88847 (677790), страница 3
Текст из файла (страница 3)
Препарат "буспирон"
| Группы: |
| ||
| Действие: |
| ||
| Механизм: |
| ||
| Показания: |
| ||
| Побочный эффект: |
| ||
| Время |
|
СПИСОК ЛИТЕРАТУРЫ
И ДРУГОЙ ИСПОЛЬЗУЕМОЙ ИНФОРМАЦИИ
-
Руководство к лабораторным занятиям по фармацевтической химии Под ред. А.П. Арзамасцева. М. 2001
-
Журнал Кремлевская медицина 1993г
-
Интернет сервер www.neuro.net.ru
-
Справочник по фармакологии Машковский 2001г
-
Государственная фармакопеея 10 изд.
-
Государственная фармакопеея 11 изд.
-
Интернет сервер www.medinfo.ru
-
Беликов «О фармацевтической химии»
-
Российский медицинский журнал www.rmj.ru
-
Интернет сервер www.medline.ru
-
«Фармакология» Харкевич 2001г
-
Интернет сервер www.medlook.ru
-
Справочник по фармакологии Видаль 2001г
ПРИМЕНЕНИЕ ТРАНКВИЛИЗАТОРОВ БЕНЗОДИАЗЕПИНОВОГО РЯДА ДЛЯ КОРРЕКЦИИ СТРЕССОРНЫХ РАССТРОЙСТВ
Вместе с тем для коррекции стрессорных расстройств широкое применение в клинической практике нашли транквилизаторы бензодиазепинового ряда, которые, как выяснилось, сами способны нарушать процессы обучения и памяти (Т.А.Воронина, 1992), подавляя тем самым активную адаптацию организма (В.И.Петров, 1997). Кроме того, не всегда принимается во внимание, что использование бензодиазепиновых препаратов должно быть ограничено у данного контингента в связи со склонностью к аддиктивному поведению, а также ситуационному употребление алкоголя, наркотиков, других психоактивных веществ.
ХИМИЧЕСКИЕ СВОЙСТВА И ОПРЕДЕЛЕНИЕ ПОДЛИНННОСТИ
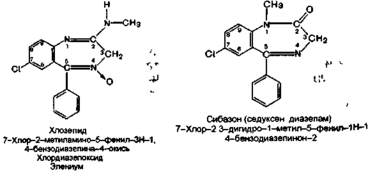
Производные 1,4-бензодиазепина
Химическое строение, физические и физико-химические свойства
Производные 1,4-бензодиазепина представляют собой группу лекарственных средств, содержащих конденсированную систему бензольного и семичленного 1,4-диазепинового колец:
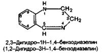
Хлозепид — производное ЗН-1,4-бензодиазепина. Остальные препараты являются дигидропроизводными 1Н-или ЗН-1,4-бензодиазепина, причем дигидропроизвод-ные имеют одну и ту же химическую структуру, которую можно назвать как 2,3-дигидро-1Н-бензодиазепином, так и 1,2-дигидро-ЗН-бензодиазепином:
К данной группе относятся следующие препараты;
В структуре производных бензодиазепина имеется азометиновая группа — C5=4N~.
Все дигидропроизводные содержат при С-2 карбонильную группу, которая вместе с атомом азота N-1 образует амидную (лактамную) группу.
Препараты данной группы при С-5 содержат фениль-ный радикал, при С-7 — атом галогена (хлор или бром) или нитрогруппу (нитразепам).
Заместитель при С-1 (метильная группа) содержится только у сибазона, а при С-3 — у нозепама (оксигруппа).
Препараты этой группы, за исключением нитразепама и хлозепида, представляют собой белые или белые со слегка желтоватым или кремоватым оттенком кристаллические порошки. Нитразепам — светло-желтого цвета кристаллический порошок; хлозепид — белый или светло-желтый мелкокристаллический порошок. Все лекарственные средства данной группы практически нерастворимы
в воде, трудно растворимы в 95 % спирте, мало — в эфире и хлороформе (сибазон растворим в хлороформе).
Все препараты характеризуются определенной температурой плавления.
В электронных спектрах 1,2-дигидро-ЗН-1,4-бензоди-азепин-2-онов обычно имеется три полосы поглощения с максимумами при 200—215, 220—240 и 290—330 нм. Две первые полосы соответствуют возбуждению ароматических хромофоров. Третью — длинноволновую — по-
лосу относят к азометиновой связи, сопряженной с бензольным ядром. УФ-спектрофотометрия используется для идентификации препаратов данной группы и количественного определения в лекарственных формах.
Химические свойства
Кислотно-основные свойства
1,4-бензодиазепины и их дигидропроизводные проявляют слабоосновные свойства (гетероатом азота N-4). При введении в ядро 1,4-бензодиазепинов карбонильных и оксигрупп основность их снижается. Феназепам, например, в среде метилэтилкетона ведет себя как слабое однокислотное основание (рКв = 12,31 ± 0,05). Основность азота в азометиновой группе сильно снижается за счет сопряжения с кольцом бензола при С-5.
Присоединение протона при взаимодействии с кислотой происходит за счет гетероатома азота N-4. Исключение составляет хлозепид, у которого положительный заряд при присоединении протона распределяется по триаде, между гетероатомом азота N-1 и атомом азота метиламиногруппы N-2.
Слабоосновные свойства бензодиазепинов лежат в основе их количественного определения методом кислотно-основного титрования в не водных средах.
Бензодиазепины как азотсодержащие основания могут давать реакции с осадочными реактивами. Например, сибазон образует розовый осадок с аммония рейне-катом в кислой среде:
Методика. 0,05 г препарата растворяют в 2 мл разведенной кислоты хлороводородной, прибавляют 2 мл раствора аммония рейнеката. Образуется розовый осадок, растворимый в ацетоне.
С концентрированными кислотами (серной, хлороводородной, хлорной) 1,4-бензодиазепины образуют окрашенные соли, которые флюоресцируют в УФ-свете. Это испытание используется для идентификации препаратов. С концентрированной кислотой серной сибазон дает в УФ-свете зеленовато-голубую флюоресценцию, нитразепам — голубую флюоресценцию, феназепам — ярко-зеленую флюоресценцию и желтую окраску.
Методика. К1мл раствора феназепама 3 % для инъекций прибавляют 3 капли концентрированной кислоты серной и перемешивают. Раствор окрашивается в желтый цвет. В УФ-свете раствор дает ярко-зеленую флюоресценцию.
Соединения с лактамной группой
проявляют слабокислотные свойства, образуя соли при действии сильных оснований.
Наряду со слабоосновными свойствами сибазон, нозепам и нитразепам проявляют и слабокислотные свойства; они реагируют с сильными основаниями, например с диметилформамидом, образуя соответствующие анионы. Так, сибазон (слабая СН-кис-лота) и нозепам (слабая NH-кислота) образуют соответствующие депротонированные соединения (анионы): , „ *
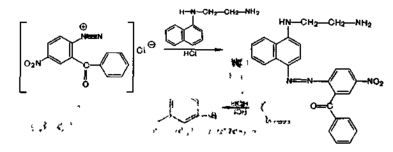
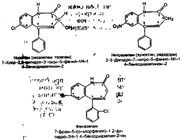
го гидролиза за счет образовавшейся первичной ароматической аминогруппы образуют соль диазония и затем азокраситель. Реакция диазотирования лежит в основе нитритометрического метода количественного определения производных данной группы, образование азокраси-теля используется для их идентификации и фотоколориметрического количественного определения. В качестве азосоставляющей применяют фенолы в щелочной среде: > резорцин (красное окрашивание), р-нафтол (оранжево-красный осадок) или ароматические амины в кислой среде: М(1-нафтил)-этилендиамин (красная окраска):
Методика. 0,02 г феназепама нагревают до кипе- , ния с 2 мл разведенной кислоты хлороводородной в те- 1 чение 3 мин и охлаждают. Полученный раствор дает характерную реакцию на первичные ароматические амины с образованием оранжево-красного осадка (ГФ XI, вьщ 1, с. 159).
Соль диазония, полученную из нитразепама, сочетают в кислой среде с N-1-нафтилэтилендиамином; образуется азокраситель красного цвета:
При нагревании нитразепама с цинковой пылью в кислой среде, кроме гидролитического разложения, происходит восстановление ароматической нитрогруппы до аминогруппы с образованием 2,5—диаминобензофено-на, который дает реакции диазотирования и азосочета-ния по обеим аминогруппам:
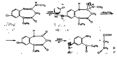
Несколько иначе протекает кислотный гидролиз хло-зепида. Вначале происходит присоединение воды по двойной связи 1—2, затем отщепление метиламина и образование амидной связи, а далее — гидролиз лактамной (амидной)связи:
Методика. 0,05 г хлозепида нагревают до кипения с разведенной кислотой хлороводородной в течение 2 мин и охлаждают. Полученный раствор дает характерную реакцию на первичные ароматические амины с образованием оранжево-красного осадка (ГФ XI, вып. 1, с. 159).
Сибазон не дает реакции образования азокрасителя, так как при кислотном гидролизе образуется вторичная ароматическая аминогруппа.
Щелочной гидролиз. При щелочном гидролизе в жестких условиях (сплавление с натрия гидроксидом или кипячение с раствором щелочи) из амидной группы бензо-диазепинов образуется аммиак или метиламин (сиба-зон), окрашивающие влажную красную лакмусовую бумагу в синий цвет. При этом нозепам образует на стенках пробирки налет изумрудно-зеленого цвета. Реакция сплавления со щелочью используется для идентификации 1,2-дигидро-ЗН-1,4-бензодиазепин-2-онов.
При взаимодействии со щелочью при нагревании галоген переходит в ионное состояние (галогенид). Для обнаружения галогенид-ионов проводят соответствующие реакции.
Методика. 0,2 г феназепама кипятят с 10 мл раствора натрия гидроксида в течение 10 мин; выделяющийся аммиак определяют по посинению влажной красной лакмусовой бумаги; раствор подкисляют кислотой хлороводородной и фильтруют. Полученный раствор дает характерную реакцию А на бромиды (ГФ XI, вып. 1, с. 159).
Реакции на галогены
Неионогенно связанные атомы галогенов (хлор — в хлордиазепоксиде, сибазоне, нозепаме; хлор и бром — в феназепаме) определяют после минерализации, для чего можно использовать нагревание с раствором щелочи (см. раздел 6.3.14.2.2) или метод сжигания в колбе с кислородом (ГФ XI, вып. 1, с. 181). Кроме того, наличие галогена определяют при сжигании крупинки препарата на медной проволоке в пламени горелки; пламя окрашивается в зеленый цвет (проба Бейльштейна).
Образование окрашенных плавов
Многие бензодиазепины образуют окрашенные плавы. При осторожном нагревании 10 мг феназепама в сухой пробирке над пламенем горелки препарат плавится с образованием плава фиолетового или красно-фиолетового цвета. Окраска плава феназепама изменяется в зависимости от значения рН среды. Так, при добавлении раствора натрия гидроксида красно-фиолетовая окраска раствора плава в 95 % спирте переходит в сине-фиолетовую, а при добавлении разведенной кислоты серной — в сине-зеленую, а затем желтую. По-видимому, при плавлении феназепама образуется соединение, имеющее свойства кислотно-основного индикатора. У структурных аналогов феназепама (сибазона, нитразепама) при плавлении образуются плавы зеленого цвета, и окраска спиртовых растворов этих плавов не изменяется в зависимости от значения рН среды. Таким образом, эта реакция позволяет отличить феназепам от других препаратов.
















