179944 (685669), страница 7
Текст из файла (страница 7)
- краткосрочные перспективы роста,
- долгосрочные перспективы роста,
- краткосрочные перспективы рентабельности,
- долгосрочные перспективы рентабельности,
- стратегическая гибкость набора СЗХ,
- его синергизм.
Алгоритм комплексной оценки (табл. 4.14):
1. Определение приоритетов указанных выше факторов (P) в краткосрочной (КП) и долгосрочной (ДП) перспективе.
2. Балансировка набора СЗХ по фазам жизненного цикла.
3. Оценка Rn перспектив роста, рентабельности СЗХ, гибкости и синергизма испытуемых наборов СЗХ.
4. Нормирование (в случае необходимости) исходных величин.
5. Расчет оценок наборов с помощью табл. 4.14.
6. При неудовлетворительном результате производится исследование альтернативных наборов СЗХ.
7. Проверка выбранного набора на осуществимость по ресурсам.
| Таблица 4.14 | ||||||||||||
| Комплексная оценка набора СЗХ | ||||||||||||
| Факторы | Рост | Рентабельность | Гибкость | Синергизм | Оценка набора | |||||||
| КП | ДП | КП | ДП | КП | ДП | |||||||
| Р1 | Р2 | Р3 | Р4 | Р5 | Р6 | Р7 | ||||||
| Оценка факторов в баллах | R1P1 | R2P2 | R3P3 | R4P4 | R5P5 | R6P6 | R7P7 | | ||||
| Оценка альтернативных наборов | ||||||||||||
| *** | ||||||||||||
4.3 Организационные структуры управления Понятие организации и организационной структуры
Организация – пространственно-временная структура производственных факторов и их взаимодействие с целью получения максимальных качественных и количественных результатов в самое короткое время и при минимальных затратах факторов производства.
Организация обладает следующими общими признаками:
- определение ее характера кадрами и менеджером;
- объединение процессов, которые без этого взаимодействуют нецеленаправленно или неэффективно;
- сохранение как предварительно запланированного порядка процесса, так и оперативного, зависящего от ситуации реагирования работника и менеджера. Незапланированные действия предполагают установление ответственности в менеджменте;
- определенная, зависящая от процесса гибкость, что обеспечивает функционирование системы в изменяющихся условиях;
- единство рабочих процессов и процессов управления как результата разумного разделения труда.
Организация – единство состояния и процесса, так как она обеспечивает стабильные организационные решения, но является сама лишь относительно стабильной вследствие постоянного развития внешней и внутренней среды фирмы.
Структура управления обеспечивает выполнение общих и конкретных функций управления, сохраняет целесообразные вертикальные и горизонтальные связи и разделение элементов управления.
Вертикальное разделение определяется числом уровней управления, а также подчиненностью и директивными отношениями. Горизонтальное разделение осуществляется по отраслевым признакам. Оно может быть ориентировано:
- на подпроцессы промышленного производства;
- изготавливаемые изделия;
- пространственные производственные условия.
Организационная структура регулирует:
- разделение задач по отделениям и подразделениям;
- их компетентность в решении определенных проблем;
- общее взаимодействие этих элементов.
Тем самым фирма создается как иерархическая структура.
Основные законы рациональной организации:
- порядок задачи в соответствии с важнейшими точками процесса;
- приведение управленческих задач в соответствии с принципами компетентности и ответственности (согласование компетентности и ответственности, согласование "поля решения" и доступной информации, способность компетентных функциональных единиц принять к решению новые задачи);
- обязательное распределение ответственности (не за сферу, а за "процесс");
- короткие пути управления;
- баланс стабильности и гибкости;
- способность к целеориентированной самоорганизации и активности;
- желательность стабильности циклически повторяемых действий.
На организационную структуру влияют следующие факторы:
- размеры предприятия;
- применяемая технология;
- окружающая среда.
Типы организационных структур управления
Организационная структура аппарата управления – форма разделения труда по управлению производством. Каждое подразделение и должность создаются для выполнения определенного набора функций управления или работ. Для выполнения функций подразделения, должностные лица наделяются определенными правами на распоряжение ресурсами и несут ответственность за выполнение закрепленных за ним функций.
Схема организационной структуры управления отражает статическое положение подразделений и должностей и характер связи между ними.
Различают связи:
- линейные (административное подчинение);
- функциональные (по сфере деятельности без прямого административного подчинения);
- межфункциональные, или кооперационные (между подразделениями одного и того же уровня).
В зависимости от характера связей выделяются несколько основных типов организационных структур управления:
- линейная;
- функциональная;
- линейно-функциональная;
- матричная;
- дивизиональная;
- множественная.
4.3.1 Линейная структура управления
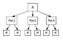
В линейной структуре управления каждый руководитель обеспечивает руководство нижестоящими подразделениями по всем видам деятельности. Достоинство – простота, экономичность, предельное единоначалие. Основной недостаток – высокие требования к квалификации руководителей. Сейчас практически не используется (рис. 4.10).
Д – директор; Рук. – руководители подразделений; И ‑ исполнители
Рисунок 4.10 Линейная структура управления
4.3.2 Функциональная структура управления
Функциональная организационная структура – связь административного управления с осуществлением функционального управления (рис.4.11).
На рис.4.11 административные связи функциональных начальников с исполнителями (И1 – И4) такие же, как и для исполнителя И5 (они не показаны в целях обеспечения ясности рисунка).
В этой структуре нарушен принцип единоначалия и затруднена координация. Практически она не используется.
Д – директор; ФН – функциональные начальники; И ‑ исполнители
Рисунок 4.11 Функциональная структура управления
4.3.3 Линейно-функциональная структура управления
Линейно-функциональная структура – ступенчатая иерархическая. При ней линейные руководители являются единоначальниками, а им оказывают помощь функциональные органы. Линейные руководители низших ступеней административно не подчинены функциональным руководителям высших ступеней управления. Она применялась наиболее широко (рис.4.12).
Д- директор; ФН – функциональные начальники; ФП – функциональные подразделения; ОП – подразделения основного производства
Рисунок 4.12 Линейно-функциональная структура управления
Иногда такую систему называют штабной, так как функциональные руководители соответствующего уровня составляют штаб линейного руководителя (на рис.4.12 функциональные начальники составляют штаб директора).
4.3.4 Дивизиональная структура управления
Дивизиональная (филиальная) структура изображена на рис.4.13.
Дивизионы (филиалы) выделяются или по области деятельности, или географически.
Рисунок 4.13 Дивизиональная структура управления
4.3.5 Матричная структура управления
Матричная структура (рис. 4.14, 4.15) характерна тем, что исполнитель может иметь двух и более руководителей (один – линейный, другой – руководитель программы или направления). Такая схема давно применялась в управлении НИОКР, а сейчас широко применяется в фирмах, ведущих работу по многим направлениям. Она все более вытесняет из применения линейно-функциональную.
Рисунок 4.14 Матричная структура управления, ориентированная на продукт
Рисунок 4.15 Матричная структура управления по проектам
4.3.6 Множественная структура управления
Множественная структура объединяет различные структуры на разных ступенях управления. Например, филиальная структура управления может применяться для всей фирмы, а в филиалах – линейно-функциональная или матричная.
4.3.7 Сравнение структур управления
Анализ достоинств и недостатков структур управления позволяет найти критерии их оптимального использования.
Линейно-функциональная система обеспечивает, начиная со второго уровня иерархии, деление задач управления "по функциям". Штабы могут создаваться в центральных и других органах управления, образовывая штабную иерархию.
Эта структура управления характеризуется:
-высокой централизацией стратегических решений и децентрализацией оперативных,
- организацией директивных связей по однолинейному принципу,
-преобладающим применением инструментов координации с технической поддержкой.
По идее, штабы должны давать консультации и участвовать в подготовке решений, но не давать конкретных директив. Однако, вследствие своей профессиональной компетентности, их сотрудники часто оказывают сильное неформальное влияние на линейных руководителей. Если же они выполняют только рекомендательную функцию, то возникает риск, что их работа слабо влияет на ход производственных процессов.
Структура имеет следующие преимущества:
- обеспечивает высокую профессиональную специализацию сотрудников,
- позволяет точно определить места принятия решений и необходимые ресурсы (кадровые),
- способствует стандартизации, формализации и программированию процессов управления.
Недостатки:
- образование специфических для функциональных подразделений целей затрудняет горизонтальное согласование,
- структура жестка и с трудом реагирует на изменения.
Дивизиональные структуры управления ориентируются на изделия, рынки сбыта, регионы.
При этом обеспечивается:
- относительно большая самостоятельность руководителей дивизионов,
- организация директивных связей по линейному принципу,
- относительно мощное использование инструмента координации с технической поддержкой,
- быстрая реакция на изменения рынка,
- освобождение высших руководителей фирмы от оперативных и рутинных решений,
- снижение конфликтных ситуаций вследствие гомогенности целей в дивизионе.
К числу недостатков этой структуры относят:
- относительно высокие затраты на координацию ввиду децентрализации вплоть до отдельного финансирования из бюджета и системы расчетных цен,
- при децентрализации теряются преимущества кооперации, что часто требует централизации выполнения отдельных функций (НИОКР, снабжение и т.д.).
















