92247 (680531), страница 3
Текст из файла (страница 3)
Як видно з рис.1, з найвищою частотою у хворих виявлялися асоціації мікроорганізмів. Нами не було виявлено суттєвої різниці між питомою вагою моно- та мікст-інфекцій у жінок та чоловіків за виключенням M.genitalium (9,4%), що викликали асимптоматичні запальні процеси слизової оболонки уретри переважно у чоловіків й досить часто в асоціації з G.vaginalis. Найбільша питома вага моно-інфекцій зафіксована для бактерій, в той же час G.vaginalis та M.hominis проявляли себе переважно як члени мікробних асоціацій (рис. 1).
Ми простежили певні закономірності, що стосувалися частоти виділення мікроорганізмів з різних типів біологічних зразків. Для цього порівняли частоту виявлення збудників різного таксономічного походження (кишкова паличка та уреаплазми) у різних типах біологічних зразків з сечовивідних та статевих шляхів жінок та чоловіків, що мали ускладнення у вигляді висхідного запального процесу із розповсюденням інфекції на сечовий міхур та нирки.
Серед обстежених жінок (табл. 3а) та чоловіків (табл. 3б) виділили 3 групи згідно етіології захворювання – бактеріальна моноінфекція (E.coli), моноуреаплазмоз, уреаплазмово-бактеріальна інфекція (U.urealyticum+ E.coli).
Встановлено, що при моноінфекції, спричиненій E.coli, найвища частота виділення спостерігалася у зразках сечі І та II, зскребках з уретри у жінок та секреті передміхурової залози у чоловіків (табл. 3а, б).
Рис. 1. Питома вага моно- та мікст-інфекцій у жінок та чоловіків з запальними захворюваннями сечовивідних та статевих органів
При моноуреаплазмозі частота виділення U.urealyticum із скребків слизових оболонок уретри, цервікального каналу та у мазках піхви становила 100%; у першій порції сечі перевищувала 50% обстежених (табл. 3а). У чоловіків уреаплазми виділяли з найбільшою частотою (100% зразків) з уретри; висока частота виділення збудника була зафіксована в секреті передміхурової залози та еякуляті (88±12%) (табл. 3б). Частота виділення уреаплазм з сечі чоловіків була порівняно невисокою, 38±18% та 25±16% для першої та другої порцій відповідно (табл. 3б). При мікст-інфекції частота виділення кожного збудника у всіх видах матеріалу була різною, але мала тенденцію до підвищення. Середній показник частоти виділення збудника з різних видів матеріалу був найвищим для уреаплазм (табл. 3). У той час як уреаплазми з високою частотою виявлялися у сечі, зскребках з уретри, цервікального каналу та мазках піхви кишкова паличка переважно вражала сечовивідні шляхи жінок.
Таблиця 3
Частота виділення E.coli та U.urealyticum з різних видів біологічних зразків при моно- та мікст-інфекції у жінок (а) та чоловіків (б), (мікробне число≤104 КУО/мл) а)
| Вид збудника, кількість обстежених осіб (n) | Матеріал | ||||||||||
| сеча 1 | сеча 2 | уретра (зскребок) | піхва (мазок) | Цервікс (зскребок) | |||||||
| чис-ло | % | число | % | число | % | число | % | число | % | ||
| E.coli (n=76) | 72 | 95±2 | 54 | 71±5 | 74 | 97±2 | 21 | 41±6 | 15 | 19±7 | |
| U.urealyticum (n=43) | 22 | 51±8 | 16 | 37±8 | 43 | 100 | 43 | 100 | 43 | 100 | |
| U.urealyticum+ E.coli (n=22) | 19 | 86±8 | 16 | 73±10 | 22 | 100 | 22 | 100 | 20 | 91±6 | |
| 22 | 100 | 17 | 77±9 | 19 | 86±8 | 13 | 59±11 | 7 | 32±10 | ||
| б) | |||||||||||
| Вид збудника, кількість обстежених осіб (n) | Матеріал | ||||||||||
| сеча 1 | сеча 2 | уретра (зскребок) | секрет передміхуро-вої залози | еякулят (зскребок) | |||||||
| число | % | число | % | число | % | число | % | число | % | ||
| E.coli (n=9) | 5 | 56±18 | 7 | 78±11 | 4 | 44±18 | 9 | 100 | 0 | - | |
| U.urealyticum (n=8) | 3 | 38±18 | 2 | 25±16 | 8 | 100 | 7 | 88±12 | 7 | 88±12 | |
| U.urealyticum + E.coli (n=10) | 3 | 30±15 | 3 | 30±15 | 5 | 50±17 | 7 | 70±15 | 7 | 70±15 | |
| 7 | 70±15 | 9 | 90±10 | 4 | 40±16 | 10 | 100 | 0 | - | ||
Таким чином, у розділі 3 нами встановлено домінанти мікробного спектру біотопів сечовивідних шляхів та геніталій жінок та чоловіків з інфекційно-запальними процесами із переважанням бактерій та уреаплазм, що досить часто виявлялися в асоціаціях. Простежено закономірності виявлення мікроорганізмів різного таксономічного походження в залежності від нозологічної форми перебігу запального процесу у жінок з домінуванням бактерій, уреаплазм та грибів р. Candida при вульвовагінітах та кольпітах, уреаплазм при висхідному процесі, що розповсюджується з цервікального каналу на органи репродуктивної системи та з уретри на сечовивідні шляхи. Встановлено провідну роль бактерій у асоціаціях з іншими мікроорганізмами при уретропростатитах; хламідій при уретритах; багатокомпонентних асоціаціях бактерій, уреаплазм, хламідій при неплідності у жінок та чоловіків.
У розділі 4 наведено результати дослідження окремих показників, що характеризують стан місцевого імунітету слизових оболонок статевих шляхів у жінок з визначеними етіологічними чинниками. Хворі були розподілені на групи з бактеріальною, уреаплазмовою та мікотичною (кандидоз) хламідійною інфекцією. Хворих з урогенітальним хламідіозом та уреаплазмозом розділили на групи з моно- та мікст-інфекцією. До контрольної групи увійшли здорові особи, що проходили комплексне обстеження при плануванні вагітності.
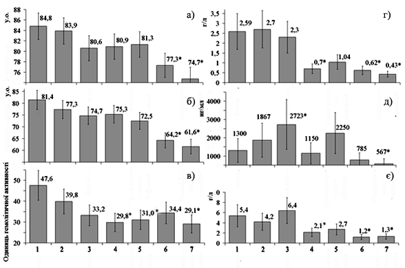
При вивченні функціональної активності фагоцитуючих клітин (ФАФК) було показано тенденцію до зниження цього показника в усіх групах хворих (рис 2а). Слід підкреслити, що у групі хворих з хламідійною інфекцією відбувалося достовірне зниження показника ФАФК (77,3±2,3 та 74,7±2,1) відносно контролю (84,8±2,5; р<0,05) (рис 2а). Відповідно до біологічних властивостей хламідій, механізми фагоцитозу є неефективними щодо цього збудника. Як відомо з роботи Minsheng Xia et al., супресивну дію C.trachomatis забезпечують ферменти, дія яких спрямована на порушення в уражених клітинах транскрипції широкого спектру протективних факторів, регуляторних механізмів та рецепторно-сигнальних систем уражених клітин (Xia M. et al., 2003). З цього боку пригнічення ФАФК за наявності хламідійної інфекції можна розглядати як адаптаційне пристосування збудника, що сприяє дисемінації хламідій через явище незавершеного фагоцитозу. При мікст-інфекції порушення фагоцитозу призводить до ускладнення етіологічної структури захворювання нашаруванням іншої умовно-патогенної флори із формуванням багатокомпонентних мікробних асоціацій.
При вивченні функціональної активності фагоцитуючих клітин (ФАФК) було показано тенденцію до зниження цього показника в усіх групах хворих (рис 2а). Слід підкреслити, що у групі хворих з хламідійною інфекцією відбувалося достовірне зниження показника ФАФК (77,3±2,3 та 74,7±2,1) відносно контролю (84,8±2,5; р<0,05) (рис 2а). Відповідно до біологічних властивостей хламідій, механізми фагоцитозу є неефективними щодо цього збудника. Як відомо з роботи Minsheng Xia et al., супресивну дію C.trachomatis забезпечують ферменти, дія яких спрямована на порушення в уражених клітинах транскрипції широкого спектру протективних факторів, регуляторних механізмів та рецепторно-сигнальних систем уражених клітин (Xia M. et al., 2003). З цього боку пригнічення ФАФК за наявності хламідійної інфекції можна розглядати як адаптаційне пристосування збудника, що сприяє дисемінації хламідій через явище незавершеного фагоцитозу. При мікст-інфекції порушення фагоцитозу призводить до ускладнення етіологічної структури захворювання нашаруванням іншої умовно-патогенної флори із формуванням багатокомпонентних мікробних асоціацій.
Показники бактерицидної активності фагоцитуючих клітин (БАФК) відтворювали картину з ФАФК з однаковою закономірністю (рис 2б).
Стосовно гуморальних факторів, нами було виявлено тенденцію до зниження активності комплементу при виявленні тих чи інших збудників, що поглиблювалась у напрямку від групи з бактеріальною інфекцією до групи з хламідійною моно-інфекцією (р>0,05); зниження ставало достовірним у хворих з уреаплазмовою моно- та мікст та хламідійною мікст-інфекцією (р<0,05) (рис 2в).
Лізоцим (мурамідаза) відіграє роль безпосереднього фактору бактерицидності слизових оболонок та бере активну участь у формуванні резистетності до тих видів мікроорганізмів, що мають клітинну стінку (Добротина Н.А., 1987). У групі хворих з бактеріальною та кандидозною інфекцію суттєвих змін відносно до контролю не виявлено. Одночасно, у групах хворих з уреаплазмовою та хламідійною інфекцією встановлена достовірна супресія активності мурамідази (0,70 та 0,62 г/л відповідно, р<0,05). При уреаплазмозі, поєднаному з бактеріальною інфекцією, зниження рівня лізоциму відбувалося у меншому ступені, що певною мірою пов’язано із стимуляцією секреції лізоциму за наявності антигенів умовно-патогенних бактерій; при хламідійній мікст-інфекції мало місце достовірне зниження цього показника за рахунок високої частоти поєднаної уреаплазмово-хламідійної інфекції (рис 2г).
Рис. 2. Рівні визначених показників у змивах з цервікального каналу обстежених. а) ФАФК; б) БАФК; в) активність комплементу; г) рівень лізоциму; д) рівень лактоферину; є) концентрація секреторного IgA. 1 – контрольна група; 2 – бактеріальна інфекція; 3 – кандидоз; 4 – уреаплазмова моно- інфекція; 5 – уреаплазмова мікст-інфекція; 6 – хламідійна моно-інфекція; 7 – хламідійна мікст-інфекція. * - достовірно
Рівень лактоферину у змивах з цервікального каналу жінок за відсутності патології коливався в межах 800-1800 нг/мл (середній – 1300 нг/мл), що наближується до середнього сироваткового рівня (1000 нг/мл) (Сухарев А.Е. и др., 1990). Широкий діапазон допустимих значень цього показника у жінок можна пояснити особливостями гормонального статусу – фазою оваріального циклу та рівнем пролактину. У жінок з бактеріальною та кандидозною інфекцією рівень лактоферину коливався від майже незміненого при моно-інфекції до 3000-6000 нг/мл при мікст-інфекції з C.albicans (рис 2д). У хворих з моно-уреаплазмовою, моно- та мікст- хламідійною інфекціями відбувалося зниження рівня лактоферину у значних межах. При мікст-уреаплазмовій інфекції зниження рівня лактоферину не спостерігали за рахунок супутнього кандидозу. Нашарування умовно-патогенної інфекції, що в багатьох випадках спостерігається за наявності хронічного запального процесу хламідійної етіології, може бути пов’язано саме із зниженням рівня цього бактерицидного агента.
Загальні імуноглобуліни класів А та G виявлялися у змивах в слідових кількостях, характеризуючи не стільки рівень антитілоутворення пулом В-клітин слизової оболонки, скільки рівень ексудації з кровотоку (рис. 2є). Зниження рівню sIgA, в більшості випадків суттєве, було відмічено у всіх групах хворих, за виключенням групи жінок з кандидозом. У цій групі ми спостерігали підвищення середнього рівня sIgA (6,4±1,8 г/л) на 18% по відношенню до контролю (5,4±1,6 г/л; р>0,1). У групах жінок з уреаплазмовою інфекцією нами відмічено більш ніж двократне (р<0,05) зниження середнього рівня sIgA, причому у групах з моно- та мікст-інфекцією рівень секреторного IgA знаходився практично на одному рівні (2,1±0,4 та 2,7±0,5 г/л). У змивах з слизової оболонки цервікального каналу жінок з хламідійною інфекцією рівень sIgA був знижений на 80% (р<0,01) по відношенню до контрольних показників. У групах хламідійною моно- та мікст-інфекцією не було виявлено достовірної різниці між цими показниками – 1,2±0,2 г/л та 1,3±0,2 г/л (рис.2є).
Таким чином, тенденція до поглиблення ступеню пригнічення бактерицидної активності фагоцитуючих клітин, рівнів sIgA та активності коплементу спостерігалася у напрямку від групи з бактеріальною інфекцією до груп з хламідійною моно- та мікст-інфекцією. Системне пригнічення факторів неспецифічної резистентності слизової оболонки за наявності хламідійної та уреаплазмової інфекції може бути спричинено:
-
безпосередньою імуносупресивною дією збудника;
-
низькою імуногенністю збудників та зведеним до мінімуму їх контактом з імунною системою, що в свою чергу негативно відбивається на презентації антигену, сприяє слабкій антитільній відповіді або взагалі її відсутності; недостатність реакції антиген-антитіло в свою чергу призводить до неефективності класичного шляху активації комплементу, неефективності або відсутності опсонізації та, як наслідок – неефективності фагоцитозу;
-
впливом факторів патогенності збудників – антикомплементарної, антилізоцимної активності уреаплазм, антигенної мімікрії, ферментних систем хламідій, що блокують транскрипцію молекулярних протективних факторів клітин;
-
реактивним пристосуванням макроорганізму, своєрідним самообмеженням імунної відповіді, спрямованим на запобігання розповсюдження інфекційного чинника, та обмеження можливої аутоагресії – наприклад, за рахунок антагоністичної, за певних умов, активності лактоферину по відношенню до системи комплементу.
У розділі 4 ми також дослідили динаміку показників, що характеризують протективні властивості слизових оболонок геніталій у жінок, що мали клініко-мікробіологічний – позитивний чи негативний результат патогенетичного та етіотропного лікування. До даного дослідження хворих було відібрано методом випадкової виборки. Ми розглянули групу жінок з етіологічним чинником U.urealyticum – цей мікроорганізм виявлявся з найвищою частотою і, як нами доведено, здатний одночасно інфікувати органи сечової та репродуктивної системи із висхідним поширенням інфекційно-запального процесу, і виявлявся з найвищою частотою. У динаміці лікування нами було обстежено 14 жінок з урогенітальним уреаплазмозом. Всі хворі проходили стандартний курс лікування уреаплазмозу (згідно з МКХ-10) з використанням антибіотиків тетрациклінового та макролідного рядів (МКХ-10, 1996).
У хворих, що мали позитивний клінічний ефект при застосуванні адекватної терапії показник БАФК до лікування був зниженим, а після лікування підвищувався практично до рівня фізіологічної норми у всіх обстежених (рис. 3). У групі хворих без клінічного ефекту ці показники не мали суттєвої динаміки, а у окремих хворих достовірно знижувались. Відповідною була й функціональна активність фагоцитуючих клітин. У хворих з позитивним ефектом лікування цей показник суттєво підвищувався. У хворих, що не мали позитивного ефекту лікування показник ФАФК знижувався, що свідчить про виснаження клітинної ланки фагоцитозу (рис. 3).
При вивченні рівня лізоциму було з’ясовано, що до лікування цей показник був суттєво знижений відносно контролю. У жінок з позитивним результатом лікування рівень лізоциму суттєво підвищувався, а у хворих без лікувального ефекту залишався зниженим. Подібну картину спостерігали стосовно рівня активності комплементу: суттєве зниження у хворих до лікування, позитивну динаміку у хворих з ефективним лікуванням й низьку його активність у жінок без ефекту лікування (рис. 3). Показовими виявилися результати дослідження концентрації лактоферину (рис. 3). У хворих з позитивним клінічним ефектом лікування концентрація лактоферину наближається до фізіологічної норми і суттєво не змінюється у жінок без ефекту лікування. Стосовно концентрації секреторного імуноглобуліну А (sIgA) нами встановлено, що у хворих з позитивним результатом лікування рівень секреторних імуноглобулінів мав виражену тенденцію до зростання, але не досягав значень фізіологічної норми. У хворих з відсутністю ефекту лікування рівень sIgA був суттєво зниженим як до, так і після лікування.
|
| 1. ФАФК 2. БАФК 3. Активність комплементу 4. Рівень лізоциму 5. Рівень лактоферину 6. Концентрація sIgA |
Рис. 3. Показники, що характеризують стан місцевого імунітету до та після лікування жінок, хворих на уреаплазмоз, в залежності від його ефективності: а) позитивний клінічний ефект; б) без ефекту.
Таким чином, отримані нами результати досліджень стану місцевого імунітету дозволили на конкретних прикладах показати, що ефективність лікування залежить не тільки від призначення етіотропних препаратів, але й від позитивної динаміки показників, що характеризують стан імунного реагування. Слід зазначити, що саме цей стан певною мірою залежить від маніфестного або прихованого перебігу інфекційного процесу, виду та біологічних властивостей збудника.
У розділі 5 проаналізовано цитоморфологічні аспекти адаптаційно-компенсаторних змін, що відбуваються у слизових оболонках сечостатевих органів за наявності інфекційно-запального процесу із визначеною етіологією.
За допомогою цитологічного аналізу ми поставили за мету описати прояви хламідійної інфекції на клітинному рівні. Зазвичай, коли йдеться про цитологічну діагностику хламідійної інфекції мається на увазі визначення цитоплазматичних включень. Однак, за даними літератури такі включення трапляються лише у 10-30% хворих (Мавров И.И., 1979; Ильин И.И., 1991; Хмельницкий О.К., 1999; Мортон Р.С., Кингхорн Дж.Р., 2000). До того ж, структури, подібні до хламідійних включень, можуть продукуватись клітинами за різних фізіологічних умов, та, в багатьох випадках, можуть зустрічатися у хворих за відсутності хламідійної інфекції. Саме з цієї причини доцільність застосування цитологічного методу в діагностиці урогенітального хламідіозу на сьогодні є обмеженою і потребує додаткових методів досліджень. Однак, цитопатична дія C.trachomatis є відомим фактом – вона полягає у формуванні ряду порушень, пов’язаних із зміною метаболічного стану уражених клітин (Шаткин А.А., Попов В.Л., 1986; Яковлев В.М., Новиков А.И., 2000; Xia M. et al., 2003). У розділі 5 наведено аналіз цитологічної картини хламідійної інфекції за двома критеріями – наявність цитоплазматичних включень та наявність специфічних рис клітинної реакції на дію збудника. Результати аналізу частоти виявлення цитоплазматичних включень у жінок та чоловіків з встановленою хламідійною інфекцією за сукупністю методів (ПЛР, РІФ та ІФА) наведені у табл. 4.
Як видно, у одного хворого можуть зустрічатись клітини, що мають характерні включення та сумнівні. Практично у всіх хворих з характерними включеннями також були присутні й сумнівні. У частини хворих включення не виявлялися взагалі. Виходячи з даних табл. 5, стає очевидним достатньо високий ризик хибнопозитивних результатів цитологічного дослідження, особливо якщо орієнтуватися на включення із сумнівною морфологією. Найбільша частота їх виявлення мала місце у епітеліальних клітинах з слизової оболонки уретри жінок – у 40,7% випадків. Ці включення можуть утворюватися за різних станів, пов’язаних із зміною метаболічних процесів клітини (рис. 4б).
Таблиця 4
Частота виявлення цитоплазматичних включень у хворих з встановленою хламідійною інфекцією за сукупністю методів (ПЛР, РІФ, ІФА)
| Включення: | Чоловіки, зскребки з уретры (n=57) | Жінки, зскребки з: | |||||
| уретри (n=39) | цервікального каналу (n=39) | ||||||
| абс. число | %, М±m | абс. число | %, М±m | абс. число | %, М±m | ||
| Виявлено усього: | 41 | 72±6,0 | 28 | 70±6,0 | 20 | 51±8,0 | |
| Характерні | 14 | 24±6,0 | 22 | 56±8,0 | 10 | 25±7,0 | |
| Сумнівні* | 39 | 68±6,0 | 28 | 70±6,0 | 17 | 44±8,0 | |
| Не виявлено | 16 | 28±6,0 | 11 | 28±7,0 | 19 | 49±8,0 | |
Примітка: * - через значний поліморфізм ендоцитоплазматичних мікроколоній C.trachomatis та певної їх подібності до цитоплазматичних включень іншої природи частину з них не можливо чітко віднести до характерних
Хламідійна урогенітальна інфекція є одним з тих захворювань, що потребуть зведення даних дискретних досліджень у єдину картину шляхом дослідження локальних змін епітелію та місцевої імунної відповіді. При перебігу інфекційно-запального захворювання, спричиненого хламідіями, спостерігається значний поліморфізм клінічних проявів та результатів лабораторних досліджень.
Таблиця 5
Частота виявлення цитоплазматичних включень у хворих з виключеною хламідійною інфекцією за сукупністю методів (ПЛР, РІФ, ІФА)
| Включення: | Чоловіки, зскребки з уретри (n=48) | Жінки, зскребки з: | ||||
| уретри (n=113) | цервікального каналу (n=113) | |||||
| абс. число | %, М±m | абс. число | %, М±m | абс. число | %, М±m | |
| Виявлено, усього | 5 | 10±4,0 | 46 | 40±5,0 | 17 | 13±4,0 |
| Характерні | 0 | 0 | 3 | 3±2,0 | 0 | 0 |
| Сумнівні | 5 | 10±4,0 | 46 | 40±5,0 | 17 | 13±4,0 |
| Не виявлено | 43 | 90±4,0 | 67 | 53±5,0 | 96 | 85±3,0 |
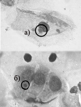
Рис. 4. Цитоплазматичні включення, характерні для хламідій, в метаплазованих (а), та сумнівні (можливо, секреторні гранули) в практично незмінених (б) клітинах циліндричного епітелію уретри.
При дослідженні клітинної реакції за наявності інфекційно-запального процесу, спричиненого C.trachomatis, нами було виявлено зміни, що стосувалися характеру групування клітин в зскребках - порушення міжклітинних контактів із розпушенням клітинного шару; явища плоскоклітинної метаплазії; дегенеративно-дистрофічні зміни із щільною вакуолізацією та некрозом цитоплазми; осередкова проліферація з явищами клітинного поліморфізму. Ці зміни характеризують порушення проліферативно-репаративної реакції на запалення, що полягають у дискоординації некротичних та проліферативних процесів клітин із розвитком плоскоклітинної метаплазії шляхом втрати специфічних рис циліндричного епітелію. Найбільш активно метаплазія та проліферація з явищами клітинного поліморфізму була представлена у зскребках з слизової оболонки уретри жінок (50±17%) та чоловіків (64±13%). Реактивні зміни епітеліальних клітин цервікального каналу характеризувалися дезорганізацією епітеліального шару, більш вираженими дегенеративно-дистрофічними процесами (34±9%), проліферацією (60±16%) з меншим ступенем клітинного поліморфізму (32±9%), ніж в уретрі (50±17%). За наявності хламідійної мікст-інфекції цитологічні ознаки клітинної реакції були виражені у більшому ступені, ніж при моно-інфекції – особливо це стосувалося дегенеративно-дистрофічних змін як у жінок, так і у чоловіків. Лейкоцитарна реакція була не вираженою при хламідійній моно-інфекції; за наявності мікст-інфекції кількість лейкоцитів доходила до 5-7-10 у зскребках уретри чоловіків, та до 10-15-25 у зскребках цервікального каналу жінок.
При порівняльному аналізі цитограм хворих з встановленою хламідійною інфекцією (табл. 4) у всіх випадках ми відмічали наявність включень на тлі фонових порушень клітинної реакції (рис. 4а), в той час як у групі з виключеною хламідійною інфекцією сумнівні включення спостерігалися на тлі практично незмінених клітин або за наявності дегенеративно-дистрофічних порушень без ознак проліферації та клітинного поліморфізму (рис. 4б).
Таким чином, при паралельному аналізі включень, характерних для хламідій, та клітинної реакції діагностична інформативність цитологічного методу зростає до 72±6%.
При урогенітальному уреаплазмозі ми спостерігали переважно дегенеративно-дистрофічні зміни епітеліальних клітин із помірною проліферацією за відсутності явищ клітинного поліморфізму. Деструктивні зміни епітеліальних клітин мали різний ступінь прояву в залежності від того, чи виявлялися уреаплазми у вигляді моно- або мікст-інфекції. Лейкоцитарна реакція також не була притаманною для уреаплазмової інфекції, однак, за наявності супутньої мікотичної флори кількість лейкоцитів сягала 15-30 у полі зору на імерсії.
При урогенітальному кандидозі спостерігали типову картину запалення з характерною лейкоцитарною реакцією, ступінь якої корелювала з наявністю та кількістю міцеліальних форм грибів.
За наявності гарднерельозу мали місце помірні дегенеративно-дистрофічні зміни епітеліальних клітин. Характер адгезії мікроорганізмів варіював за інтенсивністю в залежності від фази оваріально-менструального циклу, що пов’язано із тропністю гарднерел до зрілих клітин проміжного шару (Брилене Т.А., Брилис В.И., 1986).
Таким чином, при дослідженні стану зскребків епітеліальних клітин слизових оболонок уретри у чоловіків та жінок та цервікального каналу у жінок з запальними захворюваннями різної етіології нами були встановлені цитоморфологічні особливості перебігу цих захворювань на клітинному рівні. Наявність морфологічних змін, притаманних епітеліальним клітинам, й описаних нами при хламідійній та уреаплазмовій інфекції, може орієнтувати лікаря-лаборанта в установленні попереднього етіологічного діагнозу, що збільшує інформативність цитологічної діагностики.
ВИСНОВКИ
Дисертація присвячена актуальній проблемі клінічної мікробіології – вдосконаленню методів лікування хворих на інфекційно-запальні захворювання сечовивідних шляхів та геніталій шляхом підвищення інформативності етіологічної діагностики та визначення стану протективних факторів уражених слизових оболонок. Здійснено наукове узагальнення отриманих результатів, що демонструють зміни стану місцевого імунітету та реакції епітеліальних клітин слизових оболонок сечовивідних та статевих шляхів за умов розвитку інфекційно-запальних процесів, обумовлених збудниками різного таксономічного походження – бактеріями, молікутами, хламідіями, грибами р. Candida та асоціаціями названих мікроорганізмів. Результати дослідження є підгрунтям для вдосконалення ефективності лікування хворих, що страждають на урогенітальні інфекції.
-
Встановлено домінування умовно-патогенних бактерій (53,9%) у жінок та чоловіків з різними нозологічними формами інфекційно-запальних захворювань сечовивідних шляхів та статевих органів. У 21,7% випадків бактерії виявлялися у вигляді моно-інфекції. Найчастіше виділялися представники різних видів стрептококів (64,3%), зокрема S.faecalis (24,3%), ентеробактерії (25,8%), серед яких превалювали E.coli (19,9%), та стафілококи (19,0%) – переважно S.epidermidis. У жінок бактерії найчастіше виявляли при запальних захворюваннях слизової оболонки вульви (74%), інфекціях нирок та сечовивідних шляхів (67%), кольпітах (65%) та неплідності (59%); у чоловіків - при неплідності (67%), простатиті (53,9%) та уретропростатиті (38%).
-
Уреаплазми було виділено у 37,9% хворих, у 6,2% у вигляді моно-інфекції. З найвищою частотою уреаплазми виділяли у жінок з діагнозом кольпіт (68%), неплідність (62%), при інфекціях нирок та сечовивідних шляхів (50%), цервіциті (47%); у чоловіків частота виділення уреаплазм була достовірно підвищеною при неплідності (75%). Виявлено поширення U.urealyticum в якості збудника інфекційного процесу з висхідним розповсюдженням одночасно в сечовивідних та статевих шляхах. Відмічено збільшення частоти виділення асоціації U.urealyticum та E.coli з різних типів біологічних зразків при одночасному інфікуванні цими збудниками сечовивідних шляхів та статевих органів.
-
Хламідії було виявлено у 13,9% хворих, у 3,6% у вигляді моно-інфекції. З найвищою частотою специфічні нуклеотидні послідовності хламідій виявляли у зскребках з слизової оболонки уретри у чоловіків з уретритами (47±13%), цервікального каналу у жінок з цервіцитами (33±5%). Зафіксовано високу частоту виявлення хламідій при неплідності як у жінок, так і у чоловіків (26±8% та 25±13% відповідно).
-
Встановлено, що досліджені показники активності місцевого імунітету не мали суттєвої різниці від контрольних за наявності бактеріальної та мікотичної інфекції за винятком лактоферину, рівень якого підвищувався при кандидозі. За навності уреаплазмової та хламідійної інфекції спостерігалася супресія активності всіх досліджених показників.
-
Встановлено залежність ефективності терапії урогенітального уреаплазмозу у жінок від стану досліджених факторів місцевого імунітету у змивах з цервікального каналу. У всіх хворих до початку терапії було зафіксовано помірне зниження активності клітинної ланки (на 10-15%) та значну супресію гуморальних факторів місцевого імунітету (на 30-75%). Після проведеного лікування у групі з позитивним клініко-мікробіологічним ефектом спостерігали підвищення показників клітинної ланки практично до рівня відносної норми та позитивну динаміку показників гуморальної ланки локального імунітету. У групі без ефекту лікування показники активності факторів місцевого імунітету практично не змінювались. Курси терапії були неефективними у жінок із суттєвою супресією (на 50-70%) показників гуморальної ланки до лікування.
-
Встановлено особливості клітинної реакції слизової оболонки уретри у жінок і чоловіків та цервікального каналу у жінок при урогенітальному хламідіозі, що проявлялися деструкцією епітеліального покриву, явищами вакуольної дистрофії цитоплазми, каріопікнозу та каріорексису, явищами плоскоклітинної метаплазії та проліферації циліндричного епітелію з ознаками клітинного поліморфізму за відсутності лейкоцитарної реакції.
-
Доведено, що за наявності хламідійної інфекції мікроколонії C.trachomatis виявляються у клітинах циліндричного та метаплазованого епітелію на тлі реактивних змін уражених клітин. При паралельному аналізі цитоморфологічної картини вогнища ураження діагностична інформативність цитологічного методу зростає до 72±6%.
-
Встановлено особливості клітинної реакції слизової оболонки уретри у жінок і чоловіків та цервікального каналу у жінок при урогенітальному уреаплазмозі, що проявлялися посиленням секреції слизу, деструкцією епітеліального покриву, дегенеративно-дистрофічними змінами клітин плоского та циліндричного епітелію, помірною метаплазію.
-
При урогенітальному кандидозі зафіксовано деструктивні зміни багатошарового плоского епітелію піхви та шийки матки на тлі лейкоцитарної реакції. Інтенсивність деструктивних змін залежала від того, які форми грибів виявлялися у біологічних зразках: була значною за наявності міцеліальних форм та вираженої зони лізису навколо вегетативних клітин грибів. За наявності гарднерельозу фіксували дегенеративно-дистрофічні зміни клітин багатошарового плоского епітелію за типом вакуольної дистрофії.
СПИСОК НАУКОВИХ РОБІТ, ОПУБЛІКОВАНИХ ЗА ТЕМОЮ ДИСЕРТАЦІЇ
-
Руденко А.В., Кузьменко А.Є. Стан епітеліальних клітин слизових оболонок сечовивідних та статевих шляхів у хворих, що страждають на урогенітальні інфекції //Лабораторна діагностика. - 2006. - Т.35, №.1. - С.49-56. (Здобувач встановив цитоморфологічні особливості адаптаційно-компенсаторних змін клітин епітеліального покриву сечовивідних та статевих органів у хворих з урогенітальними інфекціями в залежності від етіології запального процесу).
-
Роль інфекційних факторів у формуванні порушень репродуктивного здоров`я сім`ї /Руденко А.В., Ромащенко О.В., Романенко А.М., Білоголовська В.В., Кузьменко А.Є. //Педіатрія, акушерство та гінекологія. -2003.-№3.- С.82-86. (Здобувач проаналізував роль окремих збудників інфекційно-запальних захворювань сечостатевої системи у розвитку порушень фертильності у жінок та чоловіків)
-
Стан місцевого імунітету статевих та сечовивідних шляхів у жінок в нормі та за наявності патології /Ромащенко О.В., Руденко А.В., Лебідь Л.О., Кузьменко А.Є.// Педіатрія, акушерство та гінекологія. - 2005. - №5. - С.93-97. (Здобувач дослідив окремі фактори, що частково характеризують стан місцевого імунітету сечовивідних та статевих шляхів жінок у нормі та за наявності інфекційно-запального процесу)
-
Генітальний герпес та його роль в патології; нові методи лікування /Руденко А.В., Ромащенко О.В., Кругліков В.Т., Рудаков В.О., Кузьменко А.Є., Нестерова Н.В.//Здоровье мужчины. – 2005. - №2. – С.157-160. (Здобувач виконав серологічні дослідження при діагностиці генітального герпесу).
-
Клініко-мікробіологічна характеристика інфекцій сечової системи у жінок /Степанова Н.М., Руденко А.В., Кругликов В.Т., Кузьменко А.Є., Ліксунова Л.О. //Клиническая антибиотикотерапия. – 2005. - №6 (38). – С.33-35. (Здобувач дослідив стан слизових оболонок жіночих сечовивідних та статевих шляхів хворих на пієлонефрит).
-
Продукція ІЛ-1в та ІЛ-6 імунокомпетентними клітинами, активність цих цитокінів в сечі у хворих на хронічні інфекції сечової системи/Дріянська В.Є., Драннік Г.М., Калініна Н.А., Степанова Н.М., Фесенкова В.Й., Драннік Г.Г., Кузьменко А.Є. //Укр.журнал нефрології та діалізу. – 2005. - №1. – С.11-13. (Здобувач дослідив етіологічний спектр збудників хронічних інфекцій сечової системи).
-
Ротова С.О., Руденко А.В., Кузьменко А.Є. Вплив супутніх вогнищ інфекції на ефективність лікування гломерулонефриту. //Укр.журнал нефрології та діалізу. – 2005. - №3. – С.17-20. (Здобувач дослідив мікробний спектр супутніх вогнищ інфекції у хворих на гломерулонефрит)
-
Хламідійна інфекція. Нові методи лікування./Руденко А.В., Ромащенко О.В., Кругліков В.Т., Рудаков В.О., Несторова Н.В., Кузьменко А.Є. //Репродуктивное здоровье женщины. – 2005. - №3(23). – С. 2-7. (Здобувач оцінив стан епітеліального покриву піхви та цервікального каналу у хворих на урогенітальний хламідіоз)
-
Роль местного иммунитета при инфекциях, передающихся половым путем (ИППП)/Руденко А.В., Кругликов В.Т., Ромащенко О.В., Брудько А.П., Кузьменко А.Е., Ленова Л.И. //Анали Мечниковського інституту. – 2003. - №4-5. – С.109. (Здобувач дослідив окремі ланки місцевого імунітету у хворих на урогенітальні інфекції)
-
Kushniruk Yu.I., Rudenko A.V., Kuzmenko A.E. Clinical and microbiological characteristics of chronical bacterial prostatitis//Progrиs en Urologie. – 2005. – Vol.15, №3. – P.33. (Здобувач проаналізував спектр інфекційних збудників у хворих з діагнозом хронічний простатит)
-
Влияние инфицированности мочевой системы U.urealyticum на некоторые показатели активности хронического пиелонефрита /Степанова Н.М., Кундин В.Ю., Гуща Е.В., Петрина Е.П., Малашевская Н.П., Кузьменко А.Е. //Сборник трудов XIII ежегодного Санкт-Петербургского нефрологического семинара. - С.-Пб.: Фолиант, 2005. – С.117-119. (Здобувач дослідив стан слизових оболонок у жінок з уреаплазмозом)
-
Диагностика и лечение хронических рецидивирующих вульвовагинитов микотической этиологии у женщин фертильного возраста /Ромащенко О.В., Руденко А.В., Лебедь Л.А., Кузьменко А.Е. //Успехи медицинской микологии: Материалы второго всероссийского конгресса по медицинской микологии. - 2004. – Т.IV, гл.4. – С.180-181 (Здобувач вивчив роль специфічних імуноглобулінів проти Candida albicans в якості діагностичного критерію у хворих з урогенітальним кандидозом).
-
Значение уровня специфических иммуноглобулинов в диагностике генитального кандидоза /Руденко А.В., Кругликов В.Т., Ромащенко О.В., Прилуцкий А.С., Кузьменко А.Е., Резниченко Н.А. //Сучасні проблеми дерматовнерології, косметології та управління охороною здоров’я: збірник наукових праць.–Харків: Фоліо, 2004. – Вип. 3. - С.246-249. (Здобувач довів високу ефективність серологічного методу у діагностиці різних форм урогенітального кандидозу).
-
Серологические методы в диагностике урогенитального кандидоза /Руденко А.В., Кругликов В.Т., Ромащенко О.В., Прилуцкий А.С., Кузьменко А.Е., Резниченко Н.А.// Успехи медицинской микологии: Материалы второго всероссийского конгресса по медицинской микологии. - 2004. – Т.IV, гл.8. – С.266-268. (Здобувач дослідив рівні специфічних імуноглобулінів проти C.albicans при діагностиці кандидозу методом ІФА)
АНОТАЦІЯ
Кузьменко А.Є. Мікробіологічні, імунологічні та цитоморфологічні паралелі при інфекційно-запальних захворюваннях сечостатевих органів. – Рукопис. Дисертація на здобуття наукового ступеня кандидата біологічних наук за спеціальністю 03.00.07 – мікробіологія. – ДУ «Інститут мікробіології та імунології ім.. І.І. Мечникова АМН України», Харків, 2008.
Дисертація присвячена вдосконаленню методів лікування хворих на інфекційно-запальні захворювання сечовивідних шляхів та геніталій шляхом підвищення інформативності етіологічної діагностики та визначення стану протективних факторів уражених слизових оболонок. Доведено, що умовно-патогенні бактерії та уреаплазми займають провідне місце серед етіологічних чинників інфекційно-запальних захворювань сечовивідних та шляхів та репродуктивних органів. Встановлено, що молікути та хламідії чинять виражену імуносупресивну дію на фактори місцевого імунітету. Доведено, що ефективність етіотропної та патогенетичної терапії суттєво залежить від рівня протективного захисту слизових оболонок. Виявлено зміни клітин епітеліального покриву в залежності від біологічних властивостей збудників. Так, за наявності хламідійної інфекції мають місце порушення проліферативно-репаративної реакції на запалення з явищами клітинного поліморфізму та розвитком плоскоклітинної метаплазії циліндричного епітелію; при уреаплазмозі - посилений розвиток дегенеративно-дистрофічних змін епітеліальних клітин слизових оболонок сечовивідних та статевих шляхів.
Ключові слова: урогенітальний хламідіоз, уреаплазмоз, місцевий імунітет, цитоморфологічна діагностика.
АНОТАЦИЯ
Кузьменко А.Е. Микробиологические, иммунологические и цитоморфологические паралели при инфекционно-воспалительных заболеваниях мочеполовых органов. – Рукопись. Дисертация на соискание научной степени кандидата биологических наук по специальности 03.00.07 – микробиология. – ГУ «Институт микробиологии и иммунологии им. И.И. Мечникова АМН Украины», Харьков, 2008.
Диссертация посвящена актуальной проблеме клинической микробиологии – усовершенствованию методов лечения больных с инфекционно-воспалительными заболеваниями мочевыводящих путей и гениталий путем повышения информативности этиологической діагностики и определения состояния протективних факторов пораженных слизистих оболочек. Обследовано 900 больных (270 мужчин и 630 женщин).
Исследован микробный спектр биотопа мочевыводящих и половых путей, состояние местного иммунитета и особенности клеточной реакции слизистих оболочек у мужчин и женщин с инфекционно воспалительными заболеваниями данной локализации. Доказано, что условно-патогенные бактерии (53,9%), и уреаплазмы занимают ведущее место (37,9%) среди этиологических факторов инфекционно-воспалительных заболеваний мочевыводящих путей и половых органов у мужчин и женщин. Установлено повышение частоты выделения ассоциаций уреаплазм (31,7%), бактерий (32,2%) и грибов (14,6%) из различных типов биологических образцов. Отмечено, что U.urealyticum одновременно поражает как половые органы, так и мочевыводящие пути. Установлено, что микроорганизмы с внутриклеточной локализацией (хламидии) и лишенные клеточной стенки (молликуты), оказывали выраженное иммуносупрессивное действие на такие факторы местного иммунитета как бактерицидная активность фагоцитов, активность комплемента, уровни лизоцима и sIgA. Доказано, что эффективность этиотропной и патогенетической терапии существенно зависит от уровня протективной защиты слизистых оболочек. Этиотропная терапия была неэффективной у больных с резко снижеными показателями местного иммунитета до лечения. Выявлены изменения клеток эпителиального покрова в зависимости от биологических особенностей возбудителей. Так, при наличии хламидийной инфекции, изменения заключались в нарушении пролиферативно-репаративной реакции на воспаление с явлениями клеточного полиморфизма и развитием плоскоклеточной метаплазии цилиндрического эпителия; при уреаплазмозе - в усиленном развитии дегенеративно-дистрофических изменений эпителиальных клеток слизистих оболочек мочевыводящих и половых путей. Развитие воспалительного процесса не сопровождалось лейкоцитарной реакцией.
Ключевые слова: урогенитальний хламидиоз, уреаплазмоз, местный иммунитет, цитоморфологическая диагностика.
SUMMARY
Kuzmenko А.Е. Microbiological, immunological and cytomorphological parallels in infectious inflammatory diseases of genitourinary organs. – Manuscript. The thesis on reception of a scientific degree the Candidate of Biological Sciences on speciality 03.00.07 – microbiology. – SO “The Institute of microbiology and immunology named after I.I. Mechnikov AMS of Ukraine”, Kharkiv, 2008.
The thesis is dedicated to the improvement of treating the patients with infectious inflammatory diseases of urinary tract and genitals by means of increasing the informative etiological diagnostics and defining the state of protective factors of the impared mucous membranes. The opportunistic bacteria and ureaplasmas were proved to be on the leading place among the etiological causes of the infectious inflammatory diseases of the urinary tract and reproductive organs. The Mollicutes species and Chlamydia were stated to exert the marked influence on the factors of local immunity. It was proved that the efficiency of etiotropic and pathogenetic therapy essentially depends on the level of protective defence of mucous membranes. The changes were found in the cells of epithelial lining, depending on the biological properties of pathogens. Thus, at the chlamydial infection presence, the disorders in proliferative and reparative response to the inflammation with the events of cellular polymorphism and the development of squamous cell metaplasia of cylindrical epithelium take place; at the ureaplasmosis presence, the enhanced development of degenerative and dystrophic changes of epithelial cells of mucous membranes in urinary and genital tracts were found.
Keywords: genitourinary chlamydiosis, ureaplasmosis, local immunity, cytomorphological diagnostics.
0>0>0>0>0>















