80656 (687814), страница 5
Текст из файла (страница 5)
Реформы в экономике неразрывно связаны с изменением сиереотипов управления, методов и походов кв планировании и осуществлении преобразований. Планирование – это определение цели развития управляемого объекта, методов, способов и средств ее достижения, разработка программы, плана действий различной детализации на перспективу., это важнейшая предпосылка оптимального управления производством.
Новый подход к внутрифирменному планированию вынуждает предпринимателей искать такие формы и модели планирования, которые обеспечат максимальную эффективность принимаемых решений.
Бизнес-план, разработанный на основе маркетингового планирования, представляет собой оптимальный вариант достижения таких решений – это бизнес-план, являющийся прогрессивной формой плана.
В настоящей курсовой работе рассмотрены сущность и значение планирования бизнеса, как инструмента принятия управленческих решений на основе маркетинговых исследований рынка и планирования маркетинга. Мною изучена учебная и методическая литература, актуальные статьи в прессе, обобщены материалы . имеющие отношение к теме работы, разработан план маркетинга ООО “Люкс”. В работе изложены состав, структура и типы бизнес-планов, сущность, содержание и структура плана маркетинга, результаты практического исследования рынка. Думаю, что знания и навыки, полученные мною при выполнении данной работы, пригодятся в моей дальнейшей профессиональной деятельности.
сПИСОК ИСПОЛьзованной литературы
-
Амблер Т. Практический маркетинг/под ред.Каптуревского Ю.И.-СПб.:Питер, 1999.-400с.
-
Аристархова М.К. Практический маркетинг в коммерческой деятельности .Предпринт/РАН.Ин-т экономики.Башк.отд-ние.Уфа, 1998.-51 с.
-
Басовский Л.Е.Маркетинг: Курс лекций.-М.:ИНФРА-М, 1999.-218с.
-
Голубков Е.П.Основы маркетинга.М.:Финпресс, 1999.-651с.
-
Голубков Е.П.Маркетинг. Словарь-справочник.-М.:Дело, 2000.-440 с.
-
Гордон М.П. Тишкин Е.М., Усков Н.С .Как осуществлять экономическую доставку товара отечественному и зарубежному покупателю: Справочное пособие для предпринимателя. - М: Транспорт, 1993.
-
Дибб С., Симкин Л.Практическое руководство по сегментированию рынка..-СПб: Питер,2001, - 240 с.
-
Макаренко М.В. Махалина О.М. Производственный менеджмент . – М, 1998г.
-
Основы предпринимательской деятельности.Маркетинг./под ред.Власова В.М.-М.:Финансы и статистика, 1999.-239с.
-
Панкрухин А.П. Маркетинг.Учебник для ВУЗов.-М.:ИМПЭ,1999.-398 с.
-
Пелих А.С. Бизнес-план или как организовать свой бизнес.-М.:Ось-89, 1997.-96с.
-
Практическое руководство по организации сбытапродукции (работ, услуг)./Под ред.Р.Ф.Галимзянова.-Уфа:Эксперт, 1996.-295с.
-
Хруцкий В.Е., Корнеева И.В. Современный маркетинг.Настольная книга по исследованию рынка. –М.:Финансы и статистика, 2000.-528с.
-
Шепеленко Г.И.Экономика, организация и планирование производства на предприятии.-Р-Д:МарТ, 2001.-544с.
ПРИЛОЖЕНИЕ 1.
Рис.1.Динамика объема продаж ООО “Люкс” по целевым группам потребителей за 2000-2001гг.
Адм – административные органы
Банк – финансовые и страховые организации
Вуз – учебные заведения
Культ – учреждения культуры
Пром – промышленные предприятия
Рекл – рекламные агенства
Сервис – предприятия сферы услуг
Тпп – торгово-промышленные предприятия
ПРИЛОЖЕНИЕ 2.
Рис.2.Динамика и структура объема продаж ООО “Люкс” по ассортиментным группам
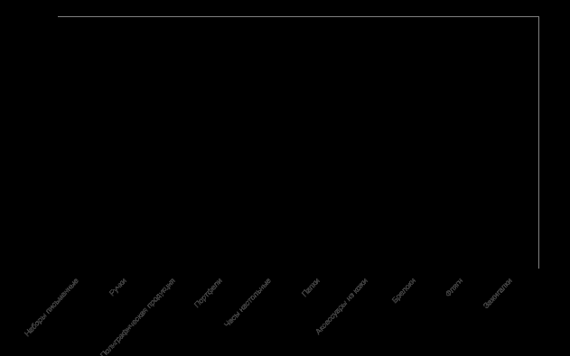
ПРИЛОЖЕНИЕ 3.
Таблица 6.
Оценка вклада ассортиментных групп в объем продаж ООО “Люкс”
| № | Наименование ассортиментной группы | Удель-ный вес ассортиментной группы в общем количе-стве позиций ассорти-мента, % | Коли-чество, шт. | Сумма, руб. | Доля вклада в общем объеме про-даж, % | Вклад нараста-ющим итогом, % | Структура |
| 2001 | |||||||
| 1. | Наборы письменные | 20 | 925 | 968150 | 28,0 | 28,0 | А (75 % объема продаж) |
| 2. | Ручки | 23 | 2498 | 691095 | 20,0 | 48,0 | |
| 3. | Полиграфическая продукция | 6 | 551 | 529730 | 16,0 | 64,0 | |
| 4. | Портфели | 7 | 123 | 388600 | 11,0 | 75,0 | |
| 5. | Часы настольные | 9 | 295 | 235510 | 7,0 | 82,0 | В (22 % объема продаж) |
| 6. | Папки | 3 | 115 | 183200 | 5,0 | 87,0 | |
| 7. | Аксессуары из кожи | 6 | 194 | 178660 | 5,0 | 92,0 | |
| 8. | Брелоки | 17 | 632 | 117688 | 5,0 | 97,0 | |
| 9. | Фляги | 1 | 108 | 73510 | 2,0 | 99,0 | С (3 % объема продаж) |
| 10. | Зажигалки | 8 | 366 | 45125 | 1,0 | 100,0 | |
| Всего | 100 | 5807 | 3411268 | 100,0 | |||
Рис.3.. Кривая анализа АВС. Объем продаж основных ассортиментных групп в 2001 г.
1 Хруцкий В.Е., Корнеева И.В. Современный маркетинг.-М.:Финансы и статистика, 2000.С.427.
2 Пелих А.С. Бизнес-план или как организовать свой бизнес.-М.:Ось-89, 1997.-С.38..















