123652 (689548), страница 3
Текст из файла (страница 3)
Р
(3.8)
ассмотрим прежде всего капиллярную пропитку гидрофильной среды водным раствором активной примеси, не растворимой в нефти, (с=0), в изотермических условиях. Будем также считать, что адсорбция зависит только от концентрации: a = а (с). При этом темпе ратуру можно не учитывать, а для отыскания распределений насыщен ности и концентрации имеем в автомодельных переменных задачу В
ычитая из второго уравнения системы первое, умноженное на С, приводим его к виду
(3.9)
Характерное значение коэффициента капиллярного переноса А2 значительно больше, чем характерное значение коэффициента диффузии D. Поэтому последний член в уравнении содержит множителем малый параметр D/A2 < 1. Пренебрегая этим членом, получаем для С уравнение первого порядка
(3.10)
Р
(3.11)
П
(3.12)
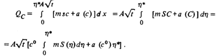
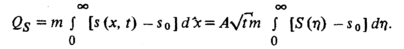
олное количество воды, вошедшей в "образец" ко времени t,Как и при "обычной" капиллярной пропитке, оно растет пропорционально корню из времени — факт, являющийся следствием автомодельности задачи.
П
(3.13)
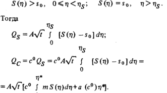
олное количество примеси в образце в тот же момент времени равно Qc = c°Qs. В то же времяКак известно, скорость продвижения фронта капиллярной пропитки в зависимости от конкретных свойств функций фазовых проницаемостей и капиллярного давления может быть конечной или бесконечной. Примем здесь, что эта скорость конечна и существует выраженный фронт пропитки ns:
Равенство возможно только при n* < ns. Это означает, что при капиллярной пропитке гидрофильной среды, как и при закачке раствора активной примеси, фронт примеси отстает от фронта воды, а перед примесью движется чистая вода. Видно, что отставание обусловлено теми же двумя факторами, что и при закачке: адсорбцией
(а (с°) > 0) и смешением с погребенной водой (so > 0). Если Т - сред няя водонасыщенность в зоне, занятой примесью, то порядок величины отставания
(3.15)
Таким образом, из общих закономерностей процессов переноса следует, что примесь значительно отстает от "несущей" ее воды при капиллярной пропитке. Поэтому влияние ее на пропитку может ска заться лишь через посредство изменения гидродинамических харак теристик в области относительно больших водонасыщенностей.
Области больших водонасыщенностей отвечают малые значения ка пиллярного давления и сравнительно большие значения относительной фазовой проницаемости для воды. Поэтому существенное влияние на капиллярную пропитку примесь может оказывать лишь в том случае, когда она существенно изменяет вязкости фаз и относительную фазо вую проницаемость для нефти.
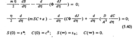
Второй существенный качественный результат получается из ана лиза первого уравнения системы (5.40). Обычным способом интег рирования по малому отрезку легко установить, что функция J непре рывна как функция n всюду, в том числе и в окрестности точки n*, в которой концентрация примеси претерпевает разрыв согласно.
Т
(3.16)
аким образом, при n = n*имеемПоэтому если примесь изменяет кривую капиллярного давления (функцию Леверетта J), то скачок концентрации сопровождается скачком насыщенности такой величины, что капиллярное давление оказывается непрерывной функцией координат и времени.
Отмеченные выше особенности капиллярной пропитки гидрофильной пористой среды водным раствором активной примеси видны на рис. где показаны результаты модельных расчетов.
Обратимся теперь к другому важному частному случаю, а именно, рассмотрим процесс пропитки гидрофобной пористой среды раствором гидрофилизирующего ПАВ. Иными словами, предполагается, что пер воначально поверхность пор преимущественно смачивается нефтью (cos < 0), однако поверхностно-активное вещество, растворенное в воде, способно, адсорбируясь на поверхности пор, превратить ее в гидрофильную (cos > 0). Количественно эффект будет зависеть от величины адсорбции, а последняя, в свою очередь, в силу условия ло кального термодинамического равновесия, от концентрации ПАВ в воде. Поэтому далее принимается, что при некоторой пороговой концентра ции ПАВ с* происходит переход от гидрофобной среды к гидрофильной. Этот переход в гидродинамических уравнениях проявляется в изменении знака капиллярного давления рс: оно отрицательно для гидрофобной среды и положительно для гидрофильной, причем, как легко убедиться из простейших модельных рассуждении, производная p/ s отрицательна как для гидрофильной, так и для гидрофобной среды.
Поэтому далее при модельных расчетах берется функция pc(s, с) вида
(3.17)
Рассматривая изотермический случай, имеем вновь автомодельную задачу, описываемую первыми двумя уравнениями с соответст вующими краевыми условиями.
Удобнее, однако, рассмотреть эту задачу несколько по-иному. По скольку в гидрофобную среду водная фаза впитываться не может, ясно, что пропитка реально может происходить только в той части "образца", в которой концентрация ПАВ превысила критическое значение с*. Это означает, что ведущим в процессе пропитки должен быть процесс диффузии ПАВ, а пропитка должна следовать за ним. Возьмем поэтому в качестве автомодельной переменной
(3.18)
г
(3.19)
де Do - характерное значение коэффициента диффузии примеси. При этом первое уравнение перейдет вП
(3.20)
о-прежнему ограничиваясь естественной асимптотикой A2/Do > 1, получаем, что в основной области выполняется уравнениеЭто соотношение означает, что с точностью до малых величин А2 /D капиллярный поток воды постоянен по глубине зоны пропитки.
Пусть значение = * отвечает достижению критической концентрации с*. Применяя (5.53) к области > * имеем, очевидно, q = 0 (отсутствие потока на бесконечность). Это означает, что в области пepeд фронтом критической концентрации движение практически отсутствует
Чтобы понять, каким образом определяется поток q в области за фронтом критической концентрации, пренебрежем временно зависимостью коэффициентов в уравнении для переноса примеси от S, и допустим, что речь идет о чистой диффузии. Тогда решение имеет хорошо известный вид
(3.21)
Значение * находится приравниванием выражения критической концентрации с*. Тогда дает уравнение
(3.22)
Ф
(3.23)
ункция С() здесь задана, а константа а определяется из условия,
ч
(3.24)
то насыщенность S принимает заданные значения приРасчет модельной задачи, проведенный численно без привлечения сделанных выше упрощающих предположений, приводит к качествен но похожей картине. Основной результат состоит в том, что пропитка происходит весьма медленно, со скоростью диффузии ПАВ в пористый образец, причем в зоне пропитки распределение насыщенности близко к состоянию капиллярного равновесия.
Обсудим теперь некоторые следствия качественного характера, относящиеся к применению активных примесей для повышения нефтеотдачи гетерогенных систем, в частности слоисто-неоднородных и трещиновато-пористых пластов.
Будем считать, что соотношение проницаемостей "проточной" и "емкостной" компонент среды таково, что основную роль в извлечении нефти из малопроницаемой (емкостной) компоненты играет капиллярная пропитка.
В гидрофильной среде пропитка будет происходить в две стадии. Первая стадия будет близка по кинетике к пропитке водой. По окончании ее в "блоке" малопроницаемой компоненты среды установится капиллярное равновесие, однако активная примесь проникнет не в весь блок, а лишь во внешнюю часть его ("кайму"). Последующее перераспределение примеси и проникновение ее в глубину блока будет происходить главным образом за счет диффузии, так как активное гидродинамическое движение будет отсутствовать. По окончании первой фазы пропитки остаточная нефтенасыщенность в основной части блока будет соответствовать предельной насыщенности при вытеснении нефти водой. В стадии диффузионного перераспределения примеси она может уменьшиться до значения, отвечающего критической насыщенности при вытеснении нефти раствором активной примеси. По существу именно это определяет основной возможный эффект активной примеси при извлечении нефти из гетерогенных гидрофильных пластов. Еще раз отметим, что теория не дает основания ожидать существенного влияния примеси на первую стадию собственно капиллярной пропитки.
В гидрофобной среде сама пропитка оказывается возможной только благодаря гидрофилизирующему действию ПАВ. При этом, как уже говорилось выше, ведущим механизмом оказывается диффузия ПАВ, а пропитка отслеживает продвижение фронта критической концентрации. Поэтому извлечение нефти из гидрофобных блоков за счет пропитки гидрофилизирующими ПАВ — процесс весьма медленный. Для его ускорения необходимо ускорение диффузии ПАВ. Из этих соображений представляется предпочтительным использование сравнительно низкомолекулярных ПАВ, растворимых в обеих фазах — водной и углеводородной.
Заканчивая на этом краткое изложение теории капиллярной пропитки растворами активных примесей, подчеркнем, что изложенные теоретические соображения — это лишь первые шаги; они нуждаются как в дальнейшем развитии, так и в эксперименте, не столько для того, чтобы подтвердить или опровергнуть теорию, сколько для того, чтобы выделить наиболее важные направления последующего исследования.
5. Специальная часть
5.1 Охрана окружающей среды
Основная деятельность компании в области охраны природы направлена на минимизацию и предотвращение негативного влияния на здоровье человека и окружающую среду, стабилизацию экологической обстановки.
В ОАО «ТНК-Нижневартовск» решение экологических проблем является одним из видов производственной деятельности, определённой как приоритетная и направленная на постоянное уменьшение отрицательного воздействия на окружающую среду, а также восстановление и рациональное использование природных и энергетических ресурсов.
Предприятие конкретными делами способствует достижению поставленных целей и обязуется:
-
осуществлять работы в соответствии с федеральными и местными законами и законодательными актами, положениями и инструкциями, а также в соответствии с требованиями, принятыми в компании;
-
использовать передовое оборудование и технологии при реконструкции производственных мощностей и создании новых;
-
применять адекватные меры по предотвращению аварийных разливов и их ликвидации;
-
утилизировать и регенерировать отходы производства и потребления;
-
вовлекать персонал в природоохранную деятельность компании;
-
проводить исследования, направленные на усовершенствование методов предотвращения и устранения загрязнения окружающей среды;
-
совершенствовать Систему экологического менеджмента в соответствии с международным стандартом ISO 14001;
-
ежегодно распространять инициативную экологическую отчетность.
Для реализации поставленных задач в нефтяной компании созданы определённые структурные подразделения.
В 1990 году создан цех по оздоровлению экологической обстановки (с собственной производственной и материальной базой), в 1991 – экологический центр, занимающийся курированием всей производственной деятельности в области охраны окружающей среды и рационального использования природных ресурсов, а в 1994 году образованы еще два управления – по эксплуатации и ремонту трубопроводов (контролирующее работу всей трубопроводной системы предприятия).
6. Выводы и рекомендации
В данном курсовом проекте сделан обзор орогидрографии и геологического строения Самотлорского нефтегазоконденсатного месторождения. В технологической части подробно описаны все элементы теории фильтрации. Расчетный раздел содержит задачу, которая является естественым обобщением классической задачи о противоточной пропитке нефтенасыщенного образца пористой среды водой.
7. Список используемой литературы
1. Рузин Л.М„ Спиридонов ЮА., Тюнькин Б.А. Опыт теплового воздействия на пласт в шахтных условиях. - В кн.: Геология и разработка нефтяных месторождений Коми АССР. М., Всесоюз. науч. исслед. ин-т организации, управ ления и экономики нефтегазовой промышленности, 1974, с. 154-160.
















