первого порядка с постоянной времени
, тогда:
,
где
и
Датчик обратной связи (ДУ). Является апериодическим звеном первого порядка с постоянной времени
, тогда:
,
где
и
Двигатель (Д).
Ь
Электрический двигатель состоит из двух частей: электрической и механической.
А
кг*м2
рад/с
В*с/рад
Н*м
Н*м/А
Процесс резания (ПР). Описывается уравнением
,
.
мм
,
(2)
Линеаризуем эту зависимость. Составим уравнение касательной к уравнению (2) в точке
м/мин, которое имеет вид:
,
где
,
Линеаризовав, получили уравнение касательной
,
, где
– тангенс угла наклона касательной в рабочей точке,
– отклонение касательной от начала координат.
, м/мин
Усилитель (УС). Является безынерционным звеном, его передаточную функцию находим из условия:
,
где
находим из условия:
,
где
и
Корректирующее устройство (КУ).
Для того, чтобы обеспечить требуемые свойства в качестве КУ выберем ПИ-регулятор, передаточная функция которого в общем виде имеет вид:
Таким образом, передаточная функция КУ имеет вид:
Таким образом структурная схема процесса резания имеет следующий вид:
где subsystem «ДВИГАТЕЛЬ»:
Переходный процесс данной системы представляет следующий вид:
Перерегулирование:
5 Анализ устойчивости скорректированной системы
ЛАХ имеет вид:
ЛФХ имеет вид:
Из графиков видно, что САР является устойчивой, так как ЛФХ пересекает
позже, чем ЛАХ пересекает 0 (логарифмический критерий устойчивости). Система имеет запасы устойчивости по фазе
, по модулю
дБ.
6 Построение АдСУ
Процессы механообработки, как и большинство других технологических процессов, подвержены существенным внутренним и внешним сигнальным и параметрическим возмущениям. Одним из эффективных подходов к построению систем управления такими процессами является реализация их в классе адаптивных систем.
При точении большинства конструкционных сталей и сплавов показатели степени имеют значение:
;
;
. При практически применяемых скоростях резания для этих материалов значение термоЭДС Е лежит в пределах 10-30 мВ, т.е.
.
Приняв практически возможные пределы
;
;
;
. При
;
получим изменение коэффициента усиления процесса резания:
Таким образом, коэффициент передачи процесса резания может изменяться более чем в 100 раз. Кроме рассмотренных факторов на изменение КПР могут оказывать влияние и другие факторы: изменение условий среды, в которой происходит обработка (изменение свойств СОЖ), изменение физико-химических свойств обрабатываемого и инструментального материала.
При таких вариациях коэффициента передачи процесса резания обычные САУ температурой резания с постоянными параметрами корректирующих и управляющих элементов не смогут обеспечить требуемые условия точности в изменяющихся условиях процесса резания.
Для обеспечения требуемых свойств системы необходимо синтезировать АдСУ, инвариантную к изменению коэффициента передачи объекта управления.
Инвариантность к изменению коэффициента передачи объекта управления можно обеспечить введением в основной контур управления сигнала, обратно пропорционального изменению этого коэффициента. Применим систему с эталонной моделью. В данном случае АдСУ по типу контура адаптации – с замкнутым контуром адаптации; по способу адаптации – с прямой адаптации (т.к. мы знаем математическую модель процесса резания); по характеру настройки основного контура системы – СНС.
Структурная схема синтезированной адаптивной системы управления процессом резания приведена на следующей странице.
Адаптивная система управления процессом резания
При отсутствии возмущений и выключенном контуре адаптации:
При увеличении KПР в 2 раз на 5 секунде и отключенном контуре адаптации:
При увеличении KПР в 2 раз, включенных возмущениях на 5 секунде и включенном контуре адаптации:
При увеличении KПР в 10 раз на 5 секунде и отключенном контуре адаптации:
При увеличении KПР в 10 раз, включенных возмущениях на 5 секунде и включенном контуре адаптации:
Заключение
В ходе данной курсовой работы была синтезирована адаптивная систему управления процесса резания по температуре. Проанализировав полученные в результате моделирования на ЭВМ в пакете MatLab переходные процессы, выяснили, что система при введении возмущения и при отключенном контуре адаптации становится неустойчивой. При подключении контура адаптации система не теряет устойчивость, а возвращается в исходное состояние, скачкообразные возмущения быстро отрабатываются.















