122930 (689296), страница 4
Текст из файла (страница 4)
Для упрощения перехода к следующим этапам расчета двигателя, дополнительно определяются КПД и параметры на входе для каждого каскада компрессора.
Формирование облика двигателя на ЭВМ, представлено в таблице 2.1
2.2 Результаты расчёта и формирование облика двигателя
Формирование облика (проточной части) ГТД является одним из наиболее важных начальных этапов проектирования ГТД, непосредственно следующим за выполнением теплового расчета и предшествующим газодинамическим расчетам элементов проточной части (каскадов компрессоров и турбин). При выполнении расчетов по формированию облика ГТД определяются: форма проточной части, частоты вращения роторов и число ступеней каскадов лопаточных машин.
Формирование облика ГГ и ТC ГТД-2-1 (КВД - ОК или ОЦК)
Таблица 2.1 Исходные данные:
Таблица 2.2 Результаты pасчета:
Рисунок 2.1 - Схема проточной части двигателя
На данном этапе проектирования сформирован облик двигателя.
Компрессор низкого давления, средненагруженный (
= 0,2475), состоит из пяти ступеней и имеет значение коэффициента полезного действия
*=0,865. Относительный диаметр втулки
, что не превышает допустимый (
) для первых ступеней КНД ТВВД. Окружная скорость первой ступени
находится в допустимых пределах
Осевая часть компрессора высокого давления, средненагруженная (
=0,2338), состоит из двух ступеней и имеет значение коэффициента полезного действия
*=0,87. Относительный диаметр втулки
, что не превышает допустимый (
) для первых ступеней КВД. Окружная скорость первой ступени
находится в допустимых пределах
Центробежная ступень компрессора высокого давления средненагруженная (
=0,6034), и имеет КПД
*=0,859.
Турбина высокого давления, одноступенчатая, средненагруженная (Mz=1,58) и имеет значение коэффициента полезного действия
*=0,871, обеспечивается условие (h/D) г=0,0715>0,065.
Турбина низкого давления, одноступенчатая, средненагруженная (Mz=1,569) и имеет значение коэффициента полезного действия
*=0,8835.
Турбина винтовентилятора, четырехступенчатая, средненагруженная (Mz=1,6), имеет значение коэффициента полезного действия
=0,91, обеспечивается условие (h/D) т=0,3279<0,33.
3. Газодинамический расчёт многоступенчатого осевого компрессора
3.1 Расчёт компрессора на ЭВМ
При проектировании газотурбинных двигателей особое место выделяется проектированию компрессора. Именно компрессор является узлом, в зависимости от параметров которого проектируется и камера сгорания, и турбина. Основную часть длины двигателя часто составляет именно компрессор. Это говорит о большом влиянии компрессора на общие габаритные размеры двигателя, а, значит, и на его массу.
Основной частью газодинамического расчета осевого компрессора является окончательное получение геометрических размеров и количества ступеней при сохранении π*к. Необходимо эффективно распределить π*к, работу и КПД между ступенями компрессора.
Газодинамический расчет осевого компрессора представляет собой последовательный расчет всех его ступеней на среднем радиусе, в предположении равенства параметров на среднем радиусе и постоянства параметров потока, осредненных по ступени.
Изменение коэффициента затраченного напора
по ступеням принимаем таким, чтобы наиболее загруженные были средние ступени, а ко входу и выходу из компрессора значение
уменьшалось. Первые ступени имеют большое значение удлинения лопатки h/b, работают в ухудшенных условиях (возможная неравномерность поля скоростей, температур и давлений) на входе в компрессор. На последних ступенях в значительной степени на КПД ступени влияет величина относительных радиальных зазоров, что при малой высоте лопаток ступени существенно снижает КПД из-за перетекания рабочего тела через радиальный зазор.
Распределение остальных параметров выполнено в соответствии с рекомендациями, изложенными в [3].
Расходная составляющая скорости уменьшается от входа к выходу для уменьшения концевых потерь в последних ступенях и для того, чтобы иметь умеренные скорости на входе в камеру сгорания. Во избежание падения КПД снижение Са в пределах ступени не должно превышать 10…15м/с [3].
При выборе характера изменения к вдоль проточной части компрессора необходимо учитывать, что рост температуры потока (а следовательно, и увеличение скорости звука) позволяет выполнить ступени с более высокими степенями реактивности.
Газодинамический расчет компрессора выполнен при помощи программы gdrok. exe. Программа gdrok предназначена для газодинамического расчета многоступенчатого осевого компрессора на среднем радиусе. Исходные данные расчета заносятся в файл gdrok. dat, а результаты, получаемые с помощью исполняемого файла gdrok. exe - в файл gdrok. rez. Программа gdrok имеет и программу графического сопровождения gfk. exe, файл исходных данных которой gfk. dat формируется при работе файла gdrok. exe. Использование файла gfk. exe при выполнении расчетов обеспечивает возможность наглядного графического контроля как исходного распределения параметров по ступеням так и получаемых результатов расчета (формы проточной части компрессора, изменения параметров потока по ступеням и треугольников скоростей ступеней на среднегеометрическом радиусе).
Исходные данные к программе GDROK можно представить в виде массива:
где
расход воздуха на входе в компрессор,
- заторможенная температура, К;
- полное давление, Па;
- физические константы рабочего тела;
общая степень повышения полного давления в компрессоре внутреннего контура;
степень повышения полного давления в компрессоре низкого давления;
окружная скорость на наружном диаметре рабочего колеса первой ступени компрессора низкого давления,
;
окружная скорость на наружном диаметре рабочего колеса первой ступени компрессора высокого давления,
;
расходная составляющая скорости потока на выходе из компрессора,
;
число ступеней КНД и суммарное число ступеней в компрессоре соответственно;
относительный диаметр втулки на входе в рабочее колесо первой ступени КНД;
коэффициент в уравнении расхода, учитывающий загромождение проходного сечения канала пограничным слоем на стенках;
коэффициент восстановления полного давления в направляющем аппарате ступени, во входном направляющем аппарате компрессора;
коэффициент восстановления полного давления в переходном канале между КНД и КВД;
- расходная составляющая скорости на входе в ступень,
;
затраченный напор ступени,
;
изоэнтропический КПД ступени по параметрам заторможенного потока;
- кинематическая степень реактивности ступени;
- угол атаки на рабочие лопатки ступени на среднем радиусе, град;
отношение среднего диаметра первой ступени компрессора высокого давления к среднему диаметру последней ступени КНД;
Часть исходных данных получена в результате выполнения термогазодинамического расчета и согласования компрессоров и турбин.
Результаты расчета, полученные при вводе рассмотренных выше параметров в файл исходных данных программы GDROK, представлены в таблице 3.1
Таблица 3.1 Исходные данные
Таблица 3.2 Результаты расчета компрессора
Ниже представлены графики распределения
и
(рисунок 3.1);
и
(рисунок 3.2);
,
,
,
,
(рисунок 3.3), построенные по значениям из таблицы 3.2
Рисунок 3.1 Распределение
и
по ступеням КНД и КВД
Рисунок 3.2 Распределение
и
по ступеням КНД и КВД
Рисунок 3.3 Распределение
,
,
,
,
по ступеням КНД и КВД
Анализируя полученные графики распределения затраченного напора, по ступеням видим, что оно соответствует рациональной загрузке ступеней. При распределении работ по ступеням компрессора учтены особенности условий работы первых и последних ступеней компрессора.
Рисунок 3.4 Схема проточной части КНД и КВД
На рисунках 3.5-3.11 представлены планы скоростей компрессора для 7-ми ступеней.
Рисунок 3.5 План скоростей компрессора для ступени №1на среднем радиусе
Рисунок 3.6 План скоростей компрессора для ступени №2на среднем радиусе
Рисунок 3.7 План скоростей компрессора для ступени №3на среднем радиусе
Рисунок 3.8 План скоростей компрессора для ступени №4на среднем радиусе
Рисунок 3.9 План скоростей компрессора для ступени №5на среднем радиусе
Рисунок 3.10 План скоростей компрессора для ступени №6на среднем радиусе
Рисунок 3.11 План скоростей компрессора для ступени №7на среднем радиусе
3.2 Газодинамический расчет центробежной части компрессора
Широкое применение компрессоров с центробежными ступенями обусловлено возможностью реализации в таких ступенях достаточно больших степеней повышения давления при достигнутом, сравнительно высоком уровне совершенства сжатия. Центробежный компрессор имеет незначительные осевые размеры, долговечен в работе, прост в изготовлении и эксплуатации.
Несмотря на недостаток - относительно большие диаметральные размеры, в последнее время рассматривается и проводится внедрение применение центробежных ступеней малоразмерных двигателях.
Реальное течение в ЦБК весьма сложное, трехмерное. Нестационарное движение и полный его анализ связан с решением многих трудных проблем. Полому в данном проекте воспользуемся стационарным одномерным подходом, согласно которому параметры потока усреднены по времени и одинаковы на окружности в характерных поперечных сечениях.
Исходными данными для приведенных ниже расчетов частично являются результаты, полученные при выполнении термогазодинамического расчета двигателя, согласовании параметров компрессора и турбины и газодинамического расчета осевой части компрессора, определяющего параметры на входе в ступень.
Расчет центробежной ступени компрессора выполняется с помощью программы СВК. ЕХЕ [4].
В таблице 3.3 приведены результаты расчета ступени ЦБК на ЭВМ. На рис 3.12 показана схема центробежной ступени компрессора и распределение параметров потока. Треугольники скоростей на входе и выходе из ЦБК показаны на рис 3.13.
Таблица 3.3 Расчета ступени ЦБК на ЭВМ
Рисунок 3.12 Проточная часть и параметры центробежной ступени
Рисунок 3.13 треугольники скоростей центробежной ступени
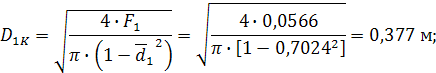
3.3 Расчет первой ступени компрессора высокого давления на инженерном калькуляторе
Газодинамический расчет ступени на среднем диаметре выполняется при определенных упрощающих допущениях: С2а=С1а=Са и U2cp=U1cp=Ucp.
Исходные данные:
Gв=30,03 кг/с; πст*= 1,250; kH = 0,928;
ТВ*=463,5 К; С1а= 180 м/с; kG = 1,031;
РВ*=449335 Па; ηст*= 0,885; k = 1,38;
= 0,7024; σВНА= 0,99; R= 287Дж/кг·К;
UК= 395 м/с; σНА= 0,985; Ср= 1004,5 Дж/кг·К.
НZ= 34650 Дж/кг; М W1 доп= 0,8; m=0,04042 (Дж/кг·К) - 0,5.
Параметры заторможенного потока воздуха на входе в РК:
Т1*=ТВ*=463,5 К;
P1*= PВ*· σВНА= 453873 ·0,99 = 449335Па.
Параметры заторможенного потока на выходе из первой ступени:
Окружная скорость на среднем диаметре и коэффициент теоретического напора:
Выбор кинематической степени реактивности:
Принимаем ρ = 0,62. Скорость и направление потока на входе в РК:
Находим газодинамические функции по формулам для воздуха:
Площадь проходного сечения и геометрические размеры входа в РК:
Действительные параметры потока на входе в РК, скорость и направление в относительном движении:
Параметры потока воздуха на выходе из РК:
Частота вращения ротора компрессора:
В результате газодинамического расчета компрессора на ЭВМ получены геометрические параметры проточной части компрессора
,
,
,
,
на среднем радиусе каждой ступени, а также работа и степень повышения давления каждой ступени.
Из результата расчета видно, что полученный осевой компрессор обеспечивает заданный πк* и имеет современный уровень КПД.
Компрессор низкого давления, средненагруженный (
= 0,2475), состоит из пяти ступеней и имеет значение коэффициента полезного действия
*=0,8671. Относительный диаметр втулки
, что не превышает допустимый (
) для первых ступеней КНД ТВВД. Окружная скорость первой ступени
находится в допустимых пределах
Осевая часть компрессора высокого давления, средненагруженная (
=0,2338), состоит из двух ступеней и имеет значение коэффициента полезного действия
*=0,8764. Относительный диаметр втулки
, что не превышает допустимый (
) для первых ступеней КВД. Окружная скорость первой ступени
находится в допустимых пределах
Угол
на всех ступенях компрессора, что не приводит к снижению КПД ступени.
на всех осевых ступенях, что не способствует увеличению потерь в решетках ступеней. Загруженность ступеней КНД максимальная на средних ступенях и уменьшается на крайних. Центробежная ступень компрессора высокого давления средненагруженная (
=0,6034), и имеет КПД
*=0,8523. Компрессор отвечает всем требованиям, предъявляемым к современным авиационным компрессорам.
4. Профилирование ступени компрессора
Расчет производим для первой ступени КВД. В таблице 4.1 представлены основные исходные данные к расчетам; таблице 4.2 - расчет при использовании закона закрутки:
.
Выбранный закон крутки обеспечивает значительно менее интенсивный рост M1W по радиусу, чем закон постоянной циркуляции.
Таблица 4.1 - Исходные данные
Таблица 4.2 - Результаты расчета
Таблица 4.3
Профилирование лопатки РК по радиусу
Рисунок 4.1 Решетка профилей на радиусе r =0,985
Рисунок 4.2 Решетка профилей на радиусе r =0,904
Рисунок 4.3 Решетка профилей на радиусе r =0,832
Рисунок 4.4 Решетка профилей на радиусе r =0,762
Рисунок 4.5 Решетка профилей на радиусе r =0,692
Полученные результаты и построенная решетка профилей первой ступени компрессора высокого давления удовлетворяет требованиям и сможет обеспечить требуемые параметры.
5. Газодинамический расчет турбины
5.1 Газодинамический расчет турбины на ЭВМ
Расчет и графическое представление результатов расчета проводятся на ЭВМ с помощью подпрограмм GDRGT и GFT.
В качестве исходных данных для расчета используются значения параметров, полученные в тепловом расчете и при формировании облика двигателя. Остальные параметры выбираются.
Для расчета необходимы такие исходные данные:
- расход газа,
.
температура за камерой сгорания, К.
- полное давление за камерой сгорания, Па.
- температура охлаждающего воздуха, К.
относительный радиальный зазор в горячем состоянии.
отношение скорости воздуха на выходе из отверстий к средней скорости газа в этом же сечении.
отношение средней скорости газа в сечении выпуска охлаждающего воздуха к скорости газа за решеткой.
- относительная высота щели выпуска охлаждающего воздуха.
относительная толщина выходной кромки лопатки.
относительная толщина выходной кромки охлаждаемой лопатки.
мощность каждой ступени турбины, Вт.
- частота вращения рабочего колеса ступени,
.
- термодинамическая степень реактивности каждой ступени.
- средний диаметр лопаток соплового аппарата на выходе,
.
- средний диаметр лопаток рабочего колеса на выходе,
.
- высота лопатки СА на выходе,
.
высота лопатки РК на выходе,
.
относительная толщина профиля лопатки СА на среднем диаметре.
относительная толщина профиля лопатки РК на среднем диаметре.
относительный расход охлаждающего воздуха через отверстия в области входной части профиля лопатки СА.
относительный расход воздуха через щели в области выходной кромки лопатки СА.
относительный расход воздуха через щели в области выходной кромки лопатки РК.
где
радиальный зазор в горячем состоянии.
для рабочих венцов с бандажными полками. Т.к. рабочие венцы всех РК имеют бандажные полки, то
.
. Принимаем равным 0,6.
. Принимаем равным 0,75.
где
высота щели;
высота перемычки,
. Принимаем
где
диаметр выходной кромки лопатки;
“горло" межлопаточного канала.
Принимаем
Принимаем
В процессе расчета на ЭВМ мощность ТВВ перераспределяем по ступеням так, чтобы получить значения угла потока в абсолютном движении на выходе из последней ступени
.
Частоты вращения определены при газодинамическом расчете компрессора:
Термодинамическая степень реактивности для первой ступени многоступенчатой турбины принята
.
Геометрические параметры (средние диаметры лопаток и их высоты) определяем по схеме двигателя, которая представлена (в уменьшенном формате) в разделе согласования компрессоров и турбин, а так же с учитываем форму проточной части прототипа.
Для неохлаждаемых лопаточных венцов:
Для охлаждаемых лопаточных венцов эти величины выбирают большими в зависимости от способа охлаждения и количества охлаждающего воздуха:
Относительный расход охлаждающего воздуха через отверстия в области входной части профиля лопатки СА, через щели в области выходной кромки лопатки СА и РК корректируем в зависимости от температур лопаток СА и РК.
Находим исходные данные для расчета турбины:
Расчет массового расхода газа через турбину:
где
;
Для уменьшения количества воздуха отбираемого на охлаждение лопаток турбины, он предварительно охлаждается, и таким образом количество охлаждающего воздуха уменьшается в 2 раза.
Расчет мощностей ступеней турбин:
Так как турбина вентилятора имеет четыре ступени то:
Таблица 5.1 Исходные данные
Таблица 5.2 Результаты расчета
В результате газодинамического расчета на ЭВМ получены параметры, которые соответствуют требованиям, предъявляемым при проектировании осевой турбины. Спроектированная турбина на расчетном режиме работы обеспечивает допустимые углы натекания потока на рабочее колесо первой ступени
град, приемлемый угол выхода из последней ступени турбины
град. Характерное изменение основных параметров (
,
и
,
и
) вдоль проточной части соответствует типовому характеру для газовых осевых турбин. Степень реактивности ступеней турбины во втулочных сечениях имеет положительные значения.
Далее представлены графики изменения параметров по ступеням (
,
,
,
,
,
и
,
и
,
и
).
Рисунок 5.1 Распределение
,
,
,
и
по ступеням турбины.
Рисунок 5.2 Распределение
и
,
и
,
и
по ступеням турбины.
Рисунок 5.3 Схема проточной части турбины.
Рисунок 5.4 План скоростей турбины для ступени №1 на среднем радиусе
Рисунок 5.5 План скоростей турбины для ступени №2 на среднем радиусе
Рисунок 5.6 План скоростей турбины для ступени №3 на среднем радиусе
Рисунок 5.7 План скоростей турбины для ступени №4 на среднем радиусе
Рисунок 5.8 План скоростей турбины для ступени №5 на среднем радиусе
Рисунок 5.9 План скоростей турбины для ступени №5 на среднем радиусе
5.2 Газодинамический расчет турбины высокого давления на инженерном калькуляторе
Исходные данные:
Определение работы ступени турбины и проверка величины коэффициента нагрузки:
Параметры потока на выходе из ступени и изоэнтропической работы ступени:
По таблице газодинамических функций определяем
.
Параметры потока на выходе из СА:
Определение параметров потока на выходе из РК:
В первом приближении:
ступени корректируем соответствующим изменением h2 или принимаем
и выполняем следующее приближение:
Выводы
В результате термогазодинамического расчёта двигателя определились значения основных параметров потока в характерных сечениях проточной части, удельные параметры двигателя:
удельная эквивалентная мощность,
удельный расход топлива соответствует современному уровню параметров ТВВД.
На втором этапе проектирования был сформирован облик двигателя.
Компрессор низкого давления, средненагруженный (
= 0,2475), состоит из пяти ступеней и имеет значение коэффициента полезного действия
*=0,8671. Относительный диаметр втулки
, что не превышает допустимый (
) для первых ступеней КНД ТВВД. Окружная скорость первой ступени
находится в допустимых пределах
Осевая часть компрессора высокого давления, средненагруженная (
=0,2338), состоит из двух ступеней и имеет значение коэффициента полезного действия
*=0,8764. Относительный диаметр втулки
, что не превышает допустимый (
) для первых ступеней КВД. Окружная скорость первой ступени
находится в допустимых пределах
Угол
на всех ступенях компрессора, что не приводит к снижению КПД ступени.
на всех осевых ступенях, что не способствует увеличению потерь в решетках ступеней. Загруженность ступеней КНД максимальная на средних ступенях и уменьшается на крайних.
Центробежная ступень компрессора высокого давления средненагруженная (
=0,6034), и имеет КПД
*=0,8523.
Компрессор отвечает всем требованиям, предъявляемым к современным авиационным компрессорам.
Турбина высокого давления одноступенчатая, средненагруженная (Mz=1,58) и имеет значение коэффициента полезного действия
*=0,871, обеспечивается условие (h/D) г=0,0715>0,065.
Турбина низкого давления одноступенчатая, средненагруженная (Mz=1,569) и имеет значение коэффициента полезного действия
*=0,8835.
Турбина винтовентилятора четырехступенчатая, средненагруженная (Mz=1,6), имеет значение коэффициента полезного действия
=0,91, обеспечивается условие (h/D) т=0,3279<0,33.
В результате газодинамического расчета на ЭВМ получены параметры, которые соответствуют требованиям, предъявляемым при проектировании осевой турбины. Для уменьшения количества воздуха отбираемого на охлаждение лопаток турбины, он предварительно охлаждается, и таким образом количество охлаждающего воздуха уменьшается в 2 раза.
Спроектированная турбина на расчетном режиме работы обеспечивает допустимые углы натекания потока на рабочее колесо первой ступени
град, приемлемый угол выхода из последней ступени турбины
град. Характерное изменение основных параметров вдоль проточной части соответствует типовому характеру для газовых осевых турбин. Степень реактивности ступеней турбины во втулочных сечениях имеет положительные значения.
Перечень ссылок
1. Г.В. Павленко, Термогазодинамический расчет газотурбинных двигателей и установок: Учебное пособие. - Харьков: Харьк. авиац. Ин - т, 2007 г. - 64с.
2. А.Н. Анютин. Согласование компрессоров и турбин авиационного газотурбинного двигателя: Учебное пособие. - Харьков: Харьк. авиац. Ин - т, 1985 г.
3. Г.В. Павленко, Формирование облика ГТД и ГТУ: Учебное пособие. - Харьков: Нац. аэрокосмический университет "Харьковский авиационный институт", 2007. - 39с.
4. Г.В. Павленко, Газодинамический расчет осевого компрессора ГТД: Учебное пособие. - Харьков: Нац. аэрокосмический университет "Харьковский авиационный институт", 2002. - 57с.
5. В.А. Коваль, Газодинамический расчет ступени центробежного компрессора на ЭВМ: Учебное пособие - Харьков: Харьк. авиац. ин-т, 1988. - 55с.
6. Г.В. Павленко, Профилирование рабочей лопатки осевой ступени компрессора (Инструкция к использованию программ): Учебное пособие - Харьков: Харьк. авиац. ин-т, 1996. - 16с.
7. Г.В. Павленко, Газодинамический расчет осевой газовой турбины: Учебное пособие. - Харьков: Нац. аэрокосмический университет "Харьковский авиационный институт", 2006. - 62с.
0>0>














