122948 (689300), страница 3
Текст из файла (страница 3)
Сходный процесс описан Г. Гравии. Этот процесс включает смешивание катализатора с порошкообразным карбонатом натрия, добавление воды и повторное перемешивание для того, чтобы частицы катализатора абсорбировали воду. Затем смесь нагревают для превращения присутствующего молибдена в молибдат натрия, обрабатывают при комнатной температуре углекислым газом, добавляют горячую воду для растворения молибдата натрия, нейтрализуют азотной кислотой и осаждением выделяют молибденовую кислоту высокой чистоты, которая может быть использована для производства соединений молибдена и для выделения чистого металла.
3.4 Молибден из отходов процесса производства вольфрамовых ламп накаливания
При производстве вольфрамовых нитей накала, в особенности спиральных и биспиральных, для получения первой спирали очень тонкую вольфрамовую нить наматывают на маленький молибденовый сердечник. Вольфрамовую спираль и молибденовый сердечник затем наматывают на второй сердечник таким образом, что получается двойная вольфрамовая спираль. Ее снимают со второго сердечника, а первый молибденовый сердечник остается внутри витков маленькой вольфрамовой спирали. После срезания до требуемых размеров спираль погружают в смесь серной и азотной кислот, в которой происходит растворение молибденового сердечника, который таким образом удаляется из вольфрамовой спирали.
Получаемая спираль используется в лампах накаливания. При изготовлении односпиральных нитей накаливания также используются молибденовые сердечники.
Для растворения можно использовать смесь серной и азотной кислот различного состава. Хорошие результаты достигаются со смесью 13 н. серной кислоты и 7 н.
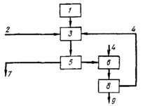
Схема процесса выделения молибдена из отработанных кислых растворов, образующихся при производстве вольфрамовых нитей накаливания: 1 - раствор 40-75 г/л молибдена в 15 н. кислоте; 2 - аммиак; 3 - установка рН = 2-i - 3 н перемешивание в течение 10 ч при температуре 70-80 °С; 4 - промывная вода; 5 - декантирование; 6 - промывка; 7 - маточный раствор; 8 - фильтр; 9 - высокочистый продукт азотной кислоты.
При растворении в кислоте достаточно большого количества молибдена (~40-75 г/л) скорость растворения молибдена значительно снижается и раствор кислот рассматривается как отработанный. До последнего времени не существовало экономичного процесса выделения молибдена из этого раствора и поэтому он, после соответствующей обработки, направляется в сток.
Процесс для выделения молибдена разработан А.Д. Кулькарни (Этот процесс, схема которого представлена на рис.2, предусматривает выделение молибдена из отработанных растворов серной и азотной кислоты путем добавления гидрооксида аммония до установления величины рН раствора 1,5-3, предпочтительно 2-3.
Затем раствор перемешивают, одновременно нагревая до температуры не превышающей 95 °С до тех пор, пока практически весь растворенный молибден не выпадает в виде осадка комплекса молибдата аммония. После этого осадок отделяют от раствора.
Список использованной литературы
-
Ахметов Н.С. "Общая и неорганическая химия" М.: Высшая школа, 2001.
-
Берт Р.О. "Технология гравитационного обогащения" М.: Недра, 1990.
-
Бусев А.И. Аналитическая химия молибдена. М.: Издательство АН СССР, 1962, - 300с.
-
Васильев В.П. Аналитическая химия. В 2 кн. Кн.2. Физико-химические методы анализа: Учеб. для студ. вузов, обучающихся по химико-технологическим специальностям - 2-е изд., перераб. и доп. - М.: Дрофа, 2002. - 384 с.
-
Глинка Н.Л. Общая химия. - Л.: Химия, 1988. - 702 с.
-
Гороновский И.Т., Назаренко Ю.П., Некряч Е.Ф. Краткий справочник по химии К.: Издательство АН СССР, 1962, 658 с.
-
Жарский И.М., Новиков И.Г. Физические методы исследования в неорганической химии. М.: Высшая школа, 1988, 271 с.
-
Зеликман А.Н., Коршунов Б.Г. Металлургия редких металлов М.: Металлургия, 1991.
-
Карякин Ю.В., Ангелов И.И. "Чистые химические вещества" М. 1974.
-
Крешков А.П., Ярославцев А.А. Курс аналитической химии. - М.: Химия, 1964. - 430 с.
-
Меркин Э.Н. "Экстракция металлов некоторыми органическими катионообменными реагентами" М., 1968.
-
Некрасов Б.В. "Основы общей химии" т.1 М.: Химия 1973.
-
Ритчи Г.М., Эшбрук А.В. Экстракция: принципы и применение в металлургии. Пер. с англ. М.: Металлургия, 1983.
-
Рысс М.А. "Производство ферросплавов" М.: Металлургия, 1985.
-
Скуг Д., Уэст Д. Основы аналитической химии. В 2 т. Пер с англ. М.: Мир, 1979, - 438 с.
-
Справочник химика. В 3-х т. М.: Химия, 1966, 1070 с.
-
Степин Б.Д., Горштейн И.Г., Блюм Г.З., Курдюмов Г.М., Оглоблина И.П. "Методы получения особо чистых неорганических веществ" Л.: Химия, 1969.
-
Фигуровский Н.А. "История химии" М.: Просвещение 1979.
-
Физическая химия. Практическое и теоретическое руководство. Под ред. Б.П. Никольского, Л.: Химия, 1987. - 875 с.
-
Химия и технология редких и рассеянных элементов. Под ред. Большакова К.А.Ч. ІІІ. М.: Высшая школа, 1976, 320 с.
-
Химия: Справочное издание/ под ред.В. Шретер, К. - Х, Лаутеншлегер, Х. Бибрак и др.: Пер. с нем. - М.: Химия, 1989. - 648 с.
-
Химическая энциклопедия в 5 т. / под ред. И.Л. Кнунянца. - М.: Советская энциклопедия, 1990.
-
Ягодин Г.А., Синегрибова О.А., Чекмарев А.М. "Технология редких металлов в атомной технике" М.: Атомиздат, 197















