83517 (688861), страница 4
Текст из файла (страница 4)
Разработаем модель сегментации потребителей услуг. Модель призвана показать, как разделить потребителей на сегменты и описать их отношение к фирме, ее конкурентам и «идеальной» фирме в каждом из них. Упорядоченная процедура формирования модели сегментации потребителей по их отношению к фирме могла бы выглядеть следующим образом.
Первый шаг – сегментация по социально-демографическим признакам, таким как пол, возраст, доход. Причем уровень дохода в условиях имущественного расслоения общества служит наиболее выразительным признаком, формирующим потребительское поведение. Основные социально-демографические характеристики (пол, возраст, доход), условно отображенные в трехмерном пространстве, позволяют наглядно представить результаты анкетного опроса (рис. 4).
Рис. 4. Социально-демографические признаки потребителей фирмы
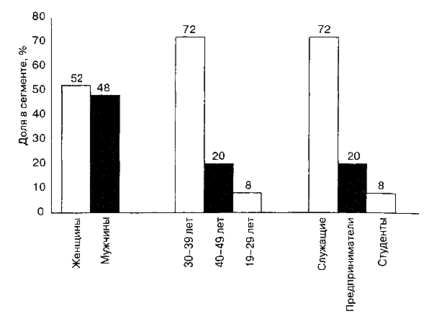
Определить упорядоченность выделенных признаков, а также найти устойчивые связи для выявления самых представительных групп потребителей позволяет кросстабуляция данных анкетного опроса. Анализ соответствующих кросстабов показал, что базовую выборку можно разделить на три сегмента, используя в качестве основания типологии такой признак, как уровень дохода. Тогда можно убедиться, что среди клиентов фирмы наиболее многочисленным является сегмент I – респонденты с уровнем дохода от 1000 тыс. руб., составляющие 75,6% общего объема выборки. В сегменте преобладали женщины (57,8%) 30–39 лет (70%), род занятий которых – предпринимательская деятельность. Мужчин в данной группе было 42,2%; их возраст чаще всего 30–39 лет (66%); род занятий – предпринимательская деятельность (рис. 5).
Рис. 5. Сегмент I: группа потребителей с уровнем дохода от 1000 тыс. руб.
Следует обратить внимание, что соотношение мужчин и женщин в этом сегменте практически такое же, как и в выборке в целом.
Сегмент II составили потребители с доходом 800–1000 тыс. руб. (21% общего объема выборки). Здесь женщин оказалось чуть меньше – 52%, а их возраст составил 30–39 лет (72%), род занятий – служащие (72%) и предприниматели (20%) (рис. 6).
Рис. 6. Сегмент II
Сегмент III состоял из потребителей с доходом 600–800 тыс. руб. (3,4% общего объема выборки). Это самая малочисленная группа клиентов фирмы, однако, они также регулярно пользовались ее услугами. Она полностью состояла из женщин, возраст которых поровну распределился между двумя возрастными группами – 19–29 лет и 29–39 лет (50%), по роду занятий являющихся студентками и служащими.
Второй шаг – определение различий в значимости для потребителей различных характеристик деятельности фирмы (здесь их можно назвать факторами маркетинга). Для выявления таких различий в выделенных сегментах осуществлялась перекрестная группировка.
Для потребителей сегмента I и сегмента II самым значимым фактором было предоставление качественных услуг с соблюдением сроков и компетентность обслуживающего персонала. Фактором средней значимости – получение морального удовлетворения от совершенной покупки. Наименее важным оказался фактор рекламы.
Для сегмента III (с самым низким доходом) одинаково важными выступали факторы качества услуг при соблюдении сроков, компетентность обслуживающего персонала, удовлетворение от покупки. Наименьшим оказалось значение фактора рекламы.
Третий шаг – выявление различий во мнениях, типовых для каждого сегмента, относительно отдельных аспектов деятельности фирмы, ее конкурентов и «идеальной» фирмы. С этой целью был проведен совместный анализ социально-демографических признаков и мнений потребителей о факторах маркетинга перечисленных фирм с учетом их важности для потребителей.
В представлениях потребителей сегмента I фирма «Смоктрэвэл» соответствовала идеалу по следующим главным показателям. Соблюдение фирмой сроков и удовлетворение от покупки были выше желаемого уровня. Качество услуг также, по мнению, клиентов, оставалось близким к идеалу, однако компетентность персонала не вполне соответствовала их представлениям об идеале. По менее важным показателям (цена, опыт работы) деятельность фирмы «Смоктрэвэл», как считали клиенты, также была близка к идеалу. Широта спектра услуг здесь, по мнению представителей сегмента I, даже превзошла их ожидания. Фирма соответствовала идеалу по рекламе, в то же время отставая от него по скидкам и внутренней атмосфере.
Реальные оценки конкурирующих туристических фирм с точки зрения ее временных клиентов из сегмента I выборки, сильно отличались в худшую сторону от большинства оценок фирмы «Смоктрэвэл». Поэтому клиенты данных фирм не становились постоянными клиентами этих фирм. В то же время важно, что, по мнению представителей данного сегмента, конкуренты были достаточно близки к идеалу по факторам цены и соблюдения сроков.
Для клиентов из сегмента II соответствие идеалу было отмечено лишь по одному важному показателю – соблюдению сроков. По остальным, менее важным показателям соответствие идеалу наблюдалось по широте услуг. Для этого сегмента фирма оказалась близка к идеалу по показателям: получение удовлетворения от покупки, реклама, цена. Далеко не соответствовали представлениям клиентов об идеале предоставляемые фирмой скидки. Превосходство ожиданий потребителей наблюдалось по факторам внутренней атмосферы и опыта работы.
В сегменте III идеалу соответствовал такой важный показатель, как удовлетворенность покупкой. Этот показатель для клиентов фирмы оказался важнее, чем сроки и качество услуг. Однако по такому важному показателю, как компетентность обслуживающего персонала, деятельность фирмы не соответствовала представлениям об идеал клиентов сегмента III. По менее важным показателям – широте у луг, рекламе, опыту работы, внутренней атмосфере, бонусам – их мнения о работе фирмы «Смоктрэвэл» скорее соответствовали идеалу. Не соответствовала идеалу цена туров, которая, по представлению клиентов была довольно высокой.
Четвертый шаг – выявление различий в чувствах, испытываемых потребителями выделенных сегментов при их обращении к фирме. Перекрестная группировка указанных признаков позволила сделать следующие основные выводы.
Нервное возбуждение при обращении в фирму отметили для себя 100% клиентов самого многочисленного сегмента I. Подавляющее большинство из них указали, что часто испытывают такие чувства, как радость (92,2%) и удовлетворение (83,3%); позицию «никогда» по этим эмоциям не отметил ни один из респондентов. Ни один из представителей сегмента не указал на возникновение ощущения раздражения (все отметили позицию «никогда»). Лишь каждый десятый (11,1%) отметил, что иногда испытывает раздражение.
Оценка клиентами фирмы «Смоктрэвэл» своего эмоционального состояния при обращении в фирму показывает, что не менее лояльно относятся к ней представители сегмента П.
В сегменте III среди клиентов наблюдалось редкое единодушие (возможно, в связи с его малочисленностью) в оценке своих эмоций при обращении в фирму. Так, все респонденты отметили, что, посещая фирму «Смоктрэвэл», они часто переживают радость и удовлетворение, и никогда – раздражение и сожаление. Точно гак же все они отметили, что иногда испытывают эмоциональный подъем. Возможно, в определенной степени это объясняется их отношением к компетентности персонала и качеству услуг. Негативных ощущений клиенты не испытывали, возможно, считая, что фирма соответствует идеалу. Этим п объяснялся оптимизм, характерный для представителей сегмента.
Таким образом, можно утверждать, что основная масса клиентов была вполне расположена к фирме «Смоктрэвэл». Это были лояльные потребители, ни разу не испытавшие сожаления, а большинство – и раздражения – но отношению к фирме, а потому и не искавшие альтернативных услуг.
Пятый шаг – определение различий в намерениях потребителей выделенных сегментов совершить покупку в ближайшем будущем. Данные свидетельствуют, что в наибольшей степени такое намерение проявляют потенциальные клиенты из числа представителей: сегмента I (таблица 6). Для фирмы это, вероятно, особенно важно, поскольку сегмент I характеризуется самым высоким доходом.
Таблица 6. Намерения совершения покупки по сегментам
| Намерения | Численность потребиiелей в сегменте, % | Выборка в целом, % | |||
| Сегмент I | Сегмент II | Сегмент Ш | |||
| Собираются совершить покупку в фирме | 90 | 80 | 100 | 88,2 | |
| Не собираются совершать покупку в фирме | 10 | 20 | - | 11,8 | |
Сведя результаты многомерной классификации (но нескольким признакам) потребителей услуг фирмы «Смоктрэвэл» воедино, можно утверждать, что сегменты I и II не имеют между собой значимых различий и их можно объединить (таблица 7).
Таблица 7. Различия отношения потребителей к фирме в сегментах, выделенных по уровню дохода
| Признаки, характеризующие отношение клиентов к фирме | Сегменты, выделенные по уровню доходов | ||
| Сегмент I | Сегмент II | Сегмент III | |
| Значение факторов маркетинга: от 0 – высокое до 6 – низкое | |||
| Качество услуг с соблюдением сроков | 1 | 1 | 1 |
| Обслуживающий персонал | 2 | 2 | 2 |
| Удовлетворение от покупки | 3 | 3 | 3 |
| Реклама | 4 | 4 | 5 |
| Атмосфера | 5 | 6 | 6 |
| Цена услуг | 6 | 5 | 4 |
| Мнение потребителей о фирме: ++ превосходит ожидания; + соответствует идеалу; – не соответствует идеалу | |||
| Обслуживающий персонал | - | - | - |
| Цена услуг | + | + | - |
| Скидки | - | - | + |
| Соблюдение сроков | + | + | ++ |
| Качество услуг | ++ | ++ | ++ |
| Внутренняя атмосфера | + | + | + |
| Реклама | + | + | + |
| Спектр услуг | + | + | + |
| Частота испытываемых эмоций: – никогда; + иногда; ++ часто | |||
| Сожаление | - | - | - |
| Раздражение | + | + | - |
| Удовлетворение | ++ | ++ | ++ |
| Радость | ++ | ++ | ++ |
| Неудовлетворенность | + | + | ++ |
| Намерения совершить покупку в ближайшем будущем (% численности сегмента) | |||
| Собираются совершить | 90 | 80 | 100 |
| Не собираются совершить | 10 | 20 | - |
В результате исследования отношения к фирме потребителей, обладающих различными социально-демографическими характеристиками, были выделены различные сегменты и описаны их профили (таблица 8).















