123652 (689548), страница 2
Текст из файла (страница 2)
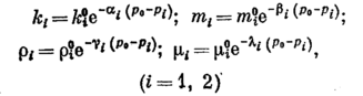
В общем случае следует положить что:
(2.6)
где — безразмерный коэффициент, зависящий от геометрии систем трещин в породе.
3.2 Проницаемость пласта.
В
(2.7)
трещиноватом пласте зависимость между скоростью фильтрации v и средней скоростью движения по трещинам и выражается в виде: и
ли по известной из гидромеханики формуле Буссинеска для средней скорости течения жидкости между двумя плоскими неподвижными параллельными стенками:
Н
(2.9)
П
(2.10)
Е
сли учесть, что в системе СИ проницаемость 1 Дарси = 1,02х10-12 м2, то для трещиноватого пласта
Д
(2.11)
В продуктивных трещиноватых пластах горное давление, опре деляющее общее напряженное состояние среды, уравновешивается напряжениями в скелете породы и давлением жидкости в трещинах. При постоянстве горного давления снижение пластового давления за счет отбора жидкости из пласта приводит к увеличению нагрузки на скелет среды. С уменьшением пластового давления (давления жидкости в трещинах) уменьшаются усилия, сжимающие зерна (пористые блоки) трещиноватой породы. Значение этого фактора наряду со значительными силами инерции следует учитывать при исследовании процессов фильтрации в трещиноватом пласте. Таким образом, на объем пространства трещин в трещиноватом коллек торе влияют в основном два фактора:
-
увеличение объемов зерен с падением пластового давления;
-
увеличение сжимающих усилий на скелет продуктивного пласта.
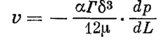
Полагая, что в трещиноватом пласте преобладают упругие деформации и учитывая, что горное давление постоянно, а с изменением давления в жидкости, газе изменяются главным образом раскрытия трещин , можно так оценить изменение раскрытия трещин от дав ления:
Г
(2.13)
де т - упругая константа; а - коэффициент Пуассона; l - среднее расстояние между трещинами. Разрешая уравнение (2.11) с учетом (2.12), получим формулу для определения параметра проницаемости в деформируемом трещиноватом пласте:г
(2.14)
де М
еханизм деформации в трещиновато-пористых пластах более сложен, чем в коллекторах чисто трещинного типа, рассмотренных выше. Однако можно отметить, что в трещиновато-пористых средах под внешними воздействиями вначале деформируется система трещин (среда 1, рис. 2.1); причем истинное напряжение этой системы играет роль внешней нагрузки для системы пористых блоков (среда 2, рис. 2.1). Заметим также, что зависимость для проницаемости вида (2.13) не единственная. Так, при построении нелинейной теории упругого деформирования, справедливой при больших изменениях давления и больших упругих деформациях, авторы (А. Т. Горбунов, В. Н. Николаевский) принимали, что проницаемость, пористость (а также вязкость и плотность фильтрующейся жидкости или газа) в обеих системах (среды 1 и 2 на рис. 2.1) являются
э
(2.15)
кспоненциальными функциями от давления:Некоторые авторы (А. Бан, И. Н. Николаевский, Н. П. Лебединец, Л. Г. Наказная) используют также линейную зависимость между трещинной проницаемостью и изменением давления в виде:
(2.16)
где — реологическая постоянная трещиноватой среды, имеющая размерность, обратную размерности давления.
3.3 Границы применимости линейного закона фильтрации
Так же как и для гранулярных (пористых) сред, при больших скоростях фильтрации линейный закон фильтрации может нарушаться из-за появления значительных по величине сил инерции. Как показали исследования Г. М. Ломизе, для движения воды в щелях различного вида характерны числа Re, значительно превы шающие величины этого параметра для пористых сред: так, для щелей с гладкими стенками верхний предел применимости линейного закона оценивается числами Reкр = 600, а нижний —Reкр = 500).
Ф. И. Котяхов указывал, что для трещиноватых пород за счет изменения относительной шероховатости трещин и их различного раскрытия (от 71 мк до 12,96 мк в опытах Ф. И. Котяхова) нарушение линейного закона происходит при значениях Re соответственно от 90 до 0,40. Исследования Е. С. Ромма подтвердили, что для щелей с гладкими стенками критическое число Рейнольдса равно 500. Им было также установлено, что если величина относительной шероховатости меньше 0,065, то ее роль в процессах фильтрации может не учитываться.
Параметр Re для трещиноватой среды можно ввести на основании следующих простых рассуждении.
Б
(2.17)
езразмерный параметр Re для щели любой формы определяется выражением: г
де u — средняя скорость потока в м/сек; v — кинематическая вязкость в м/сек; R — гидравлический радиус (отношение площади «живого» сечения потока к «смоченному» периметру) в м. Для трещин прямоугольного сечения:
г
(2.18)
Приближенное выражение для R получено на основании того, что обычно < а и величиной в знаменателе по сравнению с а можно пренебречь. Заметим, что — среднее раскрытие трещин в породе.
Т
(2.19)
аким образом,и учитывая, что
т
(2.20)
о выражение для числа Рейнольдса в трещиноватой фильтрирующей среде может быть представлено в окончательной форме: О
тметим, что согласно сказанному, за нижнюю границу нарушения линейного закона фильтрации в трещиноватом пласте следует принять Rедр = 0,4. Понятно, что если линейный закон фильтрации не действителен для трещиноватых пластов, следует использовать нелинейные законы.
А
(2.21)
налитически нелинейные законы выражаются в виде одночленных и двучленных формул. Одночленная формула предполагает следующую запись: г
де п изменяется от 1 до 1,75 (по данным проф. Г. М. Ломизе).
З
(2.22)
начение постоянной Ст можно получить методами теории подобия. Аналогичными рассуждениями получаем, что:
(2.23)
где
Н
(2.24)
а основании (2.19) уравнение (2.18) можно записать в виде:где n = 1 — 1,75.
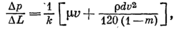
При n = 1,75 имеем турбулентный режим. Если линейный закон нарушается, используется двучленная формула, учитывающая возрастающую роль сил инерции в связи с увеличением скоростей движения жидкостей и газов:
(2.25)
где a, b — некоторые постоянные.
Б. Ф. Степочкиным на основе обработки обширного эксперимен тального материала (по результатам опытных данных и заимствован ного из различных литературных источников) для большого диапа зона размеров (от нескольких микрон до 75 мм) твердых частиц раз нообразной формы (слагающих продуктивные пласты) и интервала чисел Re от 10-6 до 103, получена двучленная формула:
г
(2.26)
4. Расчетная часть
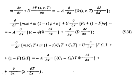
Капиллярная пропитка при физико-химическом и тепловом заводнениях. Нефтеотдача трещиновато-пористых коллекторов.
Р
(3.1)
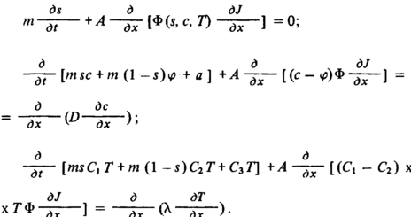
ассмотрим задачу, которая является естественным обобщением классической задачи о противоточной пропитке нефтенасыщенного образца пористой среды водой. Образец пористой среды, занимающий полупространство х>0 и первоначально заполненный нефтью и погребенной во дой (водонасыщенность Sо) при температуре То, приводится в контакт по плоскости х=0 ("торцу") с водным раствором химреагента концентрации с0, находящимся при температуре T. Под действием капиллярных сил в образце возникает одномерное течение, описываемое уравнениями:З
(3.2)
десь уравнения движения записаны в предположении локального равновесия, так что и
т.д. Жидкости предполагаются несжимаемыми, так что с = const. При этом из условия ограниченности давления при х ("вдали от торца образца") следует, что суммарная скорость фильтрации двух фаз U=0. Иными словами, сколько воды впитывается в образец, столько же нефти вытесняется из него через торец — ситуация, характерная для противоточной капиллярной пропитки.
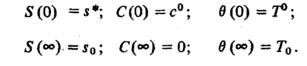
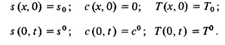
Задача должна быть решена при условиях:
При этом особого комментария заслуживает величина s°- значение водонасыщенности в торцевом сечении образца. Это значение определяется условиями выхода нефти из образца. Действительно, вода вне образца и вода в той части образца, куда проникла пропитка, образуют единую связную фазу, и потому давление в ней при х =0 непрерывно:
Р
(3.3)
= Ро . С другой стороны, вытесняемая нефть выходит в водную фазу в виде отдельных капель, поэтому давление у торца образца в нефтяной фазе выше на величину капиллярного давления, отвечающего радиусу выходящих капель r : р2 = ро + 2a/r . Поэтому межфазный капилляр ный скачок давления вблизи торца образцаО
(3.4)
Учитывая условие U= О, имеем из уравнения
(3.5)
О
(3.6)
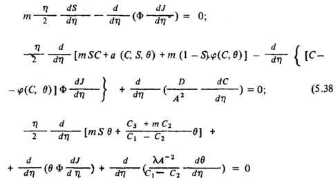
бобщенная задача о противоточной капиллярной пропитке имеет автомодельное решение видаудовлетворяющее системе обыкновенных дифференциальных уравнений
(3.7)
с условиями
Фактическое отыскание решения сформулированной задачи требует в общем случае привлечения численных методов. Для того чтобы выяснить некоторые важные общие свойства решений, рассмотрим два характерных частных случая.
















