42981 (687253), страница 3
Текст из файла (страница 3)
The first part of the process has several important variables:
-
X = 758 -- the height of the "world" we're looking at.
-
Y = 1024 -- the width of the world we're looking at
-
Z = 2 -- the depth (front to back) of the world we're looking at
-
Sx = height of our window into the world
-
Sy - width of our window into the world
-
Sz = a depth variable that determines which objects are visible in front of other, hidden objects
-
D = .75 -- the distance between our eye and the window in this imaginary world.
First, we calculate the size of the windows into the imaginary world.
Now that the window size has been calculated, a perspective transform is used to move a step closer to projecting the world onto a monitor screen. In this next step, we add some more variables.
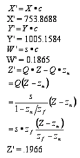
So, a point (X, Y, Z, 1.0) in the three-dimensional imaginary world would have transformed position of (X', Y', Z', W'), which we get by the following equations:
At this point, another transform must be applied before the image can be projected onto the monitor's screen, but you begin to see the level of computation involved -- and this is all for a single vector (line) in the image! Imagine the calculations in a complex scene with many objects and characters, and imagine doing all this 60 times a second. Aren't you glad someone invented computers?
In the example below, you see an animated sequence showing a walk through the new How Stuff Works office. First, notice that this sequence is much simpler than most scenes in a 3D game. There are no opponents jumping out from behind desks, no missiles or spears sailing through the air, no tooth-gnashing demons materializing in cubicles. From the "what's-going-to-be-in-the-scene" point of view, this is simple animation. Even this simple sequence, though, deals with many of the issues we've seen so far. The walls and furniture have texture that covers wireframe structures. Rays representing lighting provide the basis for shadows. Also, as the point of view changes during the walk through the office, notice how some objects become visible around corners and appear from behind walls -- you're seeing the effects of the z-buffer calculations. As all of these elements come into play before the image can actually be rendered onto the monitor, it's pretty obvious that even a powerful modern CPU can use some help doing all the processing required for 3D games and graphics. That's where graphics co-processor boards come in.
How Graphics Boards Help
Since the early days of personal computers, most graphics boards have been translators, taking the fully developed image created by the computer's CPU and translating it into the electrical impulses required to drive the computer's monitor. This approach works, but all of the processing for the image is done by the CPU -- along with all the processing for the sound, player input (for games) and the interrupts for the system. Because of everything the computer must do to make modern 3D games and multi-media presentations happen, it's easy for even the fastest modern processors to become overworked and unable to serve the various requirements of the software in real time. It's here that the graphics co-processor helps: it splits the work with the CPU so that the total multi-media experience can move at an acceptable speed.
As we've seen, the first step in building a 3D digital image is creating a wireframe world of triangles and polygons. The wireframe world is then transformed from the three-dimensional mathematical world into a set of patterns that will display on a 2-D screen. The transformed image is then covered with surfaces, or rendered, lit from some number of sources, and finally translated into the patterns that display on a monitor's screen. The most common graphics co-processors in the current generation of graphics display boards, however, take the task of rendering away from the CPU after the wireframe has been created and transformed into a 2-D set of polygons. The graphics co-processor found in boards like the VooDoo3 and TNT2 Ultra takes over from the CPU at this stage. This is an important step, but graphics processors on the cutting edge of technology are designed to relieve the CPU at even earlier points in the process.
One approach to taking more responsibility from the CPU is done by the GeForce 256 from Nvidia. In addition to the rendering done by earlier-generation boards, the GeForce 256 adds transforming the wireframe models from 3D mathematics space to 2-D display space as well as the work needed to show lighting. Since both transforms and ray-tracing involve serious floating point mathematics (mathematics that involve fractions, called "floating point" because the decimal point can move as needed to provide high precision), these tasks take a serious processing burden from the CPU. And because the graphics processor doesn't have to cope with many of the tasks expected of the CPU, it can be designed to do those mathematical tasks very quickly.
The new Voodoo 5 from 3dfx takes over another set of tasks from the CPU. 3dfx calls the technology the T-buffer. This technology focuses on improving the rendering process rather than adding additional tasks to the processor. The T-buffer is designed to improve anti-aliasing by rendering up to four copies of the same image, each slightly offset from the others, then combining them to slightly blur the edges of objects and defeat the "jaggies" that can plague computer-generated images. The same technique is used to generate motion-blur, blurred shadows and depth-of-field focus blurring. All of these produce smoother-looking, more realistic images that graphics designers want. The object of the Voodoo 5 design is to do full-screen anti-aliasing while still maintaining fast frame rates.
Computer graphics still have a ways to go before we see routine, constant generation and presentation of truly realistic moving images. But graphics have advanced tremendously since the days of 80 columns and 25 lines of monochrome text. The result is that millions of people enjoy games and simulations with today's technology. And new 3D processors will come much closer to making us feel we're really exploring other worlds and experiencing things we'd never dare try in real life. Major advances in PC graphics hardware seem to happen about every six months. Software improves more slowly. It's still clear that, like the Internet, computer graphics are going to become an increasingly attractive alternative to TV.
Back to the images of the ball. How did you do? Image A has a computer-generated ball. Image B shows a photograph of a real ball on the sidewalk. It's not easy to tell which is which, is it?















