15001 (686383)
Текст из файла
ФЕДЕРАЛЬНОЕ АГЕНСТВО ПО ОБРАЗОВАНИЮ
ГОСУДАРСТВЕННОЕ ОБРАЗОВАТЕЛЬНОЕ УЧРЕЖДЕНИЕ
ВЫСШЕГО ПРОФЕССИОНАЛЬНОГО ОБРАЗОВАНИЯ
ПЕТРОЗАВОДСКИЙ ГОСУДАРСТВЕННЫЙ УНИВЕРСИТЕТ
Кафедра механизации
Комбинированные орудия для предпосевной обработки почвы
Система-Компактор
Курсовая работа по сельскохозяйственным машинам
Научный руководитель:
Кондрашов В.Ф.
Говор Д.В.
Петрозаводск - 2008
Оглавление
Введение
1. Агротребования к предпосевной обработке
2. Рабочие органы Системы-Компактор для предпосевной обработки почвы
2.1 Сферические диски
2.1.1 Расчет сферических дисков
2.1.2 Регулировка глубины сферических дисков
2.1.3 Крайние диски
2.2 Стрельчатые лапы
2.2.1 Расчет стрельчатой лапы
2.2.2 Регулировка рабочей глубины лап
2.2.3 Положение крыльев
2.2.4 Срезной предохранитель
2.2.5 Система-компактор с автоматическим предохранителем от перегрузки
2.3 Катки
3. Подготовительные работы на тракторе
3.1 Шины
3.2 Подъемные штанги
3.3 Ограничительные цепи/стабилизаторы
3.4 Регулирование
3.5 Нагрузка на оси
4. Навешивание и демонтаж комбинированного орудия для предпосевной обработки почвы Система-Компактор
4.1 Монтаж Система-Компактор
4.2 Демонтаж системы-компактор
5. Техническое обслуживание
6. Масса
7. Предписания по технике безопасности и предотвращению несчастных случаев
Литература
Введение
Тяжелая ситуация с расходами на производство и затратами рабочего времени требует машины и орудия с большой производительностью при высоком качестве работы. Точность обработки, а также высокая производительность на единицу площади при низких затратах являются сегодня решающими аргументами в пользу прицепных комбинаций орудий по предпосевной обработке почвы. Наряду с орудиями для подготовки почвы под посев, работающими от вала отбора мощности, такими как, например, ротационные бороны, все большее значение в области обработки почвы под зерновые, рапс и ряд овощных культур приобретают прицепные комбинации орудий. Комбинации орудий Система-Компактор и Система-Корунд - два орудия фирмы ЛЕМКЕН с многосторонними возможностями оснащения, которые осуществляют отличную подготовку почвы под посев, выполняя все агротехнические требования.
Идеальная почва под посев - это основа для оптимального роста растений. Обработанная пашня должна быть хорошо выравнена и одновременно хорошо разрыхлена по всей ширине захвата и на всю рабочую глубину. Комбинация орудий по подготовке почвы под посев фирмы ЛЕМКЕН обеспечивает оптимальное рыхление почвенных структур и хорошее крошение посевного горизонта.
Сопроводительное оборудование - прикатывающие катки - осуществляют равномерное повторное уплотнение на глубину внесения посевного материала. Одновременно, благодаря повторному уплотнению почвы, обеспечивается идеальная подача почвенной влаги к корневой системе.
Система-Компактор фирмы ЛЕМКЕН с шириной захвата от 3 до 10 метров выполняет предпосевную обработку почвы за один рабочий проход. Это идеальное орудие для подготовки хорошо разрыхленного, обработанного на одинаковую глубину и повторно уплотненного посевного ложа, особенно для мелкого посевного материала свеклы и рапса. Прицепная комбинация для подготовки почвы под посев Система-Компактор может комбинироваться при ширине захвата 4,50-6,00 м с пневматической рядовой сеялкой Солитер.
1. Агротребования к предпосевной обработке
Идеальная почва под посев - это основа для оптимального роста растений. Обработанная пашня должна быть хорошо выровнена и одновременно хорошо разрыхлена по всей ширине захвата и на всю рабочую глубину. Комбинация орудий по подготовке почвы под посев фирмы ЛЕМКЕН обеспечивает оптимальное рыхление почвенных структур и хорошее крошение посевного горизонта. Сопроводительное оборудование - прикатывающие катки - осуществляют равномерное повторное уплотнение на глубину внесения посевного материала. Одновременно, благодаря повторному уплотнению почвы, обеспечивается идеальная подача почвенной влаги к корневой системе.
Два ряда стрельчатых лап обеспечивают полную обработку посевного ложа. Параллелограммное навешивание рабочих секций гарантирует точную работу и, соответственно, равномерную глубину обработки. С помощью передней режущей планки или подпружиненной многофункциональной планки осуществляется выравнивание поверхностного слоя почвы. Катки-измельчители у Система-Компактора способствуют дополнительному выравниванию почвы.
Для оптимального высева семян и наилучшего формирования корневой системы подготавливается идеальное посевное ложе с большими комками земли сверху, мелкой фракцией снизу и хорошо уплотненной почвой. Большие комки и пласты, которые еще остаются после обработки стрельчатыми лапами, измельчаются расположенным сзади сопроводительным оборудование или крошащим катком. Плоское расположение лемехов увеличивает силу вхождения орудия в почву, что обеспечивает наибольшее давление на катки-измельчители. Благодаря этому процессы выравнивания и крошения проводятся наилучшим образом.
2. Рабочие органы Системы-Компактор для предпосевной обработки почвы
2.1 Сферические диски
2.1.1 Расчет сферических дисков
Определим диаметр D и угол наклона
образующей конуса заточки к плоскости режущей кромки и радиус R кривизны рабочей поверхности сферического диска и расстояние b между смежными дисками при следующих условиях:
глубина обработки почвы a = 8 см
угол заострения режущей кромки i = 15o
коэффициент пропорциональности К = 6
высота гребней С = 30 мм
Диаметр диска определяют в зависимости от заданной глубины обработки из соотношения
К = D/а, D = 6 x 80 = 480 мм.
Принимаем диаметр диска D = 510 мм (ГОСТ 198...75).
Угол наклона образующей конуса заточки к плоскости режущей кромки
где Dа - хорда погружения диска на глубину а;
Угол
а =
-
а = 35o - 5o = 30o
Угол
= arctg (510/371 x 0,577) = 38,42o.
Угол, характеризующий кривизну рабочей поверхности диска
=
- i = 38,42o - 15o = 23,42o
Радиус кривизны рабочей поверхности диска
R = D/ (2 x sin
) = 510/ (2 x sin 23,42o) = 642 мм
В соответствии с ГОСТ принимаем R = 660 мм.
Расстояние между смежными дисками при высоте гребней С и угле атаки
равно
b = Dс tg
,
где
Рис. 1 Основные параметры сферического диска
2.1.2 Регулировка глубины сферических дисков
Сферические диски (18) должны работать приблизительно на половине глубины лап (19). Они должны разравнивать борозды и гребни, оставляемые задними лапами. При слишком большой рабочей глубине дисков образуются новые борозды и гребни, а при слишком малой рабочей глубине дисков недостаточно разравниваются борозды и гребни, оставляемые лапами. Глубина дисков оптимально отрегулирована в том случае, если едущий за ними каток (14) по всей ширине равномерно "заполнен" почвой или покрыт равномерной "оболочкой из почвы".
Если непосредственно за парами дисков (20) в катке имеется явно больше почвы, чем в промежутке между парами дисков, то это означает, что диски работают недостаточно глубоко. И наоборот, диски слишком глубоко, если за парами дисков (20) в катке скапливается явно меньше почвы, чем в промежутке между сферических дисками.
Рабочая глубина сферических дисков регулируется следующим образом:
a) расстопорить и вынуть забивной штифт (21),
б) поднять или опустить сферические диски, а затем
г) снова вставить и зафиксировать забивной штифт.
После того, как рабочая глубина сферических дисков однажды была отрегулирована, ее более не требуется корректировать при изменении рабочей глубины лап.
Прочесть и соблюдать общие указания по технике безопасности.
Регулировочные работы выполнять только при полностью опущенном дисковом культиваторе.
2.1.3 Крайние диски
Крайние диски (25) крепятся на наружных концах держателей сферических дисков. Они не должны работать на той же глубине, что и внутренние пары дисков; они должны лишь сбрасывать почву, выбрасываемую за пределы обрабатываемой полосы, обратно в борозды, оставляемые наружными лапами.
Для транспортировки по дорогам общего пользования крайние диски необходимо повернуть внутрь. Для переворота дисков следует расстопорить и вынуть по одному пальцу (27), перевернуть крайний диск и вставить палец в отверстие (26). После этого палец нужно застопорить!
На пашне (перед использованием агрегата) крайние диски следует снова повернуть наружу и застопорить.
2.2 Стрельчатые лапы
2.2.1 Расчет стрельчатой лапы
Определим угол
раствора лезвий стрельчатой полольной лапы, если коэффициент трения стеблей сорных растений о лезвие f = 0,97
При движении лапа встречает стебель. Сила сопротивления стебля R (рис.2) дает составляющую Т, которая стремится сдвинуть стебель по лезвию. Сдвижению стебля препятствует сила трения F. Скольжение стеблей по лезвию облегчает перерезание их и устраняет обволакивание лапы в случае, если перерезания не происходит.
Условие скольжения стебля по лезвию:
Т > F, где Т = Rcos
;
F = Ntg
= R sin
tg
.
Учтя значения Т и F, получим Rcos
> Rsin
tg
.
Поделим обе части неравенства на Rsin
:
ctg
> tg
или tg (90o -
) > tg
и 90o -
>
;
откуда
< 90o -
= 90o - arctg0,97 = 45,9o.
Угол раствора лезвий стрельчатой лапы 2
<= 91,8o.
Рис.2. Силы, действующие на стебель.
Определим ширину b полоски, обрабатываемой лапой, а также расстояние B между соседними лапами в ряду и расстояние L между рядами лап, если:
ширина лапы b = 4 см
глубину обработки почвы a = 12 см.
наклонена к горизонту под углом
= 28o
коэффициент трения почвы о поверхность лапы f = 0,47
вылет лапы l0 = 20 cм
перекрытие полосок рыхления
b = 3 см
Лапа, перемещаясь в почве, погружается на глубину a (рис.3). Зона деформации почвы в продольном направлении ограничивается линией nm, расположенной под углом
к нормали, проведенной через носок лапы.
Рис.3. Перемещение лапы в почве
С боковых сторон зона деформации ограничивается плоскостями, расположенными к линии nm под углом
/2. Из рисунка следует, что ширина разрыхленной полоски почвы равна
b1 = b + 2 nm tg
/2,где nm = a/cos (
+
);
угол трения
= arctg 0,47 = 25,2o.
С учетом этого
2.2.2 Регулировка рабочей глубины лап
Лапы должны работать на глубине 8-10 см. Если имеются неровности большего размера и глубокие колеи, может понадобиться работать несколько глубже. Рабочая глубина лап регулируется при немного поднятом (прибл. на 20 см) дисковом культиваторе с помощью плиты с отверстиями (10). Регулировка выполняется следующим образом:
нижний штифт (11) в более низком отверстии = большая рабочая глубина
нижний штифт (11) в более высоком отверстии = меньшая рабочая глубина.
Если при полностью поднятом агрегате каток все еще касается почвы или находится на слишком малом расстоянии от почвы, то при опущенном культиваторе верхние забивные штифты (12) следует переставить в более низкое отверстие над брусьями. Верхнюю тягу трактора необходимо отрегулировать по длине так, чтобы в рабочем положении рама (15) имела приблизительно одинаковую высоту спереди и сзади и была приблизительно параллельна почве. Положение верхней тяги при этом зависит от требуемого прикатывающего действия катка (14).
Прочесть и соблюдать общие указания по технике безопасности.
Для регулировки рабочей глубины дисковый культиватор разрешается поднимать лишь на несколько сантиметров.
В зоне параллелограммного механизма сферических дисков и катков существует опасность защемления и среза.
2.2.3 Положение крыльев
Положение лап или крыльев системы-компактор можно изменять. При плоском положении крыльев образуется плоский горизонт обработки (носок (5) и крыло (6) работают приблизительно на одной глубине) и уменьшается требуемая тяговая сила. При наклонном положении крыла обеспечивается хорошее втягивание дискового культиватора даже в твердые и сухие почвы.
Если система-компактор оснащена срезным предохранительным устройством, положение лапы и, тем самым, положение крыла изменяется путем переставления срезного болта.
Отверстие "A"
= плоское положение (рекомендуется для тяжелых, липких почв = требуется малая сила тяги)
Отверстие "B"
= крутонаклонное положение (рекомендуется для твердых и сухих почв = улучшенное втягивание)
На системе-компактор с предохранителем от перегрузки положение лап или крыльев изменяется путем демонтажа и переворота эксцентрикового винта (8) на 180°.
Прочесть и соблюдать общие указания по технике безопасности.
Положение лапы изменять только при выключенном приводе и неподвижном двигателе. Вынуть ключ зажигания. Обязательно опереть дисковый культиватор с помощью подходящих подпорок.
Для изменения положения лап (крыльев) пользоваться подходящим инструментом и работать в перчатках.
2.2.4 Срезной предохранитель
Каждая лапа (19) и держатель дисков оборудованы срезным предохранителем от перегрузки со срезным болтом (7), защищающим раму, лапы и держатели дисков от перегрузки. Если срезной болт (7) срезался, необходимо действовать следующим образом:
a) приподнять дисковый культиватор на несколько сантиметров,
б) удалить остатки срезного болта,
в) повернуть лапу или держатель дисков обратно
г) вставить новый срезной болт в ранее использовавшееся отверстие и тщательно затянуть его!
2.2.5 Система-компактор с автоматическим предохранителем от перегрузки
Лапы (19) Системы-компактор оборудованы автоматическим предохранителем от перегрузки с пружиной сжатия (35), специально рассчитанным на каменистые почвы. При сталкивании с препятствием в почве лапа отклоняется назад и вверх, а после преодоления препятствия автоматически возвращается в рабочее положение. Дополнительный срезной предохранитель со срезным болтом (7) защищает дисковый культиватор даже в том случае, если, например, лапа (19) зацепилась за препятствие и более не подается назад и вверх.
В качестве особого оснащения сферические диски также могут быть оснащены индивидуальными автоматическими предохранителями от перегрузки.
2.3 Катки
Система-компактор может быть оснащена трубчато-ребристыми катками D400 или D540.
Прикатывающее действие или эффект повторного укрепления почвы катком (14) регулируется путем изменения положения верхней тяги; при этом регулирующая гидравлика должна быть переключена на плавающее положение или смешанное регулирование (если трактор слишком сильно пробуксовывает). При этом действует следующее правило:
крутонаклонное положение верхней тяги = слабое повторное укрепление почвы
меньший наклон верхней тяги = среднее повторное укрепление почвы
горизонтальное положение верхней тяги = сильное повторное укрепление почвы
Только если трубчато-ребристый каток (в легких песчаных почвах) погружается слишком глубоко и сдвигает почву, а наклон верхней тяги более не возможно увеличить (то есть более не имеется возможности поднять ее конец на агрегате или опустить на тракторе), для уменьшения давления катка на почву следует переключить регулирующую гидравлику трактора на регулирование тяговой силы или смешанное регулирование.
В таких случаях рекомендуется также вместо серийного катка диаметром 400 мм использовать больший каток диаметром 540 мм.
3. Подготовительные работы на тракторе
3.1 Шины
Давление воздуха - в особенности в задних шинах трактора - должно быть одинаковым.
3.2 Подъемные штанги
Подъемные штанги трехточечного механизма трактора с помощью регулировочного механизма следует отрегулировать на одинаковую длину.
3.3 Ограничительные цепи/стабилизаторы
Ограничительные цепи или стабилизаторы должны быть отрегулированы так, чтобы во время работы они всегда допускали небольшую боковую подвижность нижних тяг!
3.4 Регулирование
Для работы переключить гидравлику трактора на "плавающее" или "смешанное" положение!
3.5 Нагрузка на оси
Навешивание агрегатов на передний и задний трехточечный механизм не должно приводить к превышению допустимой общей массы, допустимых нагрузок на оси и нагрузочной способности шин трактора.
Передняя ось трактора всегда должна быть нагружена по меньшей мере 20% собственной массы трактора.
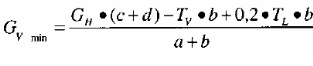
Ниже подробно описан метод определения минимального переднего балласта и повышения нагрузки на заднюю ось:
GV = масса переднего балласта (переднего орудия)
TV = нагрузка на переднюю ось трактора без навесного орудия
TL = собственная масса трактора
TH = нагрузка на заднюю ось трактора без навесного орудия
GH = масса орудия
Расчет минимального переднего балласта GVмин:
Расчет повышения нагрузки на заднюю ось:
Расчет минимального переднего балласта и повышения нагрузки на заднюю ось предполагает, что все вышеуказанные размеры и массы известны. Если эти размеры и массы вам не известны и вы не можете их определить, есть только один надежный и точный способ, позволяющий избежать перегрузок: взвесьте ваш трактор с навешенными и приподнятым агрегатом, а затем сравните полученные значения с нагрузками на переднюю и заднюю ось трактора без навесного орудия. В результате вы определите действительную нагрузку на заднюю ось и разгрузку передней оси при навешенном и выглубленном агрегате.
4. Навешивание и демонтаж комбинированного орудия для предпосевной обработки почвы Система-Компактор
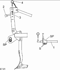
4.1 Монтаж Система-Компактор
Для монтажа Система-Компактор гидросистему трактора необходимо переключить на позиционное регулирование.
− Соединить нижнюю тягу трактора с осью навески (1) и застопорить ее.
− Верхнюю тягу (2) необходимо соеди-нить так, чтобы точка соединения на агрегате и во время работы была расположена выше, чем на тракторе.
− Палец верхней тяги (3) застопорить предохранительным шплинтом (4).
− Если дисковый культиватор оснащен крайними дисками, то перед перевозкой культиватора по дорогам общего пользования их необходимо повернуть внутрь и застопорить от обратного поворота.
На пашне (перед использованием) крайние диски следует снова повернуть наружу и зафиксировать.
4.2 Демонтаж системы-компактор
Систему-компактор следует всегда устанавливать на прочную и ровную площадку.
Переключить гидросистему трактора на позиционное регулирование.
Полностью опустить агрегат и отсоединить верхнюю тягу (2) со стороны агрегата.
Отсоединить нижнюю тягу от оси навески (1).
5. Техническое обслуживание
Система-компактор нуждается лишь в незначительном техническом обслуживании.
Все смазываемые места необходимо каждые 20 часов смазывать качественной смазкой, безвредной для окружающей среды.
Перед длительным перерывом эксплуатации (на зимний сезон) и непосредственно после этого перерыва (перед началом использования) необходимо смазать все смазываемые места и нанести небольшое количество консистентной смазки на забивные штифты и в отверстия для них.
Неокрашенные поверхности лапы, направляющие пластины и сферические диски перед длительным перерывом эксплуатации необходимо смазать безвредной для окружающей среды консистентной смазкой, чтобы на них не появилась ржавчина.
В первый раз через 10 часов эксплуатации, а затем каждые 20 часов эксплуатации следует проверять надежность затяжки всех винтов и гаек и, если необходимо, подтягивать их.
Изношенные носки лемехов, крылья лап, направляющие пластины и т.п. следует своевременно заменять, чтобы не начали изнашиваться несущие детали. Использовать только оригинальные изнашивающиеся детали Lemken.
6. Масса
| Модель Компактор | Ширина захвата, см | Вес, кг | Мощность, кВт/ л. с. | Кол-во и ширина секций, см | |
| Не складывающиеся | Компактор S 300 | 300 | 1430 | 74/100 | 2x150 |
| Компактор S 400 | 400 | 1650 | 96/130 | 2x200 | |
| Складывающиеся при помощи гидравлики | Компактор K 400 | 400 | 1850 | 96/130 | 2x200 |
| Компактор K 450 | 450 | 1990 | 125/170 | 3x150 | |
| Компактор K 500 | 500 | 2103 | 147/200 | 2x150, 1x200 | |
| Компактор K 600 | 600 | 2703 | 169/230 | 4x150 | |
| Полунавесные, складывающиеся при помощи гидравлики | Компактор K 450 A | 450 | 2857 | 125/170 | 3x150 |
| Компактор K 500 A | 500 | 2970 | 147/200 | 2x150, 1x200 | |
| Компактор K 600 A | 600 | 3570 | 169/230 | 4x150 | |
| Компактор Гигант 800 | 800 | 5750 | от 162/220 | 4x200 | |
| Компактор Гигант 1000 | 1000 | 7430 | от 205/280 | 4x150, 2x200 |
7. Предписания по технике безопасности и предотвращению несчастных случаев
Общие указания по технике безопасности.
Перед каждым использованием проверяйте агрегат и трактор на транспортную и эксплуатационную безопасность.
Помимо указаний этого руководства соблюдайте также действующие общие предписания по технике безопасности и охране труда.
Использовать, обслуживать и ремонтировать агрегат разрешается только тем лицам, которые изучили агрегат и осведомлены об опасностях.
При движении по дорогам с поднятым орудием рычаг управления должен быть заблокирован против опускания.
Установленные на агрегате предупреждающие знаки и таблички с инструкциями содержат важные указания для безопасной эксплуатации; их соблюдение необходимо для вашей безопасности.
При езде по дорогам общего пользования соблюдать соответствующие правила.
Перед началом работы ознакомиться со всеми устройствами, элементами управления и их функциями. Делать это во время рабочего применения слишком поздно.
Одежда пользователя должна быть плотно облегающей. Не носите свободно свисающую одежду.
Во избежание возгорания содержать машину в чистоте.
Перед запуском и началом пользования проверить ближнюю зону! (Дети!) Позаботиться о достаточной обзорности.
Езда на орудии во время работы и транспортировки не разрешена.
Прицеплять агрегаты в соответствии с предписаниями. Закреплять агрегаты только на предусмотренных для этого приспособлениях.
Прицепляя агрегаты к трактору или отцепляя их от трактора, необходимо соблюдать особую осторожность.
При навешивании и демонтаже привести опорные устройства в соответствующее положение. (Устойчивость)
Грузы устанавливать только в соответствии с предписаниями в предусмотренных для этого точках крепления.
Соблюдать допускаемые нагрузки на оси, общие массы и транспортные габариты.
Проверить и установить транспортное оборудование (например, освещение, предупреждающие устройства и, если необходимо, защитные устройства).
Расцепные тросы для быстроразъемных соединений должны свисать свободно и при самом низком положении не должны сами расцеплять соединение.
Во время движения никогда не покидать площадку водителя.
На динамические свойства, управляемость и тормозные свойства трактора влияют смонтированные или навешенные агрегаты и балластные грузы. Поэтому следует обращать внимание на достаточную управляемость и тормозные свойства.
При движении на поворотах учитывать широкий вылет и/или маховую массу агрегата.
Находиться в рабочей зоне запрещено.
Вводить агрегаты в эксплуатацию только в том случае, если все защитные устройства установлены и находятся в защитном положении.
Не стоять в зоне оборота и зоне поворота агрегата.
Гидравлические устройства (например, откидную раму) разрешается включать только в том случае, если в зоне поворота нет людей.
Детали, управляемые посторонней силой (например, гидравликой), могут причинить травмы в результате защемления и среза.
Прежде чем покидать трактор, опустить агрегат на землю, выключить двигатель и вынуть ключ зажигания.
Между трактором и агрегатом запрещается находиться людям, если трактор не был зафиксирован от самопроизвольного качения с помощью стояночного тормоза и/или противооткатных клиньев.
Навешенные агрегаты
Перед навешиванием агрегатов на трехточечную подвеску или их демонтажем привести орган управления в такое положение, при котором исключен непреднамеренный подъем или опускание.
При трехточечной навеске должны обязательно совпадать или согласоваться между собой категории навески трактора и агрегата.
В зоне трехточечного механизма существует опасность травмы в результате защемления и среза.
При пользовании наружными органами управления для трехточечной навески не вставать между трактором и агрегатом.
При транспортном положении агрегата обязательно убедиться в достаточной боковой фиксации трехточечного механизма трактора.
При движении по дороге с поднятым орудием рычаг управления должен быть заблокирован против опускания.
Техническое обслуживание.
Ремонт, техническое обслуживание, чистку и устранение неполадок выполнять только при выключенном приводе и неподвижном двигателе.
Регулярно проверять надежность затяжки гаек и винтов.
При выполнении работ по техническому обслуживанию на поднятом агрегате обязательно зафиксировать его от опускания с помощью подходящих подпорок.
При замене рабочих органов с режущими кромками пользоваться подходящим инструментом и работать в перчатках.
Масла, консистентные смазки и фильтры утилизовать в соответствии с предписаниями.
Прежде чем приступать к работам на электроустановке, обязательно отделить электропитание.
При выполнении электросварочных работ на тракторе и навешенных агрегатах отсоединить провода от генератора и аккумулятора.
Литература
-
www.lemken.com
-
http://cxm. karelia.ru
-
Справочник. Регулировка сельскохозяйственных машин. Н.В. Алехин
-
И.С. Георгиевский и др. - М: Колос, 1978
-
Сельскохозяйственные и мелиоративные машины. Н.И. Кленин - М: Листопад, 2005
Характеристики
Тип файла документ
Документы такого типа открываются такими программами, как Microsoft Office Word на компьютерах Windows, Apple Pages на компьютерах Mac, Open Office - бесплатная альтернатива на различных платформах, в том числе Linux. Наиболее простым и современным решением будут Google документы, так как открываются онлайн без скачивания прямо в браузере на любой платформе. Существуют российские качественные аналоги, например от Яндекса.
Будьте внимательны на мобильных устройствах, так как там используются упрощённый функционал даже в официальном приложении от Microsoft, поэтому для просмотра скачивайте PDF-версию. А если нужно редактировать файл, то используйте оригинальный файл.
Файлы такого типа обычно разбиты на страницы, а текст может быть форматированным (жирный, курсив, выбор шрифта, таблицы и т.п.), а также в него можно добавлять изображения. Формат идеально подходит для рефератов, докладов и РПЗ курсовых проектов, которые необходимо распечатать. Кстати перед печатью также сохраняйте файл в PDF, так как принтер может начудить со шрифтами.















