decart list (675742), страница 2
Текст из файла (страница 2)
Другие способы образования циссоиды основаны на ее соотношениях с параболой. Покажем в первую очередь, что циссоида является подэрой параболы относительно ее вершины.
– уравнение данной параболы. Уравнение касательной в произвольной точке М (, ) этой параболы можно записать в виде
уравнение перпендикуляра, опущенного из
Рис. 4.
начала координат на эту касательную, будет
координаты точки N пересечения его с касательной определятся по формулам
Исключая из этих равенств параметр , мы получим уравнение
Заметим далее, что координаты точки, симметричной началу координат относительно касательной к параболе у2 = 2рх, получатся, если правые части формул (4) удвоить, и, следовательно, определятся формулами
Исключая из этих равенств параметр , мы снова получим циссоиду с уравнением
Отсюда следует, что циссоида является геометрическим местом точек, симметричных вершине параболы относительно ее касательных.
Следует заметить, что геометрическое место точек, симметричных началу координат относительно касательной к параболе, можно рассматривать как траекторию вершины другой параболы, одинаковой с данной, которая катится по данной параболе. Таким образом, возникает новый способ кинематического образования циссоиды как траектории вершины параболы, которая без скольжения катится по другой такой же параболе.
Остановимся на метрических свойствах циссоиды; при этом нам будет удобно пользоваться параметрическими уравнениями циссоиды в виде
Площадь, ограниченная циссоидой и ее асимптотой, равняется утроенной площади производящего круга; действительно,
Это соотношение получено было Гюйгенсом и независимо от него Ферма.
Рис. 5.
Определяя площадь криволинейного треугольника ОАМС (рис.5), найдем, интегрируя в границах
до
что она равна
Если теперь провести касательные в точках А и С к производящему кругу, то площадь криволинейного треугольника CMANC будет равна
Выражение, стоящее в правой части, определяет утроенную площадь криволинейного треугольника CLANC. Итак, пл. CMANC =3 пл. CLANC. Это соотношение было открыто также Гюйгенсом.
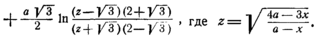
Объем тела, образованного вращением части плоскости, ограниченной циссоидой и ее асимптотой, вокруг оси ординат определится по формуле
Если учесть, что объем тора, получаемого от вращения производящего круга вокруг оси ординат, равняется
то из полученного результата следует, что объем тела, получаемого вращением части плоскости, ограниченной циссоидой и ее асимптотой, вокруг оси ординат, в пять раз больше объема тора, полученного от вращения производящего круга вокруг той же оси. Это соотношение было получено также Гюйгенсом.
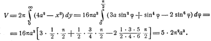
Пусть теперь хс — абсцисса центра тяжести части плоскости, ограниченной циссоидой и ее асимптотой; тогда по теореме Гюльдена будем иметь V == U • 2хс, где V и U—соответственно объем и площадь, которые были определены выше. Подставляя их значения
в соотношение Гюльдена, получим
Таким образом, центр тяжести части плоскости, ограничиваемой циссоидой и ее асимптотой, делит отрезок между вершиной и асимптотой на две части, отношение которых равно 5.
Это соотношение позволяет в свою очередь определить объем тела, полученного вращением циссоиды вокруг ее асимптоты. По теореме Гюльдена будем иметь
Этот результат можно истолковать также как объем тора, полученного от вращения производящего круга вокруг асимптоты. Таким образом, объем тела, полученного вращением циссоиды вокруг ее асимптоты, равен объему тора, полученного от вращения производящего круга. Это соотношение установлено впервые Слюзом.
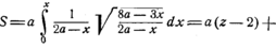
Длина дуги циссоиды от ее вершины до точки с абсциссой х определится по формуле
3. Применение циссоиды к решению делосской задачи. Как уже говорилось, циссоида была открыта древними в поисках решения делосской задачи об удвоении куба. История возникновения этой задачи, согласно легенде, передаваемой Эратосфеном, такова: на острове Делосе жители страдали от мора, посланного им богами; по предсказанию оракула богов можно было умиротворить, удвоив объем жертвенника, имевшего форму куба. Суть задачи сводилась к определению ребра куба, объем которого был бы в два раза больше объема данного куба. Что касается самого повода постановки задачи, то справедливо полагать, что «пифия находилась скорее под внушением математиков, нежели вдохновлялась самим богом» (Цейтен), так как задача об удвоении куба являлась естественным перенесением в пространство планиметрической задачи о построении квадрата с площадью, в два раза большей площади данного квадрата, и, следовательно, могла скорее возникнуть в сознании математика, нежели в сознании оракула.
Открытие циссоиды для целей решения делосской задачи приписывается Диоклесу, жившему в 3 веке до нашей эры. Возможность найти графическим путем ребро куба с объемом, в два раза большим объема данного куба, усматривается из следующих соображений. Пусть b – ребро данного куба, а В – ребро искомого; тогда
и, следовательно,
Отсюда ясно, что графическое решение задачи должно свестись к построению
Перепишем для этой цели уравнение циссоиды в виде
Заметим далее, что прямая
отсекает от касательной отрезок (рис. 6)
и пересекает циссоиду в точке М, координаты которой удовлетворяют уравнению
Это уравнение можно рассматривать как уравнение прямой, проходящей через точку А (2а, 0) и отсекающей на оси ординат отрезок
Если теперь принять
и на оси ординат отложить отрезок ОС == 2, соединить затем точку С с точкой А(1, 0), а точку пересечения прямой СА с циссоидой соединить с точкой О и продолжить полученный отрезок до пересечения с касательной, то, как это следует из формул (5) и (6), отрезок AD и будет равен
Древние рассматривали только ту часть циссоиды, которая находится внутри производящего круга. Вместе с дугой окружности производящего круга эта часть образует фигуру, напоминающую лист плюща, откуда проистекает название кривой. Наличие бесконечных ветвей у циссоиды было установлено в 17 веке Робервалем и независимо от него Слюзом. Кинематический способ образования циссоиды с помощью треугольника приписывается Ньютону, который выполнил также спрямление циссоиды не только аналитическим путем, но и графическим.
Рис. 6
Кардиоида
1. Уравнение. Кардиоиду можно определить как траекторию точки, лежащей на окружности круга радиуса r, который катится по окружности неподвижного круга с таким же радиусом. Она будет представлять собой, таким образом, эпициклоиду с модулем m, равным 1.
Это обстоятельство позволяет сразу же записать параметрические уравнения кардиоиды, заменяя в ранее приведенных параметрических уравнениях эпициклоид модуль m единицей. Будем иметь:
Чтобы получить полярное уравнение кардиоиды, удобно принять за полюс точку А (рис.7), а полярную ось направить по оси абсцисс. Так как четырехугольник AOO1M будет равнобедренной трапецией, то полярный угол точки М окажется равным углу поворота производящего круга, т. е. параметру t. Учитывая это обстоятельство, заменим во втором уравнении системы (1) у через sin t. Сокращая полученное таким образом равенство на sin t, получим полярное уравнение кардиоиды
Рис. 7
По виду этого уравнения
можно заключить, что кардиоида является одной из улиток Паскаля. Она может быть определена, следовательно, как конхоида круга.
Переводя уравнение (2) в прямоугольную систему координат, получим:
Из этого уравнения следует, что кардиоида является алгебраической кривой 4-го порядка.
2. Свойства. Прежде всего, поскольку кардиоида является эпициклоидой с m=1, на нее можно перенести все свойства рассмотренных нами в предыдущем параграфе эпициклоид.
Вот эти свойства и характеристики.
1. Касательная в произвольной точке кардиоиды проходит через точку окружности производящего круга, диаметрально противоположную точке касания кругов, а нормаль — через точку их касания.
2. Угол , составляемый касательной к кардиоиде с радиусом-вектором точки касания, равен половине угла, образуемого этим радиусом-вектором с полярной осью. Действительно
Из этого соотношения непосредственно вытекает, что угол, составляемый касательной к кардиоиде с осью абсцисс, равняется
(как внешний угол треугольника AMN Рис.8). Располагая формулой
можно доказать, что касательные к кардиоиде, проведенные в концах хорды, проходящей через полюс, взаимно перпендикулярны.















