LEKCY1 (675791), страница 2
Текст из файла (страница 2)
Была высказана гипотеза (она подтверждена), что в процессе мейоза (образавания половых клеток) гамологичные хромосомы могут обмениваться своими частями. Такой обмен аллелями между гомологичными хромосомами называется кросинговером. Его иллюстрирует рисунок.
Обратим внимание на важное обтоятельство, которое легко понять, глядя на рисунок. Пусть в одном из локусов обеих гомологичных хромосом находится один и тот же аллель. Тогда кроссигговер, даже если он произошел, не меняет локусные пары.
Благодаря кроссинговеру сцепленные гены могут передаваться потомству в сочетаниях, отличных от тех, которые были у родителей. В частности на рисунке родительская особь генотипа (AB)(ab) в результате кроссинговера породила гаметы (Ab) и (aB). Без кроссинговера мейоз привел бы к появлению гамет (AB) и (ab).
Обратимся к уравнениям, описывающим эволюцию в популяции с двумя двухаллельными локусами при условии кроссинговера. Частоты гамет в текущям и последующем поколениях будем обозначать как
и
. Так, например,
-частота гамет, у которых в первом локусе находится аллель A, а во втором - аллель b. Частоты генотипов в текущем поколении связаны с частотами гамет этого же поколения (до мейоза). Приведем примеры. Частота гомозиготного генотипа (AB)(AB) суть
, а частота гетерозиготного генотипа (AB)(ab) - соответственно
. Эти и все подобные формулы полностью соответствуют случаю одного полиаллельного локуса. Обозначим через m и l вероятности того, что при мейозе соответственно произошел или не произошел кроссинговер. Здесь, естественно, m+l=1. Выпишем уравнения для эволюции частот гамет:
(3)
Дадим комментарии к правой части первой формулы (остальные формулы выписываются аналогично). Первое слагаемое - частота генотипа (AB)(AB). При мейозе каждая особь данного генотипа с единичной вероятность порождает гаметы (AB). Второе слагаемое - половинная частота генотипа (AB)(Ab). В силу сделанного выше замечания, несмотря на кроссиговер, каждая особь этого генотипа с вероятностью
при мейозе дает гаметы (AB) и (Ab) (нас в данном случае интересуют гаметы (AB)). Совершенно аналогично, отражает вклад генотипа (AB)(aB) в образование гамет (AB). Четвертое слагаемое выписывается из следующих соображений. При условии, что кроссинговер не произошел (вероятность l), особь генотипа (AB)(ab) с вероятностью
даст гамету (AB). Частота генотипа (AB)(ab) суть
. Обратимся к последнему слагаемому. При условии кроссинговера (вероятность m) особь генотипа (Ab)(aB) (частота
) с вероятностью
порождает гамету (AB) (см. рисунок выше). Осталось заметить, что кроссинговер ни в каком другом генотипе не может привести к появлению гаметы (AB).
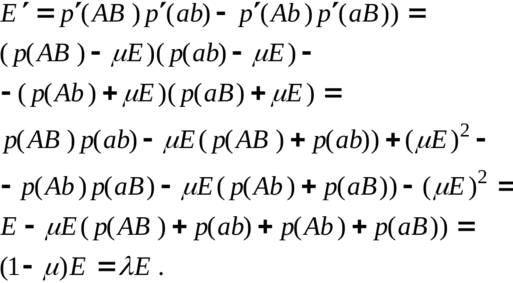
Преобразуем формулы (3). Выкладки проведем на примере первой формулы. Подставляя
, получим
Здесь учтено, что
. Введем обозначение
В результаты преобразований формулы (3) приобретают вид:
Величина
называется мерой неравновесности состояния (если
, то частоты гамет постоянны). Рассмотрим эволюцию
. В силу (4) имеем:
Итак
Проследим за эволюцией частот
,
,
,
(нижний индекс - номер поколения). В силу (4) и(5)
(6)
Это система так называемых разностных уравнений. Она решается следующим образом. Выписывается матрица правых частей уравнений:
Находятся ее собственные значения
и
. Матрица
- диагональная, поэтому
,
. Собственные векторы
(нетривиальные решения систем
) суть
При вычислении
использовано равенство:
. Система резностных уравнений (6) имеет два линейно независимые решения:
и
. Общим решением является их линейная комбинация:
Константы
и
определяются из начального условия (при
):
Получаем
и
. В результате получаем решение системы (6):
Совершенно аналогично исследуется изменение частот гамет (ab), (Ab), (aB):
Из полученных формул следует, что при
(с ростом номера поколения)
и
Тем самым, частоты гамет стремятся к состоянию равновесия, которое не достижимо за конечное число поколений. Частоты генотипов определяются через частоты гамет, а, следовательно, также стабилизируются. В отличии от случая, соответствующего закону Харди -Вайнберга, стабилизация в первом поколении не наступает.
Как уже говорилось, начальное состояние равновесно, т.е. частоты гамет в дальнейшем не меняются, если
, т.е.
Исследуем условия равновесности. Рассмотрим частоты генов
Легко видеть, что
,
. Прямые вычисления показывают:
Таким образом,
. Совершенно аналогично:
,
,
.
В равновесных состояниях частоты гамет являются произведениями частот соответствующих генов. Верно и обратное утверждение.
















