80997 (687928), страница 5
Текст из файла (страница 5)
еженедельно; 1 раз в 2 недели; 1 раз в месяц;
1 раз в два месяца; Ваш вариант.
III) Чаще всего Вы покупаете моющее средство объемом в …
0,5 л.; 1 л.; 1,5 л.; 2 л.; 2,5 л.
IV) Вы пользуетесь моющими средствами …
жидкими; сухими.
V) Что на Ваш взгляд самое главное в моющем средстве?
способность легко расщеплять жир; не сушит кожу рук;
низкая цена; состоит из экологически чистых компонентов;
Ваш вариант.
VI) Что влияет на Ваш выбор моющего средства?
рекомендации знакомых и родственников; понравилась реклама;
привлекательная упаковка; беру то, что и все; Ваш вариант.
VII) Что для Вас предпочтительнее?
покупать более дорогое, но экономичное в расходовании средство;
покупать дешевое, но быстро расходующееся.
Задание №8
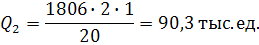
Маркетолог фирмы по данным таблицы 1 должен выбрать один из сегментов по критерию максимума размера сбыта.
Таблица 1 – Информация о сегментах рынка.
| Характеристика сегмента | Сегменты | ||
| 1 | 2 | 3 | |
| Размер рынка, тыс. ед. | 1006 | 1806 | 1306 |
| Интенсивность потребления на одного потребителя | 3 | 1 | 1 |
| Доля рынка | 1/30 | 1/20 | 1/10 |
Примечание. Ожидаемый объем сбыта рассчитывается по формуле:
Объем сбыта = (размер рынка) × (интенсивность потребления) × (доля рынка)
Решение
Ожидаемый объем сбыта 1-го сегмента рынка:
Ожидаемый объем сбыта 2-го сегмента рынка:
Ожидаемый объем сбыта 3-го сегмента рынка:
Ожидается, что максимальный объем сбыта будет в третьем сегменте рынка, поэтому маркетологу рекомендуется выбрать именно его.
Задание №34
В результате маркетинговых исследований предполагается увеличение доли рынка фирмы с 14% до 18%, при его емкости в 52 млн. шт. продукта.
Рассчитать дополнительную прибыль фирмы в предстоящем году, если прибыль на одно изделие составляет 1406 грн., а емкость рынка не изменяется. Затраты на маркетинговые усилия в расчете на год составляют 65 млн. грн.
Решение
Прибыль предприятия в текущем году:
Прибыль предприятия в следующем году:
Дополнительная прибыль, которую получит предприятие в следующем году:
Задание №11
Оцените потребительскую привлекательность продукта по Вашему выбору (обувь «Монарх», йогурт «Заречье» или тетради «Школярик») по десятибалльной шкале исходя из следующих критериев:
а) назначение (функциональность, многофункциональность) и степень полезности товара;
б) качество материала, из которого изготовлен продукт (натуральный продукт, заменитель и т.д.);
в) эстетичность и дизайн продукта;
г) соответствие моде, престижность;
д) удобство в использовании и уходе (хранении);
е) соответствие цены качеству товара, доступность цен.
Решение
Таблица 2 – Оценка товаров
| критерий | обувь «Монарх» | йогурт «Заречье» | тетради «Школярик» |
| а) | 8 | 9 | 8 |
| б) | 9 | 8 | 8 |
| в) | 9 | 9 | 9 |
| г) | 10 | 9 | 8 |
| д) | 9 | 8 | 8 |
| е) | 8 | 8 | 9 |
Задание №19
Определите уровень канала распределения товаров – обувь «Монарх», йогурт «Заречье» и автомобили «Рено». Выберите и обоснуйте выбор наиболее выгодного вида транспортировки данного товара.
Распространение обуви «Монарх» осуществляется каналом распределения 2-го уровня, так как производитель реализует обувь крупным оптовым посредникам, они в свою очередь реализуют ее розничным торговцам, а те в свою очередь уже потребителям, это позволяет завоевывать новые сегменты рынка.
Производитель йогурта «Заречье» использует канал распределения 3-го рода, т. е йогурт продается крупным оптовым посредникам, они реализуют его мелким оптовым посредникам, а те в свою очередь реализуют его розничным торговцам, которые продают его потребителям. Благодаря этому достигается распространение товара на значительной территории и большой объем продаж.
Автомобили «Рено» реализуются по каналу распределения 1-го уровня. Автомобили реализуются крупным оптовым посредникам или дилерам, которые реализуют их потребителям. Таким способом достигается большой уровень прибыли.
Эффективность канала характеризуется динамикой уровня продаж, наибольший объем продаж обеспечивает канал распределения 3-го уровня, используемый производителем йогурта «Заречье».
















