124115 (689837), страница 3
Текст из файла (страница 3)
Активное сопротивление фазы вторичной обмотки:
Ом; (4.8)
Полное сопротивление фазы вторичной обмотки трансформатора:
Ом; (4.9)
Индуктивное сопротивление фазы вторичной обмотки:
Ом; (4.10)
Индуктивность фазы вторичной обмотки:
Гн; (4.11)
Так же, исходя из вышеописанных соображений, выбираем тиристорный преобразователь ТПП1.
Паспортные данные преобразователя и некоторые данные для дальнейшего расчета:
-
Реверсивный;
-
Изготовлен по мостовой 6-ти пульсной схеме
; -
Номинальное выпрямленное напряжение преобразователя:
В; -
Номинальный выпрямленный ток:
А; -
Падение напряжения на вентилях:
В; -
Коэффициент запаса по току:
; -
Коэффициент схемы по току:
;
5. Расчет статических механических и электромеханических характеристик двигателя и привода
Все расчеты будут проведены для одного двигателя исходя их тех предположений, что напряжение распределяется по якорным обмоткам равномерно, ток общий, момент– одинаковый. Нагрузка на один двигатель принимается половиной от общей.
Приведем сопротивления к рабочей температуре:
Коэффициент приведения равен:
; (5.1)
;
где
0 С– температура, при которой дано сопротивление обмоток двигателя в паспортных данных;
0 С– рабочая температура двигателя с классом изоляции В.
Сопротивление якорной обмотки без учета падения напряжения на щетках:
; (5.2)
Ом;
Полное сопротивление якорной цепи двигателя:
Ом; (5.3)
Индуктивность якорной цепи (по формуле Ленвиля-Уманского):
Гн, (5.4)
где
– эмпирический коэффициент (при наличии компенсационной обмотки).
Максимальная ЭДС преобразователя :
; (5.5)
;
Ориентировочно оценим минимальное требуемое значение ЭДС преобразователя, учитывая диапазон
,:
; (5.6)
Найдем требуемую индуктивность сглаживающего дросселя из условия максимально-допустимых пульсаций тока нагрузки, равных 5%,
:
Максимальный (ориентировочно) угол управления:
рад; (5.7)
Коэффициент для мостовой схемы:
; (5.8)
;
Требуемое индуктивное сопротивление сглаживающего дросселя:
; (5.9)
Гн; (5.10)
Выбираем сглаживающий дроссель СРОС3-800МУХЛ4, его паспортные данные:
-
Номинальный ток дросселя:
А; -
Номинальное сопротивление дросселя:
Гн. -
Номинальные потери в меди дросселя:
Вт;
Ставим последовательно 2 дросселя:
.
Суммарная индуктивность сглаживающего дросселя:
Гн; (5.11)
Суммарное активное сопротивление сглаживающего дросселя:
Ом; (5.12)
Эквивалентное сопротивление коммутации:
Ом; (5.13)
Полное эквивалентное сопротивление якорной цепи двигателя:
; (5.14)
Ом;
Полная индуктивность якорной цепи (учитывая, что вторичная обмотка трансформатора соединена в треугольник и используется мостовая схема, которая «работает» с линейными напряжениями, а, следовательно, ток нагрузки течет только по одной из обмоток трансформатора.):
; (5.15)
Гн;
Определим конструктивный коэффициент двигателя, связывающий противоЭДС и скорость вращения вала двигателя:
; (5.16)
В*с/рад;
Момент на валу, развиваемый электродвигателем:
Н*м; (5.17)
Электромагнитный момент двигателя:
Н*м; (5.18)
Найдем относительную разницу между электромагнитным моментом и моментом на валу:
; (5.19)
Так как разница более 5%, то для дальнейших расчетов найдем конструктивный коэффициент двигателя, связывающий момент на валу двигателя и с током якоря:
Н*м/А;
Выражение механической характеристики имеет вид:
(5.20)
, где
=1 – падение напряжения на вентилях;
Из выражения механической характеристики находим углы открытия вентилей для заданных режимов работы:
Первая прокатка:
Вторая прокатка:
Третья прокатка:
Четвертая прокатка:
Для построения МХ и ЭМХ необходимо определить характер поведения характеристики в области прерывистых токов, следовательно сначала находим значения граничных токов и соответственно моментов для приведенных выше расчетных режимов.
Первая прокатка:
Вторая прокатка:
Третья прокатка:
Четвертая прокатка:
Непосредственно зону прерывистых токов рассчитаем по точкам. Зададимся десятью значениями
. Вычисления будем производить для тех же расчетных режимов что и ранее. В данном случае ток, момент и скорость двигателя в зоне прерывистых токов будут определятся исходя из следующих выражений.
Характеристики замкнутой системы будут абсолютно жесткие, что будет показано далее.
Сопротивление
в режиме прерывистых токов меньше сопротивления в режиме непрерывных токов на величину сопротивления коммутации. Однако, в этом случае будет разрыв характеристик в граничной точке. Сопротивление коммутации изменяется с изменением тока нагрузки так же как и эквивалентное сопротивление щеточного контакта. Тогда в режиме непрерывных токов с уменьшение тока нагрузки и становится равным нулю при граничном токе. Однако в этом случае двигатель механическая характеристика двигателя в режиме непрерывных токов становится нелинейной. Следовательно, оставим сопротивления
одинаковым в режиме прерывистых и непрерывных токов.
-
Расчёт переходных процессов в электроприводе за цикл работы
Механическая часть электропривода представлена трехмассовая расчётной схемой. Приведем обоснование перехода к одномассовой расчётной схеме.
Исходная схема:
Рисунок 6 – Расчетная схема, где
:
(кг*м2) (6.1)
(кг*м2) (6.2)
(кг*м2) (6.3)
Из справочника выбераем муфты с жесткостью:
Из справочника выбераем муфты с жесткостью:
(Н*м)
(Н*м) (6.4)
(Н*м) (6.5)
(Н*м) (6.6)
Так как
и
, то схема может быть представлена двухмассовой:
Рисунок 7 – Расчетная схема
(кг*м2) (6.7)
(кг*м2) (6.8)
(6.9)
(Н*м)
Перейдем к одномассовой расчетной схеме, т.к.
и
(*)
Собственная частота:
(с-1) (6.10)
Желаемая частота среза:
(с-1) (6.11)
где: аТ, аС, bТ – коэффициенты демпфирования.
Так как выполняется условие (*) осуществляем переход к одномассовой расчетной схеме:
кг*м2 (6.12)
Рисунок 8 – Расчетная схема привода
Расчетная схема механической части привода приведена в графической части. Имеем систему подчиненного регулирования, состоящую из двух контуров: контура тока и контура скорости. Для получения астатической системы и точного поддержания скорости прокатки настраиваем контур тока на МО, а контур скорости на СО.
Составляем структурную схему привода:
При исследовании и расчете систем исходят из математического описания физических процессов, происходящих в них.
Структурные схемы показывают взаимосвязь составных частей и характеризуют их динамические свойства, т.е. являются графическим изображением математического описания элементов системы в динамике.
-
Структурная схема тиристорного преобразователя.
В целом тиристорный преобразователь, работающий в режиме непрерывного тока, с достаточной точностью можно представить одним динамическим безынерционным звеном с чистым запаздыванием, передаточная функция которого имеет вид:
(6.13)
где:
- общее время запаздывания;
-время запаздывания силового преобразователя;
(с) (6.14)
- время запаздывания устройства управления;
С достаточной точностью тиристорный преобразователь, работающий в режиме непрерывного тока, можно представить звеном:
(6.15)
где:
(с).
Структурная схема двигателя постоянного тока при управлении напряжением якоря.
При математическом описании двигателя постоянного тока с независимым возбуждением принимаются допущения:
-
размагничивающее действие реакции якоря считается скомпенсированным;
-
индуктивность и сопротивление якорной цепи являются постоянными величинами;
-
магнитный поток линейно зависит от намагничивающей силы.
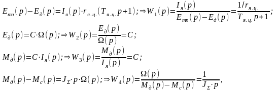
Для построения структурной схемы двигателя пишем систему дифференциальных уравнений в операторном виде:
где Eтп(p)- изображение ЭДС тиристорного преобразователя;
Едв(p) - изображение противо-ЭДС двигателя;
Iя(p) - изображение тока якоря;
rя.ц. - суммарное сопротивление якорной цепи;
Тя.ц. - суммарная постоянная времени якорной цепи;
С - конструктивный коэффициент двигателя;
(p) - изображение скорости вращения электродвигателя;
Мдв(p) - изображение момента развиваемого двигателем;
Мс(p) - изображение момента сил статических сопротивлений;
J - суммарный момент инерции привода, приведенный к валу двигателя.
Структурные схемы регуляторов представим в виде Wрт и Wдс , которые при настройке контуров будут определены.
Датчики тока и скорости представлены в виде Кдт и Кдс .
Структурная схема привода приведена в приложении____
В данной структурной схеме учтем нелинейности регуляторов и тиристорного преобразователя. Ограничение на нелинейности тиристорного преобразователя ±Еdo.
Статическая механические характеристики замкнутой системы абсолютно жесткие.
В статике Uзт и Uост равны, следовательно:
(6.16)
Настройка контура тока на модульный оптимум:
Постоянная времени якорной цепи:
(6.17)
;
В;
А;
В;
;
;
А;
Гн.
Вт;















