2955 (684849), страница 13
Текст из файла (страница 13)
Таблиця Д.1
Оборотно-сальдова відомість в ЗАТ „Кредит Європа банк” у 2007 – 2009 роках
Продовження табл.Д.1
Продовження табл.Д.1
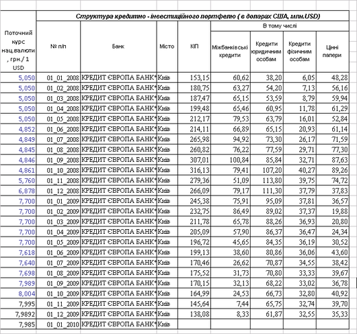
ДОДАТОК Е
Динаміка та структура кредитно-інвестиційного портфелю ЗАТ „Кредит Європа банк” в доларового еквіваленту КІП в умовах різкої девальвації національної валюти в 2008 – 2009 роках
ДОДАТОК Ж
Послуги споживчого кредитування в ПАТ КБ „Кредит Європа Банк” станом на 01.12.2009
Таблиця Ж.1
Умови іпотечного споживчого кредитування фізичних осіб на вторинному ринку нерухомості
ДОДАТОК К
Рис.К.1. Структура кредитно – інвестиційного портфелю ПАТ „Кредит Європа банк” станом на 01.01.2008 (Систематизовано та побудовано автором самостійно)
Рис.К.2. Структура кредитно – інвестиційного портфелю ПАТ „Кредит Європа банк” станом на 01.10.2008 (початок впливу світової фінансової кризи в БС України) (Систематизовано та побудовано автором самостійно)
Рис.К.3. Структура кредитно – інвестиційного портфелю ПАТ „Кредит Європа банк” станом на 01.01.2009 (Систематизовано та побудовано автором самостійно)
Рис.К.4. Структура кредитно – інвестиційного портфелю ПАТ „Кредит Європа банк” станом на 01.10.2009 (Систематизовано та побудовано автором самостійно)
ДОДАТОК Л
Рис.Л.1. Динаміка оборотно-сальдового обороту короткострокового кредитування на поточні потреби за активним балансовим рахунком № 2202 в ПАТ „Кредит Європа банк” у 2007 – 2009 роках (Систематизовано та побудовано автором самостійно)
Рис.Л.2. Динаміка оборотно-сальдового обороту довгострокового кредитування на поточні потреби за активним балансовим рахунком № 2203 в ПАТ „Кредит Європа банк” у 2007 – 2009 роках (Систематизовано та побудовано автором самостійно)
Рис.Л.3. Динаміка оборотно-сальдового обороту прострочених кредитів на поточні потреби за активним балансовим рахунком № 2207 в ПАТ „Кредит Європа банк” у 2007 – 2009 роках (Систематизовано та побудовано автором самостійно)
Рис.Л.4. Динаміка оборотно-сальдового обороту нарахування, прострочення та сплати доходів за кредити на поточні потреби за активними балансовими рахунками № 2208, 2209 в ПАТ „Кредит Європа банк” у 2007 – 2009 роках
(Систематизовано та побудовано автором самостійно)
Рис.Л.5. Динаміка оборотно-сальдового обороту довгострокового іпотечного кредитування за активним балансовим рахунком № 2233 в ПАТ „Кредит Європа банк” у 2007 – 2009 роках(Систематизовано та побудовано автором самостійно)
Рис.Л.6. Динаміка оборотно-сальдового обороту нарахування, прострочення та сплати доходів за кредити на поточні потреби за активними балансовими рахунками № 2238, 2239 в ПАТ „Кредит Європа банк” у 2007 – 2009 роках (Систематизовано та побудовано автором самостійно)
ДОДАТОК М
Таблиця М.1
Структура та показники ризикованості портфелю споживчих кредитів населенню в ПАТ «Кредит Європа Банк» на кінець 2008 року (передкризовий стан) [84]
(Систематизовано та побудовано автором самостійно
Рис.М.1. Динаміка структури сум в кредитному портфелі споживчого кредитування в ПАТ «Кредит Європа Банк» в докризовий та на початок кризового періоду (2007 – 2008 роки) (Систематизовано та побудовано автором самостійно)















