122815 (689248), страница 2
Текст из файла (страница 2)
Рисунок 2.2 – Структурная схема управления плотностью бумажной массы
На этой схеме:
Gc(s)-регулятор.
Передаточная функция регулятора:
Предположим, что k=10, тогда:
G(s)-исполнительный механизм.
Передаточная функция исполнительного механизма:
Предположим, что H(s)=1;
2. Разработка модели системы в MatLab
Проанализировав функциональную схему системы, перейдем к структурной, модель которой построим в пакете Matlab:
Рисунок 3.1 – Структурная схема
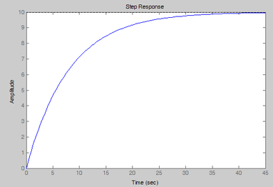
Рисунок 3.2 – Переходной процесс
3. Определение передаточной функции разомкнутой и замкнутой системы
Передаточная функция разомкнутой системы равна:
.
Передаточную функцию замкнутой системы можно получить при помощи передаточной функции разомкнутой системы:
Запишем характеристический полином системы (он равен знаменателю передаточной функции замкнутой системы):
D(s)=32·s2+12s+11.
4. Описание динамических характеристик звена системы
Передаточная функция элемента имеет вид:
.
4.1 Временные характеристики
4.1.1 Переходная характеристика
Переходная характеристика звена – это реакция звена на единичный скачок. Она находится по формуле:
,
где L- – оператор обратного преобразования Лапласа. Тогда
-
Рисунок 5.1 - Переходная характеристика элемента
4.1.2 Импульсная (весовая) характеристика
Импульсная (весовая) характеристика – это реакция звена на
-функцию Дирака.
-
Рисунок 5.2 - Импульсная характеристика элемента
-
4.2 Частотные характеристики
Представим передаточную функцию звена комплексной частотной передаточной функцией [3], заменив s на j:
Образ W3(j) на комплексной плоскости – это амплитудно-фазовая частотная характеристика (АФЧХ) звена.
-
Рисунок 5.3 - АФЧХ элемента
Строим ЛАЧХ.
20 lgK=20 lg10 =20;
Сопрягающая частота:
Рисунок 5.3 - График логарифмической амплитудно-частотной характеристики (ЛАЧХ)
5. Анализ устойчивости системы
Понятие устойчивости системы регулирования связано со способностью возвращаться в состояние равновесия после исчезновения внешних сил, которые вывели ее из этого состояния.
Для устойчивости линейной системы необходимо и достаточно, чтобы все корни лежали слева от мнимой оси плоскости корней. Если хотя бы один корень окажется справа от мнимой оси, то система будет неустойчивой. Таким образом, мнимая ось представляет собой граничную линию в плоскости корней, за которую не должны переходить корни характеристического уравнения. Вся левая полуплоскость представляет собой при этом область устойчивости.
Общее условие устойчивости говорит о том, что линейная непрерывная система будет устойчива, если вещественные части корней характеристического уравнения замкнутой системы будут отрицательны. Чтобы упростить задачу анализа устойчивости, в ТАУ используются критерии, которые позволяют судить об устойчивости системы, не рассчитывая корней характеристического уравнения.
5.1 Проверка устойчивости критерием Гурвица
Согласно критерию Гурвица, чтобы все корни характеристического полинома имели отрицательные вещественные части (т.е. система была устойчива), необходимо и достаточно, чтобы все определители Гурвица были больше нуля при положительном коэффициенте при старшей степени.
Рассчитаем устойчивость нашей системы критерием Гурвица :
При анализе по критерию Гурвица нам необходимо знать характеристический полином нашей системы.
Характеристический полином:
D(s) =
.
Для системы второго порядка: чтобы система была устойчива, необходимо и достаточно чтобы коефициенты характеристического уравнения были больше 0.
Все коефициенты оказались больше нуля, значит, наша система устойчива.
5.2 Проверка устойчивости критерием Михайлова
1 Формулировка критерия Михайлова: Чтобы характеристический полином не имел корней в правой полуплоскости необходимо и достаточно, чтобы полное приращение фазы
, при изменении частоты от 0 до
было равно
, где n – порядок систем .
2 Формулировка критерия Михайлова: Чтобы система была устойчива, необходимо и достаточно, чтобы при изменении частоты от 0 до ∞, годограф Михайлова должен последовательно проходить N – квадрантов и в N-том уходить в бесконечность.
3 Формулировка критерия Михайлова: Чтобы система была устойчива, необходимо и достаточно чередование нулей мнимой (сначала) и действительной части характеристического уравнения при изменении частоты
от 0 до
.
Рассчитаем устойчивость нашей системы методом Михайлова :
Запишем характеристический полином системы:
.
Перейдем к комплексным переменным :
Выделим действительную и мнимую части:
Чтобы система была устойчива за Михайловым, нужно чтобы частоты росли а нули чередовались, т.е. было истинно следующее выражение :
Как видим из данной записи, наша система устойчива.
5.3 Предельный коэффициент усиления
Предельный коэффициент усиления системы – эт`о такой коэффициент усиления, при котором система находиться на границе устойчивости – т.е. переходной процесс, характеризующий систему, имеет вид колебательной кривой.
Характеристический полином:
D(s) =
Чтобы система была устойчива, необходимо и достаточно, чтобы
-
Из этого следует, что система устойчива при любых k.
6. Анализ качества системы
Под качеством САУ понимают показатели качества переходного процесса и ошибку в установившемся состоянии. К показателям качества переходного процесса относятся:
- время установления tуст – это промежуток времени, за который переходной процесс впервые достигает установившегося значения;
- время регулирования tп.п (переходного процесса) – время, за которое переходная характеристика становится и остается по абсолютной величине меньше наперед заданной величины перерегулирования .
Рисунок 7.1 - График показателей качества
находим:
hmax=1,22; hуст=0.907; tуст=3,41; tпп=13,6;
Вычислим перерегулирование:
.
7. Вычисление установившейся ошибки
Точность САУ определяется видом входного воздействия, параметрами и структурой системы. Ошибку системы в установившемся режиме можно вычислить, используя передаточную функцию по ошибке.
.
Передаточная функция по ошибке:
.
Коэффициенты ошибок:
8. Методы повышения точности
К числу общих методов повышения точности систем автоматического регулирования относятся:
1) увеличение коэффициента разомкнутой системы;
Рисунок 9.1 – Схема системы с увеличенным коефициентом усиления разомкнутой системы.
Рисунок 9.2 – Ошибка системы после использования 1го метода повышения точности
.
Передаточная функция по ошибке:
.
2) включение в систему изодромного звена;
Рисунок 9.3 – Схема системы с использованием изодромного звена.
Рисунок 9.4 – Ошибка системы после использования 2го метода повышения точности
Передаточная функция изодромного звена имеет вид:
.
Передаточная функция по ошибке:
.
3) ПИД регулятор:
Рисунок 9.5 – Схема системы с использования ПИД регулятора
Рисунок 9.6 – Ошибка системы после использования 3го метода повышения точности
9. Синтез САУ с применением последовательного корректирующего звена
Задача синтеза последовательного корректирующего устройства (ПКУ) заключается в следующем. Имеется исходная система автоматического управления, структура и параметры элементов которой известны. Требуется определить передаточную функцию ПКУ, включение, которого в систему обеспечит получение нужных показателей качества: величины перерегулирования, времени регулирования, ошибки в установившемся режиме.
Алгоритм синтеза последовательного КУ
-
построение ЛАХ исходной разомкнутой системы;
-
построение желаемой ЛАЧХ по заданным показателям качества (время регулирования, запас устойчивости по амплитуде и фазе, степень астатизма, коэффициенты ошибок, коэффициент усиления);
-
определение передаточной функции корректирующего устройства:
На основании приведенного алгоритма синтезируем корректирующее устройство для приведенной выше системы.
Построение исходной ЛАЧХ
-
на частоте
откладываем значение
L=20*lgK=20*lg10=20
-
определяем частоты сопряжения
:
,
-
через точку
,
под наклоном 0 ДБ/декаду, так как в исходной системе нет астатизма (нет свободной s в знаменателе), проводим линию до пересечения с линией
; -
так как выражение
стоит в знаменателе, то дальше кривая пойдет под наклоном –20ДБ/декаду до пересечения с линией
; -
выражение
стоит в знаменателе, поэтому, начиная с частоты
и до
, кривая пойдет под наклоном –40ДБ/декаду.
Построение желаемой ЛАЧХ
Прежде, чем приступить к построению желаемой ЛАЧХ, необходимо задаться желаемыми показателями качества:
откладываем значение
,
;
стоит в знаменателе, то дальше кривая пойдет под наклоном –20ДБ/декаду до пересечения с линией
;
стоит в знаменателе, поэтому, начиная с частоты 














