123563 (689516)
Текст из файла
Министерство Образования и Науки Республики Казахстан
Атырауский Институт Нефти и Газа
Факультет «Экономика и информационные системы»
Кафедра «Информационные системы»
КУРСОВАЯ РАБОТА
на тему «Основы теории живучести»
по дисциплине: «Надежность систем автоматизации»
Выполнил: ст. гр. АиУ-05 к\о
Мухамедияров Д.
Проверила: доцент
Алымов Н.К.
Атырау – 2008 г.
Введение
Впервые в мире понятие живучести было сформулировано русским адмиралом Степаном Осиповичем Макаровым – это способность судна продолжать бой, имея повреждения в различных боевых частях.[1]
В энергетике под живучестью понимается свойство объекта противостоять возмущениям, не допуская их каскадного развития с массовым нарушением питания потребителей.[2]
Толчком к развитию методов оценки и прогнозирования цепочечных аварий в энергосистемах (ЭС) послужила авария, случившаяся 9 ноября 1965 года в США, которая привела к тому, что на территории с населением около 30 млн. человек более чем на 10 часов была прекращена подача электроэнергии. Ущерб от аварии составил более 100 млн. долларов. Последовавшие после этого десяток мелких (с экономической точки зрения), но подобных аварий по стране завершились 13 июля 1977 года аварией в Нью-Йорке. В течение 25 часов была парализована жизнь Нью-Йорка. Ущерб от последствий этой аварии составил более 1 млрд. долларов.[3,4]
Спустя 26 лет, 14 августа 2003 года в 16 часов 11 минут по местному времени из-за повреждения на линии Ниагара – Мохок без электричества осталась почти вся восточная часть Северной Америки, т.е.50 млн. человек.[5]
О каждой из перечисленных аварий можно сказать, что данная энергосистема потеряла живучесть. Живучесть электроэнергетической системы (ЭЭС) зависит от ее структуры, конфигурации, надежности электрооборудования, средств релейной защиты и противоаварийной автоматики, а также от квалификации обслуживающего персонала, запаса устойчивости, резерва активной мощности и т.д.[6] При эксплуатации ЭЭС наблюдается появление так называемых цепочных аварий из-за последовательного отказа в срабатывании нескольких выключателей при отключении повреждений.[7]
Цепочные аварии наблюдались в 25 ЭЭС и двух ОЭС бывшего СССР. За 5 лет было зафиксировано 75 цепочных аварий. В 81 % случаев цепочные аварии происходили из-за повреждений в сети и отказа в функционировании защитных коммутационных аппаратов.[8] На цепочечные аварии приходится 90 % народнохозяйственного ущерба.[9]
Под глубиной цепочной аварии понимается уровень расстройства функционирования установок энергосистемы при авариях и нарушениях в работе.[7,8,10]
Показателем живучести может служить частота появления системных цепочных аварий с различной глубиной нарушения электроснабжения.[8]
Поэтому работа, направленная на разработку новых и совершенствование известных математических моделей и методик по оценке живучести узлов нагрузки, является актуальной. Решение этих проблем позволит практически не допускать появление каскадных аварий в энергосистемах.
Научная ценность работы
В этой работе рассматривается живучесть электрической подстанции В работе 110\10 В. получена новая аналитическая зависимость живучести подстанции от интенсивности появления КЗ в ее элементах, надежности систем отключения защитных коммутационных аппаратов и сроков ее контроля.
Практическая ценность работы
Полученная в работе зависимость позволяет прогнозировать живучесть подстанции, сравнивать полученный результат с нормируемым отраслевыми документами уровнем и если полученный уровень живучести узла нагрузки будет больше нормируемого
,то представляется возможность разрабатывать организационные и технические мероприятия, при которых нормируемый уровень будет обеспечен, т.е.
.
Состояние вопроса
На современном этапе развития техники и технологии для оценки живучести узлов нагрузки и надежности схем систем электроснабжения (СЭС) широкое распространение получили элементные методы. В этих методах предполагается, что СЭС состоит из отдельных самостоятельных (в смысле анализа надежности) элементов, исключаются из рассмотрения функциональные зависимости между параметрами отдельных элементов устройства.[11-14] Рассматриваемые СЭС состоят из элементов : линии электропередачи, трансформаторы, выключатели, отделители, разъединители, автоматические выключатели и т.д.
Под узлами схемы понимают физические пункты СЭС, которые непосредственно связаны не менее чем с тремя направлениями передачи энергии, т.е. обычно это сборные шины или секции распределительных устройств и т.д.[13]
Для элементов СЭС в работе[14] введены понятия: отказ типа «обрыв цепи» и отказ типа «короткое замыкание» («КЗ»). В работе кроме перечисленных видов отказов предлагается учитывать и переход аварии через коммутационный аппарат. Факторы, которые целесообразно было бы учесть при расчетах надежности СЭС, перечислены в [15] . В работе [16] обосновано, что нецелесообразно делить отказы, которым подвергается электрооборудование в процессе эксплуатации более чем на три вида.
Результаты исследований
Для Донбасской электроэнергетической системы (Артемовские МЭС, Чайкинские МЭС, Мариупольские МЭС, Луганские МЭС) за 5 лет была обработана статистическая информация о повреждениях электрооборудования подстанций.
Получены функции распределения интервалов времени между выходами из строя оборудования по вине человека. Установлено, что для различных энергосистем число выходов из строя оборудования по вине человека колеблется в пределах от 50 % до 54%.
В работе рассматриваются следующие виды отказов элементов схемы: отказ типа «короткое замыкание», отказ типа «обрыв цепи» и отказ в срабатывании (скрытый отказ).
Все остальные отказы, которые встречались в СЭС промышленных предприятий Украины, появлялись на порядок реже отобранных и поэтому в расчетах не учитывались.
Перечисленные виды отказов следует относить к следующим типам электрооборудования:
1.Отказ типа «короткое замыкание». Такой вид отказа может происходить во всех элементах схемы, через которые проходит ток нагрузки в нормальном режиме работы. Короткие замыкания (КЗ) в таких элементах отключаются основной релейной защитой, в зоне действия которой находится рассматриваемый элемент сети, либо резервной с выдержкой времени. Перекрытие изоляции в самом защитном коммутационном аппарате в этих расчетах не учитываем, так как повреждения встречаются на порядок реже, чем КЗ в защищаемых этими коммутационными аппаратами элементах сети. 2.Для защитных коммутационных аппаратов учитываются два вида отказов: а) отказ выключателя типа «обрыв цепи». К таким отказам будем относить ложные и излишние отключения выключателей в результате действия релейной защиты, которые ликвидируются с помощью ручного переключения (т.е. без средств автоматики), а также автоматические отключения выключателей в результате повреждений во вторичных цепях релейной защиты; б) отказ выключателя в срабатывании. Эти отказы выявляются в результате профилактических осмотров выключателей: привода, катушки отключения, дугогасительной камеры , контактной системы , оценивается возможность перекрытия изоляции при внешних и внутренних перенапряжениях, проверяются пути утечки тока. Производится осмотр релейных защит, контактов самих реле, проверяются уставки защит, оперативные цепи питания, работа устройства автоматического повторного включения (АПВ),устройства автоматического ввода резерва (АВР) и т.д.
Все выявленные в результате профилактики отказы, которые могли бы привести к отказу в срабатывании выключателя при появлении КЗ в зоне действия его релейной защиты, заносятся в специальный журнал и эта информация используется для определения параметров потока отказов системы отключения выключателя.
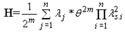
В качестве показателя живучести узла нагрузки в работе используется частота появления цепочной аварии, т.е. частота отключения узла нагрузки при возникновении КЗ в защищаемом элементе сети и отказе в срабатывании ряда защитных коммутационных аппаратов(ЗКА) ,через которые прошел сквозной аварийный ток [17]
где
- параметр потока независимых КЗ в j-том элементе сети;
- параметр потока отказов в срабатывании i- го защитного коммутационного аппарата;
– интервал времени между профилактическими осмотрами системы отключения i-го защитного коммутационного аппарата вместе с его релейной защитой или системы АВР;
m – число защитных коммутационных аппаратов, через которые прошел сквозной аварийный ток (при этом действие их основной или резервной релейной защиты обязательно), или число коммутационных аппаратов с АВР, которые отказали во включении; n – число единиц электрооборудования, получающих электроэнергию от данного узла нагрузки. Формула (1) справедлива при выполнении двух условий: - интервал времени между появлениями КЗ в элементе сети и интервалы времени между отказами в срабатывании системы отключения защитного коммутационного аппарата не противоречат экспоненциальной функции распределения вероятностей с параметрами соответственно
и
; - должно выполняться неравенство
. В том случае, если второе условие не соблюдается на кафедре электроснабжения промышленных предприятий и городов Донецкого национального технического университета предложены математические модели в виде систем линейных дифференциальных уравнений, позволяющих прогнозировать вероятность появления цепочечных (каскадных) аварий практически любой глубины в энергосистемах и сетях промышленных предприятий. Там же разработаны принципы построения схем замещения для оценки сложных аварийных ситуаций, дана методика сбора и обработки необходимой для расчетов статистической информации.
При выводе формулы (1) приняты следующие допущения: - устройства релейной защиты могут выходить из строя только тогда, когда они находятся в режиме ожидания; - если к моменту возникновения повреждения в сети, на которое должна реагировать релейная защита, она находилась в работоспособном состоянии, то маловероятен ее выход из строя в режиме тревоги [18,19]; - отказы в схемах релейной защиты и приводе выключателя выявляются и устраняются только в результате абсолютно надежных профилактических проверок
; - под отказом в срабатывании защитного коммутационного аппарата будем понимать такой, который приводит к отказу в отключении поврежденного элемента сети при КЗ в зоне действия его релейной защиты [20]. В том случае, если сроки профилактики систем отключения всех защитных коммутационных аппаратов рассматриваемой системы будут одинаковы (т.е.
), тогда формула (1) примет вид
Характеристики
Тип файла документ
Документы такого типа открываются такими программами, как Microsoft Office Word на компьютерах Windows, Apple Pages на компьютерах Mac, Open Office - бесплатная альтернатива на различных платформах, в том числе Linux. Наиболее простым и современным решением будут Google документы, так как открываются онлайн без скачивания прямо в браузере на любой платформе. Существуют российские качественные аналоги, например от Яндекса.
Будьте внимательны на мобильных устройствах, так как там используются упрощённый функционал даже в официальном приложении от Microsoft, поэтому для просмотра скачивайте PDF-версию. А если нужно редактировать файл, то используйте оригинальный файл.
Файлы такого типа обычно разбиты на страницы, а текст может быть форматированным (жирный, курсив, выбор шрифта, таблицы и т.п.), а также в него можно добавлять изображения. Формат идеально подходит для рефератов, докладов и РПЗ курсовых проектов, которые необходимо распечатать. Кстати перед печатью также сохраняйте файл в PDF, так как принтер может начудить со шрифтами.















