25303 (686794), страница 2
Текст из файла (страница 2)
Влияние скважины на градиент температуры в мощных однородных пластах пренебрежимо мало. Влияние скважины наблюдается вблизи границы пластов в пределах 4-5 диаметров скважины (рис.2.2). Считают, что границе пласта соответствует максимум наклона кривой градиента температуры к оси глубин.
Наиболее мощным искажающим фактором является естественная тепловая конвекция. Она возникает при градиентах, больших критического значения 0,001-0,01
К/и. Можно считать, что при понижении температуры с глубиной вклад естественной тепловой конвекции пренебрежимо мал.
В контрольных и пьезометрических скважинах часто наблюдаются аномалии охлаждения. При термическом воздействии на нефтяные пласты наблюдаются аномалии разогрева. Эти аномалии относятся к нестационарным. Распределение температуры и градиента для охлажденного пласта иллюстрируется на рис.2.3. Вклад естественной тепловой конвекции приводит к затягиванию аномалии в зоне повышения температуры с глубиной. В отсутствие конвекции максимум и минимум градиента температуры соответствуют границам заводненной части пласта. Вклад конвекции приводит к смещению максимума градиента на 6-8 метров в область больших глубин.
Рис.2.3 Схематическое распределение температуры и градиента температуры
в интервале охлажденного пласта. 2,3 - термограмма и градиент без учета и 4,5 - с учетом конвекции.
Квазистационарные тепловые поля
Квазистационарные температурные поля в добывающих скважинах обусловлены конвективным теплопереносом и сопутствующим теплообменом между жидкостью и породами, баротермическим эффектом, калориметрическим эффектом. Время работы скважины должно составлять более 10 часов.
Квазистационарные тепловые поля формируются на фоне естественного распределения температуры и являются аддитивной добавкой к стационарному тепловому полю Земли.
Конвективный перенос тепла обусловлен потоком жидкости в стволе скважины, в заколонном пространстве вне перфорированных интервалов и в пласте. Теплообмен потока жидкости с окружающим массивом горных пород приводит к выравниванию их температур. Однако полного выравнивания температур никогда не происходит, так как конвективный теплоперенос гораздо мощнее теплообмена. Относительный вклад теплообмена возрастает с уменьшением скорости потока.
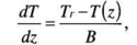
Квазистационарное распределение температуры в стволе скважины выше продуктивных пластов для потока жидкости описывается следующей приближенной формулой (Чекалюк Э.Б.)
T(z) = То- Гг + ГВ (1 - е -т ) + AT е^8 , (2.2)
где Т о- естественная температура пород при z = 0 (кровля интервала притока);
Г - средний геотермический градиент для z > 0;
AT - температурная аномалия на глубине z = 0, т.е. разница
между температурой жидкости и пород; z - расстояние, м;
с - удельная теплоемкость жидкости, Дж/кг*К;
р - плотность жидкости, кг/м3;
Q - дебит жидкости, м3 /с;
го- радиус скважины, м;
а - коэффициент теплопередачи, Вт/м2«К
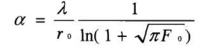
Значение а можно оценить по формуле
где А, - теплопроводность пород, Вт/м2 »К; Fo- число Фурье,
а - температуропроводность
пород, м2/с; t - время работы скважины.
Из (2.4) видно, с удалением от пластов (z—>°°) термограмма становится параллельной геотерме
и она будет тем ближе к естественной
температуре пород, чем меньше дебит (т.е. В). При значительных Q этого участка термограммы в пределах скважины может и не быть.
Величина градиента температуры в стволе скважины согласно (2.3)
где Тг =Т0 - Fz - естественная температура пород на расстоянии z;
T(z) - температура в стволе скважины.
Видно, что градиент температуры уменьшается с уменьшением разности температур жидкости и пород и с увеличением параметра В.
При известном (рассчитанном по 2.5 или оцененном в других скважинах) значении коэффициента теплопередачи а зависимость 2.6 можно использовать для оценки дебита жидкости по термограмме.
Фильтрация жидкости и газов в пласте, прохождение сужений сопровождается падением давления (явление дросселирования). При этом температура флюида изменяется: жидкости разогреваются, газы охлаждаются. Величина установившегося изменения температуры AT зависит от коэффициента Джоуля - Томсона флюида е и депрессии на пласт АР:
Значение е для нефтей колеблется в пределах 0,04-^0,06 °С/ат, для воды примерно равняется 0,02 °С/ат, для газов он отрицателен и на порядок больше, чем для нефтей - ег «- (0,3 - 0,5) °С/ат .
Таблица 2.1. Усредненные значения коэффициента Джоуля Томсона для различных жидкостей.
| Жидкость | Температура, °С | е, °С/ат |
| Пресная вода | 20 | 0.0216 |
| 40 | 0.0208 | |
| Минерализованная вода | 20 | 0.0225 |
| Нефть Арланская | 20 | 0.0415 |
| Нефть Федоровская | 20 | 0.0377 |
| Нефть Ромашкинского мест. | 45 | 0.0398 |
| Газ метан(при р =1.73 МПа) | 21 | -0.418 |
| 71 | -0.279 |
Формула (2.7) справедлива по истечении времени, когда через постоянную воронку депрессии прошло несколько поровых объемов флюида.
При поступлении из пласта смеси различных жидкостей и газов суммарный температурный эффект ATZ зависит от массовой доли различных компонентов
АТУ=
._ AT,c,G1+AT,c,G,+...ATc G
c
1G1+c2G2+...+coGo
(2.5)
здесь С; - удельная теплоемкость компонента i;
в продукции пласта.
i - массовая доля i-ro компонента
Из (2.8) следует, что с увеличением обводненности при одинаковой депрессии температурная аномалия вследствие дросселирования будет уменьшаться. Поскольку газы при дросселировании охлаждаются, а жидкости нагреваются, изменение температуры газожидкостной смеси может быть как положительным (ATs>0), так и отрицательным (ATS< 0), а может и отсутствовать (ATS= 0).
Обычно скважины эксплуатируются при забойном давлении, превышающем давление насыщения нефти газом. Однако при определенных условиях, например, при компрессорном освоении, оно может оказаться ниже давления насыщения. Кратковременное снижение забойного давления ниже давления насыщения можно осуществить и специально, как будет показано ниже, для повышения эффективности решения отдельных задач, например, при исследовании фонтанных скважин.
Пластовые нефть и вода содержат растворенный газ. Газосодержание -нормальный объем газа в м3, растворенного в 1 кубическом метре пластовой жидкости. Содержание газов в пластовой воде (единицы м3/м3) пренебрежимо мало по сравнению с газосодержанием пластовых нефтей (до нескольких сотен м3/м3).
Давление насыщения нефти газом - это давление, при котором начинается разгазирование нефти, выделение растворенного газа в свободную газовую фазу (появляются первые пузырьки газа).
Газовый фактор - это нормальный объем газа (т.е. объем газа в пересчете на нормальные условия), добываемый из скважины на кубометр или тонну добываемой нефти.
При эксплуатации скважины с забойным давлением ниже давления насыщения выделение из нефти растворенного газа будет происходить в призабойной зоне пласта. Тогда в удаленной части пласта, где давление выше давления насыщения, будет происходить однофазная фильтрация нефти с положительным дроссельным эффектом. В призабойной зоне, где давление ниже давления насыщения, будет наблюдаться двухфазная фильтрация нефти и выделяющегося из нефти свободного газа. Фильтрация газа сопровождается отрицательным температурным эффектом.
Разгазирование нефти (выделение растворенного в нефти газа в свободную газовую фазу) сопровождается поглощением тепла и приводит к дополнительному охлаждению смеси.
Величина изменения температуры на забое зависит от соотношения перепадов давления в зоне разгазирования и вне ее, газового фактора пластовой нефти.
При забойных давлениях выше давления насыщения забойная температура всегда растет с уменьшением забойного давления. Для забойных давлений ниже давления насыщения температура с уменьшением забойного давления уменьшает с я для газовых факторов больше некоторого критического Гкр и увеличивается при Г< Гкр Если Г ~ Гкр забойная температура от забойного давления не зависит, дроссельная аномалия при этом положительна и равна ен (Рпл - Рн).
Таким образом, факт эксплуатации скважины при забойном давлении ниже давления насыщения еще автоматически не означает, что на забое будут наблюдаться обязательно отрицательные температурные аномалии. Знак температурной аномалии зависит от многих параметров: пластового и забойного давления, давления насыщения, коэффициента растворимости газа в нефти, термодинамическихсвойств нефти и газа.
Наличие воды в продукции уменьшает охлаждающий эффект от разгазирования и дросселирования газа. Расчеты показывают, что при обводненности более 60% для наблюдаемых на практике газовых факторов отрицательные температурные аномалии вовсе невозможны.
При наличии разгазирования в пласте в стволе скважины наблюдается сложный многофазный неизотермический поток воды, нефти и газа. Если при малых газовых факторах еще возможен однородный гомогенный поток, с увеличением газового фактора в стволе скважины образуются различные структуры потока (пробковый, снарядный и т.д.), осложняющие (а иногда и полностью исключающие) интерпретацию данных геофизических методов.
Калориметрический эффект наблюдается при смешивании жидкостей с различной температурой в интервале перфорации и в зоне нарушения обсадных колонн. Если происходит снижение температуры восходящего потока, то калориметрический эффект называется отрицательным, в противном случае -положительным. Распределение температуры в зоне смешивания подчиняется уравнению калориметрии. Однако на практических диаграммах часто наблюдаются так называемые «пики внедрения», которые не описываются уравнениями калориметрии. Эти пики обусловлены мощными удельными притоками.
Ниже интервалов перфорации в отсутствие заколонной циркуляции наблюдается плавное приближение температуры с глубиной к естественной температуре в скважине. Это явление обусловлено теплоотдачей работающего пласта. Зона теплоотдачи, как правило, не превышает 8-10 метров в добывающих скважинах и 10-20 метров в нагнетательных скважинах.
















