93270 (681293)
Текст из файла
Реферат
На тему:
«Пороки развития бедра»
Врожденные пороки развития бедра являются относительно редкими, однако среди всех врожденных аномалий нижних конечностей уродства тазобедренного сустава и бедра стоят на первом месте. По нашим данным, врожденные дефекты бедра составляют 1,2% по отношению ко всем уродствам.
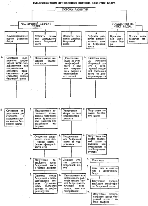
Классификация пороков развития бедра очень сложна. Нередко формы пороков и типы их бывают сочетанными или переходят один в другой. Необходимость же систематизации пороков развития бедра очевидна, так как она не только облегчает характеристику типов деформации, но и позволяет решать многие вопросы лечения. Существует несколько классификаций пороков развития бедра, остановимся на некоторых из них. Steindler, используя классификационные группы Reiner, несколько изменил их:
1- я группа – односторонняя coxa vara без нарушения формы других сегментов бедренной кости и без укорочения;
2- я группа – недоразвитие проксимального конца бедра, задержка окостенения ядер при нормальном развитии диафиза и Дистального конца бедренной кости;
3- я группа – недоразвитие бедренной кости в целом;
4- я группа – наличие синостоза между бедренной и большеберцовой костями;
5- я группа – при нормально развитом проксимальном конце бедренной кости имеется недоразвитие дистального Конца бедра.
Существующие классификации Reiner, Drehman, Wilson имеют существенный недостаток, заключающийся в отсутствии четкого разграничения локализаций и типов пороков развития бедра, что затрудняет пользование этими классификационными группами.
Мы считаем целесообразным предложить новую классификацию врожденных пороков бедра, позволяющую более четко решать вопросы лечения в зависимости от локализации порока.
Все пороки развития бедра мы делим на 2 большие группы: 1) тотальный дефект бедра и 2) частичный дефект бедра.
К I группе отнесено два типа пороков: врожденное отсутствие конечности и полное недоразвитие бедра.
Во II группу включены следующие подгруппы:
А – дефекты развития в области проксимального конца бедренной кости;
Б – дефекты развития диафиза бедренной кости;
В-дефекты развития в области дистального конца бедренной кости;
Г – комбинированные пороки бедра.
В подгруппу А вошли:
1) синостоз между бедренной костью и вертлужной впадиной. Суставная щель отсутствует;
2) отсутствие головки бедренной кости, иногда с частью метафиза и диафиза, с наличием вывиха или подвывиха в тазобедренном суставе;
3) искривление шейки бедренной кости с укорочением и без такового.
В подгруппу Б включены:
1) укорочение бедра за счет диафизарной части с полным сохранением проксимального и дистального концов;
2) искривление оси диафиза бедренной кости;
3) ложный сустав диафиза бедренной кости;
4) недоразвитие и неправильное развитие мягких тканей бедра.
Подгруппа В состоит из следующих типов пороков:
1) недоразвитие дистального конца бедренной кости;
2) отсутствие дистального конца бедренной кости с частью бедра;
3) синостоз между дистальным концом бедренной кости и большеберцовой костью. Суставная щель отсутствует.
В подгруппу Г вошли:
1) сочетание недоразвития диафизарной части бедренной кости с недоразвитием или неправильным развитием их концов;
2) сочетание недоразвития проксимального и дистального концов бедренной кости или костей голени, при сохранившихся нормальных размерах диафиза.
Каждая из представленных групп имеет свои клинические признаки.
Для групп А, В и частично Г показаны реконструктивные операции с восстановлением формы и соотношений в проксимальном и дистальном концах бедренной кости. Показано применение ауто- и гомопластики, включая пересадку полусуставов и суставов.
Для групп Б и Г показано изменение длины конечностей различными методами с использованием аппаратов Илизарова или Гудушаури, «вставочного фрагмента» из ауто- или гомокости или различного типа остеотомии с последующим металлоостеосинтезом.
Чаще всего пороки развития бедра сочетаются с недоразвитием надколенника и голени.
Полное и неполное недоразвитие бедра. Первые сведения о недоразвитии бедра относятся к древнему времени, когда при раскопках обнаруживали скелеты с конечностями различной длины. Первые публикации о недоразвитии бедра появились в конце XVIII века. В 1737 г. Бленке описал случай дефекта бедра, затем в 1777 г. аналогичное сообщение сделал Кроммелин, в 1812 г. – Меккель, в 1922 г. – Брешт, в 1929 г. – Филь и т. д. В отечественной литературе уродства бедра описали А. В. Судакевич, Н. М. Николаев, В. А. Петрова и др.
Несмотря на редкость этой аномалии, пороки развития бедренной кости среди всех уродств трубчатых костей стоят на первом месте. Особенно редко встречается полное или почти полное отсутствие бедренной кости. Лотайсин отмечает, что у 5 из 23 больных с врожденным дефектом бедренной кости он нашел полное или почти полное отсутствие бедра. Фефер во всей мировой литературе собрал истории болезни 145 больных с врожденным уродством бедра, к которым он добавил свои 4 истории болезни, и только у 10 человек имело место полное отсутствие бедра.
Мы располагаем данными о 173 больных с врожденным уродством бедра и только у 7 обнаружено полное или почти полное отсутствие бедра.
Пороки развития бедра, как указывалось выше, чрезвычайно разнообразны – от небольшой аномалии развития до резко выраженной. Недоразвитию бедра часто сопутствуют другие пороки конечности или их сегментов, чаще оно сочетается с отсутствием надколенника, малоберцовой кости и другими пороками. Диагноз недоразвития бедренной кости несложен, однако поспешное решение об отсутствии бедра у новорожденных может быть ошибочным, известны случаи, когда из имеющегося небольшого рудимента вдруг начинало расти и развиваться бедро.
Клиника. При врожденном недоразвитии бедра прежде всего обращает на себя внимание хромота, степень которой зависит от тяжести порока и степени укорочения конечности. Функция в смежных суставах чаще сохранена, исключая те случаи, когда уродство касается проксимального или дистального концов бедра. С возрастом, а иногда и при рождении, отмечается вместе с недоразвитием бедра его порочная установка и контрактуры в тазобедренном суставе.
Врожденные пороки бедра по клинической и рентгенологической картине бывают самыми различными как по локализации, так и по распространенности. Несмотря на это, общим для всех пороков является: укорочение бедра, сглаженность контуров пораженной конечности, конусообразная форма бедра, ротация конечности кнаружи, перекос и опущение таза в сторону укороченной конечности, атрофия ягодичной мускулатуры на пораженной стороне, сглаженность ягодичной складки, вплоть до полного ее исчезновения, гипотрофия прямой мышцы бедра, эквинусная установка стопы. Иногда вместо гипотрофии мышц на укороченной конечности имеется гипертрофия, особенно это касается четырехглавой мышцы бедра, что можно в некоторой мере объяснить большим отставанием в росте костной части бедра по сравнению с недоразвитием мышечного футляра.
С возрастом укорочение бедра, как правило, прогрессирует. Более четкое представление о степени недоразвития бедренной кости дают данные рентгенографии.
На рентгенограмме укороченной бедренной кости видны следы ее перестройки и вторичных изменений дегенеративно-дистрофического характера, свидетельствующего о срыве компенсации. Эти явления могут проявляться в виде очагов асептического некроза, явлений деформирующего артроза в тазобедренном и коленном суставах. Исходя из рентгенологических данных, пороки развития бедра делят на 6 групп:
1. Отсутствие головки, шейки или верхней части диа-физа бедренной кости.
2. Нормально развитый верхний и нижний концы бедренной кости с укороченной или отсутствующей диафизарной частью,
3. Недоразвитие или отсутствие дистального конца бедренной кости.
4. Недоразвитие бедра в целом равномерно во всех его отделах.
5. Недоразвитие бедренной кости с наличием варусного искривления шейки.
6. Недоразвитие бедренной кости с наличием вывиха или подвывиха ее в тазобедренном суставе.
Как указывалось выше, сила мышц на укороченной из-за недоразвития конечности незначительно снижена при гипоплазии бедренной кости и значительно – при дефекте одного из ее концов, особенно проксимального. Степень снижения силовых качеств мышц бедра при отсутствии его головки и шейки достигает иногда 60–70% силы мышц здорового бедра. Эти показатели аналогичны данным электромиографии. Электрическая активность мышц на укороченной конечности по сравнению со здоровой снижена. В основном это касается мышцы, напрягающей широкую фасцию бедра, ягодичных мышц и др.
Измененной при врожденных уродствах бедра оказывается и периферическая сосудистая сеть. Данные ангиографии свидетельствуют об атипичности расположения сосудов: диаметр магистральных стволов по длиннику неодинаков, имеются очаговые расширения и сужения сосудов.
Значительно выражены изменения в капиллярах. Количество функционирующих капилляров в 1 мм на недоразвитой конечности меньше, чем на здоровой. Структура капиллярной сети приобретает новую форму. Многие капилляры деформированы, некоторые имеют седловидную форму, другие – слишком извилистую, а третьи не имеют формы капилляра, а представлены в виде единого конгломерата. Венозные и переходные отделы расширены, диаметр капилляров неравномерный, могут быть и перетяжки, а между ними хорошо видны развитые тонкие анастомотические веточки, наличие которых между расширенными и деформированными капиллярами свидетельствует о параллельном преобразовании капилляров в ар-терио-венозном анастомозе и новообразовании истинных капилляров, каковыми нужно считать эти тонкие анастомозы. Эти изменения в капиллярах недоразвитой конечности следует связать с нарушением регионарной гемодинамики, обусловленной наличием порока развития конечности в целом.
При укорочении бедра были изменены и данные осциллометрии, которые свидетельствуют о нарушении в укороченной конечности артериального кровообращения. Эти изменения выражались в снижении осцилляторной амплитуды, уменьшении пульсового давления. Асимметрия в тонусе сосудов имела устойчивый характер, что свидетельствует об органическом характере изменений периферических сосудов в недоразвитой конечности. Анализ температурных данных показал, что у большинства больных на укороченной конечности температура может быть повышена от 0,2 до 1,8°, реже – снижена на 0,5–1,0°. Независимо от формы и степени укорочения с увеличением возраста, как указывалось выше, всегда происходит прогрессирование отставания в росте конечности, особенно при дефектах ее проксимального конца, хотя внешне форма бедра может сохраниться.
Лечение данной группы больных должно быть ранним, последовательным и комплексным. Методы лечения при врожденном укорочении конечности освещены в литературе недостаточно. В основном они сводятся к компенсации недостающей длины конечности. Укорочение или другой вид недоразвития бедренной кости необходимо лечить в раннем детском возрасте. Для этой цели могут быть использованы операции, стимулирующие рост конечностей за счет активизации функции ростковых зон.
Для ускорения роста трубчатых костей в длину применялись различные физические, химические и биологические способы воздействия на ростковую зону. К их числу относятся: отслойка надкостницы в области ме-тафиза, введение различных химических веществ, штифтов из слоновой кости, меди, серебра и других материалов.
С этой же целью применяли тепловое влияние, создание вблизи ростковой зоны очагов воспаления. Все эти методы давали сравнительно небольшой эффект и действовали кратковременно.
В Советском Союзе проблему стимуляции роста костей стали разрабатывать с 30‑х годов нашего столетия. Т. С. Зацепин в 1930 г. предложил для удлинения укороченных конечностей вследствие перенесенного полиомиелита вводить вблизи ростковых зон штифты из бульонной кости. Эта операция давала определенный эффект. Последователями ее явились В.В. Геликонова, В.И. Москвин, 3. И. Шнейдеров, Т.Я. Сеглынь и др. Несмотря на значительное количество опубликованных у нас и за рубежом статей по удлинению конечностей, до сих пор существует противоречивое мнение о целесообразности использования различных способов стимуляции роста длинных трубчатых костей. Это расхождение во мнениях связано, во-первых, с различным контингентом больных по диагнозу, возрасту и, во-вторых, с разными методами стимуляции и оценки полученных результатов.
По нашему мнению, наиболее эффективным методом стимуляции является хирургический. Операцию стимуляции роста бедренной кости следует проводить на первом году жизни ребенка, начиная с 2,5–3‑месячного возраста до 3 лет, затем ее следует повторить в период полового созревания (11–14 лет) – это периоды естественной активизации функции ростковой зоны у детей и операция стимуляции в этот период дает наибольший эффект. В качестве стимуляторов мы предложили штифты из гомо- и гетеро-кости, консервированные в течение 2–3 месяцев при температуре – 25°.
Операция стимуляции заключается во введении костных штифтов, размером 3–4 см, толщиной 0,4–0,5 см, вблизи ростковых зон проксимального и дистального эпифизов. Обязательным условием этих операции является наличие рентгенограмм обоих бедер на одной пленке и последующие контрольные аналогичные снимки, сделанные в абсолютно тех же условиях, чтобы определить, на сколько сантиметров выросла укороченная конечность после стимуляции и здоровая за определенный временной промежуток.
Проведенные нами экспериментальные исследования на 120 белых крысах, которым осуществляли аналогичную операцию, подтвердили стимулирующее действие на ростковую зону вводимых трансплантатов.
Опыты проводили на крысятах месячного возраста с укороченными конечностями от рождения. Модель врожденного порока получена путем внутрибрюшинного введения беременным крысам – самкам на 9–13‑й день беременности 6‑меркап-топурина. У рожденного ими потомства выявлялись врожденные дефекты конечностей. Эти крысята и отбирались для опыта.
Стимулирующее действие трансплантатов на ростковую зону проявляется усилением новообразования клеточных элементов эпифизарного хряща, что ведет к ускорению формирования костных трабекул вблизи ростковой зоны и способствует интенсификации роста костей в длину.
Присутствие костных трансплантатов вблизи зоны роста в первые недели ведет к утолщению пролифератив-ного слоя, в более поздние сроки – дегенеративного слоя эпифизарного хряща. Усиленная пролиферация клеточных элементов эпифизарного хряща ведет к общему утолщению ростковой зоны, а также к появлению различной величины' островков размножения как в пролиферативном, так и в дегенеративном слоях. Кроме того, при введении костных штифтов отмечалось замедление сроков закрытия ростковых зон, то есть удлинялось время ее активного функционирования. Эффект стимулирования роста эпифизарного хряща следует объяснить не только влиянием нейрогуморальных факторов, но и усилением местной гиперемии, возникающей в зоне имплантации.
Метод стимуляции роста бедренной кости, произведенный в первые месяцы и годы жизни ребенка, позволяет предотвратить или снизить дальнейшее прогрессирование его укорочения. Стимуляцию роста длинных трубчатых костей следует расценивать как самостоятельный метод при укорочении конечности, не превышающем 4 см, и как вспомогательный – при значительном укорочении для подготовки к проведению хирургических вмешательств, направленных на выравнивание длины конечностей.
Характеристики
Тип файла документ
Документы такого типа открываются такими программами, как Microsoft Office Word на компьютерах Windows, Apple Pages на компьютерах Mac, Open Office - бесплатная альтернатива на различных платформах, в том числе Linux. Наиболее простым и современным решением будут Google документы, так как открываются онлайн без скачивания прямо в браузере на любой платформе. Существуют российские качественные аналоги, например от Яндекса.
Будьте внимательны на мобильных устройствах, так как там используются упрощённый функционал даже в официальном приложении от Microsoft, поэтому для просмотра скачивайте PDF-версию. А если нужно редактировать файл, то используйте оригинальный файл.
Файлы такого типа обычно разбиты на страницы, а текст может быть форматированным (жирный, курсив, выбор шрифта, таблицы и т.п.), а также в него можно добавлять изображения. Формат идеально подходит для рефератов, докладов и РПЗ курсовых проектов, которые необходимо распечатать. Кстати перед печатью также сохраняйте файл в PDF, так как принтер может начудить со шрифтами.
















