1851 (684698), страница 14
Текст из файла (страница 14)
краткосрочных и долгосрочных ресурсов при РЕПО-контрактах
с облигациями НДС (операции с производными ценными
бумагами);
3 этап – кредитование СПД за счет ресурсов, полученных при операциях
по РЕПО-контрактам с облигациями НДС, и получение прибыли
для покрытия затрат на всех этапах комбинации ;
В дипломном проекте разработаны экономико-математические модели всех этапов финансовой комбинации, а на основании полученных корреляционных коэффициентов управления доходностью операций рассчитаны :
-
вероятная номинальная доходность долгосрочной операции с
облигациями НДС при РЕПО – контрактах ресурсного возмещения
инвестированных средств;
- риски от операции с облигациями НДС.
Анализ расчетов показывает, что введение операций производными ценных бумаг ( РЕПО- контрактами) повышает рентабельность простой операции дисконтного учета облигаций НДС с 140 – 400 % до 440 – 810 %, т.е. не менее чем в 2 раза.
Полученные результаты позволяют рекомендовать использование банками облигаций НДС, а разработанные алгоритмы оптимизации параметров финансовой схемы операций могут быть использованы в реальной деятельности коммерческого банка в 2004 –2009 годах.
ПЕРЕЧЕНЬ ССЫЛОК
1. Закон України “Про Національний банк України” // від 20 травня 1999 року N 679-XIV (станом на 10.01. 2002 року N 2922-III)
2. Закон України “ Про банки та банківську діяльність” // від 7 грудня 2000 року N 2121-III (із змінами і доповненнями, внесеними Законом України від 20 вересня 2001 року N 2740-III )
3. ЗАКОН УКРАЇНИ – «Про цінні папери і фондову біржу» // від 18.06. 1991 N 1201-XII ( із змінами на 3.06.1999 N 719-XIV )
4. ЗАКОН УКРАЇНИ – «Про Національну депозитарну систему та особливості електронного обігу цінних паперів в Україні» // від 10.12.1997 N 710/97-ВР
5. Закон України “Про обіг векселів в Україні” // від 5 квітня 2001 2374-III) 6. Закон України “Про господарські товариства”//від 19 вересня 1991 року N 1576-XII ( від 17 травня 2001 року N 2409-III)
7. Закон України “ Про ліцензування певних видів господарської діяльності” // від 1 червня 2000 року N 1775-III (від 5 квітня 2001 року N 2344-III)
8. ЗАКОН УКРАЇНИ «Про державне регулювання ринку цінних паперів в Україні» // от 30 жовтня 1996 року N 448/96-ВР (Із змінами і доповненнями, внесеними Законами України станом на7 лютого 2002 року N 3047-III
9. ЗАКОН УКРАЇНИ «Про оподаткування прибутку підприємств» // В редакції Закону України від 22 травня 1997 року N 283/97-ВР (Із змінами і доповненнями, внесеними Законами України станом на 27.11.2003 N 1344-IV)
10. «Державний контроль за діяльністю фондових бірж, депозитаріїв та торговельно-інформаційних систем» // Рішення Державної комісії з цінних паперів та фондового ринку від 8.05.2001 N 144
11. Інструкція про порядок регулювання діяльності банків в Україні // Постанова Правління Національного банку України від 28 серпня 2001 року № 368 ( Із змінами і доповненнями, внесеними постановами Правління Національного банку України від 12 листопада 2003 року N 489)
12. Про схвалення нової редакції Методики розрахунку економічних нормативів регулювання діяльності банків в Україні //ПРАВЛІННЯ НАЦІОНАЛЬНОГО БАНКУ УКРАЇНИ ПОСТАНОВА від 18 червня 2003 року N 264
13. «Про затвердження Положення про порядок реєстрації випуску акцій і облігацій підприємств та інформації про їх емісію (07-01/98) (у новій редакції)» // Рішення Державної комісії з цінних паперів та фондового ринку від 9.02. 2001 N 18
14. «Положення про реєстрацію фондових бірж та торговельно-інформаційних систем і регулювання їх діяльності» // Наказ Державної комісії з цінних паперів та фондового ринку від 15.01.1997 N 9 /від 25.01.2001 року N 4
15. Про затвердження Ліцензійних умов провадження професійної діяльності на ринку цінних паперів // Наказ Державного комітету України з питань регуляторної політики та підприємництва від 14 березня 2001 року N 49 /від 29 листопада 2001 року N 145
16. Положення про депозитарну діяльність Національного банку України // Постанова Правління Національного банку України від 12.02.2002 N 61 17. “План рахунків в комерційних банках України” +Інструкція “ Правила застосування Плану рахунків в комерційних банках України”// Постанова Правління НБУ № 388 від 21.11.1997 (в редакції змін Постанови НБУ від 10.09.2002 року N 338 )
18. Положення (стандарту) бухгалтерського обліку 13 "Фінансові інструменти" // Наказ Міністерства фінансів України від 30 листопада 2001 року N 559 (Із змінами і доповненнями, внесеними наказом Міністерства фінансів України від 23 травня 2003 року N 363)
19. Правила здійснення операцій на міжбанківському валютному ринку Ук раїни // Постанова Правління Національного банку України від 18 березня 1999 року N 127 (Із змінами і доповненнями, внесеними постановами Правління НБУ станом на 17 вересня 2003 року N 400)
20. Правила випуску та обігу фондових деривативів // Затверджено рішенням Державної комісії з цінних паперів та фондового ринку від 24 червня 1997 р. N 13 (Із змінами і доповненнями, внесеними рішенням Державної комісії з цінних паперів та фондового ринку від 20 листопада 2001 року N 336 )
21. Про впорядкування випуску та обігу деривативів // Рішення Державної комісії з цінних паперів та фондового ринкувід 13 квітня 1999 року № 70
22. Правила здійснення депозитних операцій для банківських депозитів і Правила випуску та обігу валютних деривативів// Постанова Правління
Національного банку України від 7 липня 1997 року N 216 (Із змінами і доповненнями, внесеними постановами Правління Національного банку України станом на 31 жовтня 2000 року N 427 )
23. Щодо відображення в бухгалтерському обліку операцій з ф'ючерсними контрактами, базовим активом яких є курс або крос-курс іноземної валюти // НАЦІОНАЛЬНИЙ БАНК УКРАЇНИ ЛИСТ від 11.11.2003 р. N 12- 111/1508-8254
24. Банківські операції. Підручник/ А.М.Мороз, М.І.Савлук, М.Ф.Пудовкіна та інш. Київ: КНЕУ, 2000.
25. Банковское дело: Учебник /Под ред. О.И.Лаврушина – Москва, «Финансы и статистика», 1998 – 576 с.
26. Биржевая деятельность. Под ред. Грязновой А. Г., Корнеевой Р. В., Галанова ВА. — М., 1995.
27. Бригхем Ю., Тапенски Л. Финансовый менеджмент. — СПб., 1997.
28. Буренин А.Н. Рынок ценных бумаг и производных финансовых инструментов”- М., ИНФРА-М, 1998 г.
29. Буренин А.Н. Рынки производных финансовых инструментов — М., ИНФРА-М, 1996.
30. Вейсвейллер Р. Арбитраж: возможности и техника операций на финансовых и товарных рынках. М., 1994.
31. Винокуров Д. Опціон як інструмент податкової оптимізації //«Податки та бухгалтерський облік», 17 грудня 2001 р., № 101 (450), с. 37
32. Гитман Л. Дж., Джонк М. Д. Основы инвестирования. — М., 1997 .
33. Головач А.В. , Захожай В.Б., Головач Н.А. Банківська статистика . – Київ, Українсько-фінський інститут менеджменту та бізнесу, 1998.
34. Деньги. Кредит. Банки. Ценные бумаги. Учебное пособие для ВУЗов.// Под ред.Проф. Е.Ф.Жукова.- М.: ЮНИТИ-ДАН, 2001.
35. Де Ковни Ш., Такки К. Стратегии хеджирования. — М., 1996.
36. Драчов С.Н. Фондовые рынки: основные понятия, механизмы, терминология - М.,1992 г.
37. Ефимова М.Р., Петрова Е.В., Румянцев В.Н. и др. Общая теория статистики: Учебник. – Москва: Инфра-М, 1998.
38. Коцовська Р., Ричаківська В та інш. Операції комерційних банків – Львів : ЛБІ НБУ, 2001
39. Миркин Я.М. Ценные бумаги и фондовый рынок. М., Перспектива, 1995
40. Мертенс А.В. Инвестиции : Курс лекций по современной финансовой теории. – К.: Киевское инвестиционное агентство, 1997, 416 с.
41. О'Брайен, С. Шривастава. Финансовый анализ и торговля ценными бумагами. — М., 1995.
42. Рынок ценных бумаг / под ред. В.А.Галанова,А.И.Басова – М.: Финансы и статистика, 1996
43. ТОРГОВІ ПРАВИЛА Асоціації "Перша Фондова Торгівельна Система" // 15 травня 1996 року протокол N 4/ 1 червня 2001 року N 7
44. Шлапак О., Пушкарьов В., Карчева Г. Фінансовий стан, тенденції та проблеми функціонування та розвитку банків в 2002 році // „Вісник
Національного банку України” , № 3, 2003
45. Шарп У., Александер Г., Бейли Дж. Инвестиции. — М., 1997.
46. Internet Web, сайт: http://www.mfc.ru/ecc/bulletin/003/isda.html
47. Офіційний сайт АКБ “Приватбанк” – HTTP://WWW.PRIVATBANK.DP.UA
ПРИЛОЖЕНИЯ
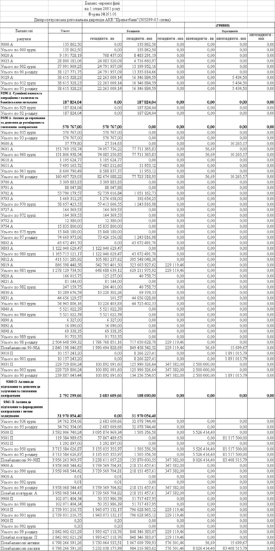
Таблица А.1 – Внебалансовые счета баланса АКБ «Приватбанк» на 01.01.2003
Таблица А.3 – Внебалансовые счета баланса АКБ «Приватбанк» на 01.01.2001















