3071 (684878), страница 8
Текст из файла (страница 8)
Рис. 2.14. – Структура зобов’язань за обсягами залучених та запозичених коштів в АТЗТ «АК Промінвестбанк» у 2006 році
Рис. 2.15. – Структура зобов’язань за обсягами залучених та запозичених коштів в АТЗТ «АК Промінвестбанк» у 2007 році
Як показує спільний аналіз графіків рис. 2.12 -2.15 структура пасивів АТЗТ «АК Промінвестбанк» у 2006–2007 роках характеризується наступними показниками:
-
Структурна частка власного капіталу знаходиться на рівні 9,38% у 2006 році та знижується до рівня 8,94% у 2007 році;
-
Структурна частка запозичених коштів, представлених коштами інших банків та коштами від емісії депозитних сертифікатів, знаходиться:
– для коштів інших банків на рівні 1,14% у 2006 році та підвищується до рівня 2,45% у 2007 році;
– для коштів від емісії депозитних сертифікатів на рівні 0,15% у 2006 році та підвищується до рівня 0,51% у 2007 році;
-
Структурна частка залучених коштів юридичних та фізичних осіб займає основну частину пасивів банку та становить 88% у 2006 році та 87% у 2007 році, складаючись з наступних основних агрегатів:
Таблиця 2.14. Структурна частка агрегатів залучених коштів в валюті пасивів балансу АТЗТ «АК Промінвестбанк» у 2006–2007 роках
| Відносний рівень в% | 2006 | 2007 |
| поточні рахунки коштів бюджету та державних цільових фондів | 0,201 | 0,035 |
| вклади (депозити) мiсцевих бюджетiв | 0,367 | 1,185 |
| кошти суб'єктів господарювання на вимогу | 22,936 | 17,665 |
| короткостроковi вклади (депозити) суб'єктiв господарювання | 3,061 | 0,902 |
| довгостроковi вклади (депозити) суб'єктiв господарювання | 23,601 | 23,101 |
| нараховані витрати за коштами суб'єктів господарювання | 0,030 | 0,032 |
| кошти фізичних осіб на вимогу | 11,851 | 14,279 |
| короткостроковi вклади (депозити) фiзичних осiб | 14,716 | 10,131 |
| довгостроковi вклади (депозити) фiзичних осiб | 9,978 | 18,467 |
| нараховані витрати за коштами фізичних осіб | 0,133 | 0,152 |
| Кошти небанківських фiнансових установ, | 1,170 | 1,049 |
| РАЗОМ | 88,043 | 86,999 |
Згідно даним табл. 2.14, у 2007 році значно зросла частка довгострокових вкладів фізичних осіб +8,5% за рахунок зниження частки коштів юросіб на вимогу (-5,3%) та частки короткострокових депозитів юросіб (-2,1%).
Рис. 2.16. – Структура розподілу тривалості (часової стійкості) джерел пасивів в АТЗТ «АК Промінвестбанк» у 2007 році
Рис. 2.17. – Структура розподілу тривалості зобов’я-зань за залученими та запозиченими коштами в АТЗТ «АК Промінвестбанк» у 2007 році
На рис. 2.16 -2.17 наведений аналіз строковості залучених коштів в пасивах АТЗТ «АК Промінвестбанк» (рис. 2.16) та, окремо, в зобов’язаннях за залученими та запозиченими коштами (рис. 2.17).
Як показує спільний аналіз графіків рис. 2.16 -2.17:
– пасиви строковістю більше 10 років представлені власним капіталом у частці 8,97% (2007 рік) від загального обсягу пасивів, при цьому із 2,683 млрд. грн. власного капіталу – 1,998 млрд. грн. вкладено в основні та нематеріальні активи банку, таким чином власний оборотний капітал банку станом на 01.01.2008 року становить 0,685 млрд. грн., тобто 2,63% від обсягу валюти балансу;
– найбільша частка в зобов’язаннях належить нестійкій групі депозитів на вимогу, тобто коштам на поточних рахунках юридичних та фізичних осіб (36,55% від обсягу зобов’язань в пасивах балансу), які є найбільш дешевою депозитною базою банку;
– короткострокові депозити юридичних та фізичних осіб тривалістю від 2 до 92 днів представлені часткою в 14,5% від обсягу зобов’язань в пасивах балансу;
– довгострокові депозити юридичних та фізичних осіб тривалістю від 93 днів до 1 року представлені часткою в 23,96% від обсягу зобов’язань в пасивах балансу;
– інвестиційні довгострокові депозити юридичних та фізичних осіб тривалістю від 1 року до 10 років представлені часткою в 25,98% від обсягу зобов’язань в пасивах балансу.
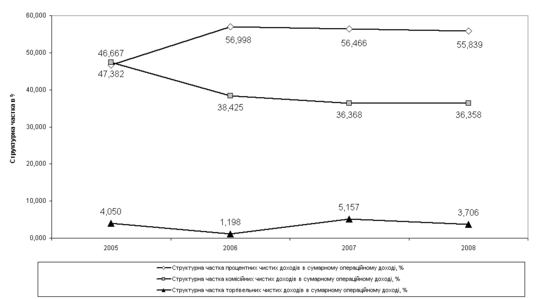
На рис. 2.18 -2.19 представлені графіки динаміки показників структури процентних, комісійних та торгівельних доходів в АТЗТ «АК Промінвестбанк» у 2004–2008 роках та процентного спреду та операційної маржі в АТЗТ «АК Промінвестбанк» у 2004–2007 роках. Як показує аналіз графіків рис. 2.18 -2.19 у 2006–2007 роках з підвищенням частки довгострокових депозитів фізичних осіб, які є відносно дорогою депозитною базою, показники операційної маржі та процентного спреду поступово знижуються.
Рис. 2.18. – Динаміка структури процентних, комісійних та торгівельних доходів в АТЗТ «АК Промінвестбанк» у 2004–2008 роках
Таблиця 2.15. Середньозважена процентна ставки за активами та зобов’язаннями в АТЗТ «АК Промінвестбанк» за 2006 рік
| Ря-док | Найменування статті | Гривні | USD | EUR | RUВ |
| АКТИВИ | |||||
| 3. | Кошти в інших банках | 10,7 | 2,4 | 1,9 | 0,8 |
| 5. | Цінні папери в портфелі банку на продаж | 12,8 | 0 | 0 | 0 |
| 6. | Кредити та заборгованість клієнтів | 17,2 | 11,7 | 11,6 | 14,2 |
| 7. | Цінні папери в портфелі банку до погашення | 13,3 | 0 | 0 | 0 |
| ЗОБОВ'ЯЗАННЯ | |||||
| 8. | Кошти банків | 0 | 5,9 | 0,3 | 0,3 |
| 9. | Кошти клієнтів: юридичні особи | 8,1 | 7,7 | 7,5 | 0,2 |
| фізичні особи | 11,7 | ||||
| 10. | Ощадні (депозитні) сертифікати, емітовані банком | 12,1 | 0 | 0 | 0 |
Таблиця 2.16. Середньозважена процентна ставки за активами та зобов’язаннями в АТЗТ «АК Промінвестбанк» за 2007 рік
| Ря-док | Найменування статті | Гривні | USD | EUR | RUВ |
| АКТИВИ | |||||
| 3. | Кошти в інших банках | 9,5 | 4,4 | 2,6 | 0,9 |
| 4. | Цінні папери в торговому портфелі банку | 0 | 0 | 0 | 0 |
| 5. | Цінні папери в портфелі банку на продаж | 13 | 0 | 0 | 0 |
| 6. | Кредити та заборгованість клієнтів: юридичних осіб | 16,2 | 11,0 | 10,9 | 10,2 |
| фізичних осіб | 18,8 | 12,1 | 11,7 | 0 | |
| ЗОБОВ'ЯЗАННЯ | |||||
| 8. | Кошти банків | 0 | 7 | 3,9 | 0,1 |
| 9. | Кошти клієнтів | 8,7 | 5,6 | 6,6 | 1,4 |
| 10. | Ощадні (депозитні) сертифікати, емітовані банком | 12,7 | 0 | 0 | 0 |
Рис. 2.20. – Повалютна структура залучених коштів юридичних та фізичних осіб в АТЗТ «АК Промінвестбанк» у 2006–2007 роках
2.3 Вплив недепозитних джерел власних та запозичених коштів на ресурсну політику АТЗТ «АК Промінвестбанк»
В якості недепозитних джерел власних та запозичених коштів в АТЗТ «АК Промінвестбанк» в пасивах використовуються (рис. 2.23):
– власний оборотний капітал – 8,97% обсягів пасивів балансу (рис. 2.13);
– запозичені кошти інших банків – 2,45% обсягів пасивів валюти балансу (рис. 2.13):
а) внутрішня структурна частка в доларах США становить від 79,6% у 2006 році до 69,2% у 2007 році (рис. 2.26 – 2.27);
б) внутрішня структурна частка в євро становить від 1,39% у 2006 році до 9,37% у 2007 році (рис. 2.26 – 2.27);
в) внутрішня структурна частка в гривнях США становить від 17,34% у 2006 році до 17,58% у 2007 році (рис. 2.26 – 2.27);
– запозичені кошти від емісії боргових цінних паперів – депозитних сертифікатів в національній валюті – 0,51% обсягів пасивів валюти балансу (рис. 2.13);
Аналіз динаміки зростання абсолютних обсягів недепозитних джерел власних та запозичених коштів в АТЗТ «АК Промінвестбанк» у 2004–2007 роках (рис. 2.23) показав, що:
















