143254 (685385), страница 6
Текст из файла (страница 6)
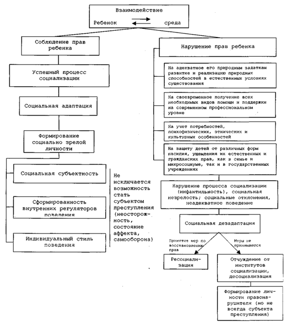
Социальное назначение защиты прав несовершеннолетних в сфере профилактики состоит в том, чтобы не следовать за последствиями отклонений в их поведении, применяя меры административно-правового характера по социальному контролю и ограничению, а предотвращать их, обеспечивая механизм реализации прав ребенка.
Такой подход принципиально меняет концепцию правозащитной деятельности в сфере профилактики отклоняющегося поведения несовершеннолетних, делая ее органическим и необходимым звеном, частью системы социального воспитания, в содержании которой на передний план выдвигается задача приведения в соответствие двух сторон взаимодействия - общества, направляющего воспитательные возможности всех субъектов и сфер жизнедеятельности в интересах каждого человека; и механизма активизации самой личности, ее творческого потенциала на благо общества.
Таким образом, все более действенной становится социально-педагогическая парадигма правозащитной деятельности в сфере профилактики отклоняющегося поведения несовершеннолетних, нацеленная на преобразование окружающей среды, создание гуманных отношений в социуме, поиск механизмов педагогически компетентного вмешательства в различные (в т.ч. кризисные) -личностно-средовые ситуации с целью их разрешения и социальной защиты личности.
Заключение
Важным фактором совершенствования правозащитной деятельности КДН является принципиально новый подход к кадровому обеспечению работы комиссии, включающий; формирование нового социально-педагогического мышления у всех ответственных секретарей КДН, действующих на постоянной профессиональной основе; полноценное задействование возможностей общественности как воспитательного института, который объединяет всех непрофессиональных воспитателей - организации или отдельных лиц, выполняющих правозащитные функции на добровольно-общественных началах, независимо от оплаты труда; введение в процесс правозащитной деятельности специально подготовленной для работы в условиях открытой среды категории педагогических работников - социальных педагогов, обеспечивающих интеграцию целенаправленных и средовых влияний на развивающуюся личность, а также стимулирующих развитие субъектной позиции ребенка в этом процессе, регулирующих взаимоотношения в системе "личность-семья-общество".
Социальное назначение защиты прав несовершеннолетних в сфере профилактики состоит в том, чтобы не следовать за последствиями отклонений в их поведении, применяя меры административно-правового характера по социальному контролю и ограничению, а предотвращать их, обеспечивая механизм реализации прав ребенка. Такой подход принципиально меняет концепцию правозащитной деятельности в сфере профилактики отклоняющегося поведения несовершеннолетних, делая ее органическим и необходимым звеном, частью системы социального воспитания, в содержании которого на передний план выдвигается задача приведения в соответствие двух сторон взаимодействия - общества, направляющего воспитательные возможности всех субъектов и сфер жизнедеятельности в интересах каждого человека; и механизма активизациисамой личности, ее творческого потенциала на благо общества.
В настоящее время стоит задача дальнейшего укрепления и развития социальных функций Комиссии по делам несовершеннолетних и защите их прав, разработке педагогических основ правозащитной деятельности как комиссии по делам несовершеннолетних, так и других учреждений и служб системы профилактики безнадзорности и правонарушений несовершеннолетних.
Список использованной литературы.
-
Аверин А.Н. Социальное управление: Опыт философского анализа. М., 1984.
-
Акбердин Р.З., Кибанов АЛ. Совершенствование структуры, функций и взаимоотношений детей групп риска: Учебное пособие. М., 2005.
-
Андреева Г.М. Социальная психология. М., 1988.
-
АнцуповАЛ., ШипиловА.И. Конфликтология. М., 2004.
-
Афанасьев В.Г. Общество: системность, познание и управление. М., 1981.
-
Бабаева ММ. Социальные нормы и регуляция поведения. М., 1978.
-
Берг А.И. Организация и управление. Вопросы теории и практики. М., 1968.
-
Берн Э. Игры, в которые играют люди. М., 1988.
-
Берталанфи Л. Общая теория систем — критический обзор // Исследования по теории систем. М., 2005.
-
Бир С. Мозг девиатного поведения. М., 2004.
-
Богданов АЛ. Всеобщая организационная наука: В 2 т. М., 1989.
-
Бородкин Ф.М., Коряк Н.М. Внимание: Конфликт! Новосибирск, 2004.
-
Здравомыслов А.Г. Социология конфликта. М., 2002.
-
Ильясов Ф.Н. Удовлетворенность трудом. Ашхабад, 1988.
-
Исаенко А.Н. Кадры управления комитетов по делам несовершеннолетних. М., 2004.
-
Кабаченко Т. С. Психология управления. М., 1999.
-
Карлофф Б. Стратегия конфликта. М., 2001.
-
Кон И.С. Социология личности. М., 1967.
-
Мильнер Б.З. Проблемы управления в современной Америке. М., 2004.
-
Мильнер Б.З. Теория организаций. М., 1998.
-
Обозов Н.Н. Межличностные отношения. Л., 2004.
-
Санталайнен Т. и др. Управление по результатам. М., 1988.
-
Свенцицкий АЛ. Социальная психология управления. Л., 1986.
-
Сиренко В.Ф. Интересы — власть — управление. Киев, 1991.
-
Скотт Д. Конфликты и пути их преодоления. Киев, 1991.
-
Смирнов Э.А. Основы теории социальных организаций. М., 1999.
-
Современное управление: Энциклопедический справочник: В 2 т. М., 1997.
-
Социологический энциклопедический словарь. М., 1998.
-
Социология: Словарь-справочник. М., 2000. Т. 1—3.
-
Теехиро К. Стратегия и структура японских девиантных комитетовМ., 2004.
-
Тернер Дж. Структура социологической теории. М., 1985.
-
Тичи Н., Деванна М.А. Лидеры реорганизации. М., 2000.
-
Удальцова М.В. Социология управления: Учеб. пособие. Новосибирск, 2005.
-
Шибутани Т. Социальная психология. М., 2005.
















