64230 (674335), страница 7
Текст из файла (страница 7)
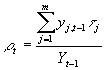
Пусть динамика каждого ряда характеризуется цепными темпами роста τjt . Соответственно цепной темп роста суммарного ряда равен ρt. Уровни этих рядов на период t можно представить как уровни предшествующего периода, умноженные на соответствующие темпы роста:
Откуда
(1.15)
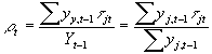
Таким образом, цепной темп роста суммарного ряда на момент t равен взвешенной средней арифметической из цепных темпов частных рядов, исчисленных для того же момента времени. Если принять, что каждый частный ряд имеет постоянный темп роста, т.е. , что τjt = τj , то
(1.16)
Весами здесь, как и в предыдущей формуле, служат уровни предшествующих периодов. Заметим, что веса изменяются вместе с изменением t, причем удельный вес уровней рядов с большими темпами растет, а с меньшими падает. Следовательно, темп роста суммарного ряда не может быть постоянным даже при условии, что темпы роста составляющих рядов не изменяются. Такая проблема, естественно, не возникает в тривиальном случае, когда темпы роста всех m рядов одинаковы. В этом случае темп суммарного ряда равен темпу частных рядов.
Как известно, средняя применяется в качестве обобщающей характеристики, свободного признака, в котором взаимно погашаются индивидуальные особенности. Порядок или последовательность, соответственно которой индивидуальные значения признака выступают в действительности, не имеет значения. Иное дело, когда усреднение относится к динамическим рядам. Закономерность изменения темпов является сутью динамики и, во всяком случае, представляет собой очень важный аспект исследования динамического ряда. Средний темп скрывает эту закономерность. В статистической литературе неоднократно высказывались сомнения относительно ценности среднего темпа для экономического анализа.
К недостаткам среднего темпа как обобщающего показателя, исчисляемого в виде (1.10), следует отнести следующее:
-
Средний темп полностью определяется двумя крайними уровнями
ряда, при этом выбор периода для расчета среднего темпа существенным образом определяет его значение. Сдвиг периода даже на 1 шаг может привести к значительному изменению величины темпа. К сказанному следует добавить, что при достаточной протяженности ряда имеется возможность для подсчета большого набора значений среднего темпа (на все вкусы!). В самом деле, если принять, что средний темп может быть определен за период не менее чем l лет, то при протяженности всего ряда, равной n годам, можно определить k различных вариантов среднего темпа:
k=C2n-l+2 . Так, ряд протяженностью в 15 лет дает возможность определить 78 различных средних темпов роста (при l = 4). Таким образом, значение среднего темпа будет в известном смысле случайным.
Особенно наглядно неустойчивость показателя среднего темпа проявляется в том случае, когда ряд имеет чередующиеся повышения и понижения.
-
Применение среднего темпа роста предполагает, что траектория
развития приближается к экспоненциальной кривой. Т.е. процесс, в общем, следует геометрической прогрессии. Если это не так и ряду свойственна иная закономерность развития, то описание динамики с помощью среднего темпа будет иметь очень условный характер.
-
Средний темп скрывает характер динамики исследуемого периода, поскольку не принимает во внимание промежуточные члены ряда, отсюда теряется существенная для анализа информация. Именно эти опущенные при расчете среднего темпа члены определяют форму тенденции развития. Отсюда, чем продолжительнее период, для которого исчисляется средний темп, тем больше теряется информации, тем меньше он играет роль обобщающего признака. Очевидно, что точность его определения не увеличивается при увеличении числа наблюдений, т.е. увеличении длины ряда. Из сказанного выше следует, что средний темп как обобщающий показатель динамики имеет весьма ограниченную ценность.
2.3. Комплексная оценка услуги
В данной части приведен метод комплексной оценки услуги и отдельных ее составляющих, позволяющий выявить компоненты, которые необходимо скорректировать в процессе позиционирования услуги на рынке, скорректировать систему позиционирования и продвижения услуги, получить количественную оценку в отношении услуги и ее составляющих.
Определение вышеописанных показателей принципиально необходимо при выведении нового товара на рынок (или репозиционирования, модернизации старого), поскольку именно на их основе возможно формирование рационального и экономически оправданного комплекса продвижения услуги на рынке.
2.3.1. Оценка составляющих услуги по методу МКОТС
Как оценить потребности потенциального покупателя, на основе которых мы могли бы сформировать конкурентоспособные составляющие нашей услуги? Для этого необходимо еще раз рассмотреть и понять сущность услуги с точки зрения маркетинга. Рассмотрение предлагается на базе маркетинговой инновационной модели "МКОТС", которая по своей методической сущности согласовывается с "западной" моделью "сервисного качества". Модель позволяет:
определить значимость для потребителя отдельных составляющих услуги;
определить составляющие новой услуги и внимание, которое необходимо каждой из них;
определить "акценты" рекламной политики предприятия (сравнительный критерий);
рассчитать степень удовлетворенности потребителя составляющими услуги и всей услугой в целом;
определить составляющие, которые необходимо корректировать в услуге;
определить эффективность мероприятий по корректированию составляющих услуги.
Рассмотрим метод построения модели как поэтапный алгоритм, позволяющий реализовать все ее вышеперечисленные возможности.
Этап I. Определение составляющих услуги
В первую очередь, метод, построенный на базе маркетинговой инновационной модели "МКОТС", подразумевает определение составляющих услуги. Составляющие услуги - это потребности, удовлетворяемые с ее помощью. Очевидно, что любая услуга удовлетворяет не одну потребность, а несколько. Рассмотрим это на примере услуги "фотоэпиляция" в салоне красоты.
привлечение клиентов;
создание имиджа фирмы;
соответствие цены предполагаемому ценовому диапазону;
наличие "высокой" репутации фирмы, оказывающей услугу;
эстетика (дизайн и эстетико-этические составляющие) оказываемой услуги.
Соответственно, данные потребности, удовлетворяемые в процессе оказания услуги, и будут являться составляющими услуги (компонентами услуги). Для краткости, назовем компоненты услуги: "привлечение", "имидж", "цена", "репутация" и "эстетика". То есть определено - из каких составляющих нам нужно комплектовать услугу. Формирование комплекса составляющих для конкретных услуг производится экспертами в соответствующих предметных областях на основе опыта позиционирования и/или исследования базовых потребительских тенденций. Рекомендуется формирование компонентов в количестве от 5 до 7, поскольку меньшее количество компонентов не выразит сущности потребностей, удовлетворяемых услугой, а большее количество заведомо избыточно и размывает сущность услуги.
Очевидно, что каждая составляющая (компонента) услуги это также сумма ряда подкомпонентов, которые на более детальном уровне уточняют ее сущность. Составляющие первого и второго уровня могут быть представлены в виде древовидной разветвленной структуры, как показано на табл. 12
| “привлечение” | Соответствие ожидаемому эффекту услуги |
| Динамика привлечения клиентов | |
| Устойчивость привлечения | |
| “имидж” | “имидж”, реализованный в услуге |
| Устойчивость “имиджа” | |
| “цена” | Цена, включенная в сервис |
| Цена услуги | |
| “репутация” | Накопленная репутация услуги |
| Текущая репутация услуги | |
| Репутация фирмы, оказывающей услугу | |
| “эстетика” | Эстетика оказания услуги |
| Эстетика рекламы |
Таблица 12 Древовидная структура представления компонент первого и второго уровня в отношении услуги, рассматриваемых по методу МКОТС
Этап II. Формирование системы опроса
Исходными данными для решения поставленной задачи (оценка составляющих услуги) являются результаты опроса потенциальных потребителей, то есть метод построен на экспертном опросе. На основе предварительно определенных компонентов услуги ("привлечение", "имидж", "цена", "репутация" и "эстетика") формируется система опроса потенциальных потребителей, в которую закладываются следующие задачи: определение значимости (веса) компонентов услуги для потенциального потребителя и определение отношения потребителя к каждому из компонентов системы по четырех- и более дифференциальной шкале. При формировании системы опроса, во-первых, задается вопрос с целью определения значимости параметров. Во-вторых, вопрос о степени реализации составляющих услуги для опрашиваемого клиента (очевидно, что опрос по данному методу должен проводиться только после оказания клиенту услуги). В-третьих, в той или иной форме задается вопрос с целью определения принадлежности опрашиваемого к определенному сегменту. Накопление результатов и их обработка могут производиться по расчетному базису, представленному в III-IV этапах метода. Для реализации расчетного алгоритма возможно применение программного пакета "МКОТС 2.0".
Этап III. Оценка веса (значимости) составляющих услуги
Очевиден принцип пересчета значений базы данных в соответствующий вес компонентов, например это можно сделать простым суммированием значений по всем полям (w1, :, w5) с последующей нормализацией значений для каждого сегмента. Результат такого пересчета представлен в табл. 13.
Таблица 13 Структура веса составляющих услуги по j-му сегменту на примере товара: "оказание косметических услуг"
| Компоненты (потребности) | Wji |
| “привлечение” | 0,57 |
| “имидж” | 0,29 |
| “цена” | 0,71 |
| “репутация” | 0,43 |
| “эстетика” | 1,00 |
Мы можем видеть вес (значимость для потребителей услуги) отдельных ее составляющих. И на основе полученного распределения значимости между составляющими услуги можно сделать соответствующие выводы:
если формируется новая услуга, то возможно определение составляющих, которые необходимо усилить (уделить первейшее внимание при формировании) в первую очередь. В нашем примере (см. табл. 13) мы должны сделать акцент на “эстетику” выполняемой услуги и на ее стоимость. Это необходимо для привлечения клиентов.
Для существующей услуги, в процессе реализации комплекса ее продвижения, возможно определение акцентов рекламной компании в отношении предлагаемой услуги. В нашем примере "эстетика" и “цена” имеют наибольшие значения веса среди составляющих услуги (1.00 и 0.71 соответственно). Соответственно и акценты рекламной политики должны основываться на "подчеркивании" того, насколько эффективна наша услуга с точки зрения ее эстетического уровня и на сколько ее стоимость соответствует этому уровню.
Этап IV. Расчет удовлетворенности составляющими услуги и услугой в целом
Удовлетворенность составляющими оказанной услуги пересчитывается из расчетной базы данных аналогично пересчету веса: вычисляется сумма по колонкам (по всем составляющим услуги m1-m5), результат пересчета взаимно нормализуется (приводится к визуально сопоставимым значениям от 0 до 1). Результаты расчета представлены в табл. 14.
Таблица 14 Результат расчета удовлетворенности отдельными составляющими услуги и услугой в целом на примере услуги: "оказание косметических услуг"
| Компоненты (потребности) | Wji | uji | Wji *uji |
| “привлечение” | 0,57 | 0,22 | 0,13 |
| “имидж” | 0,29 | 0,17 | 0,05 |
| “цена” | 0,71 | 0,57 | 0,40 |
| “репутация” | 0,43 | 0,09 | 0,04 |
| “эстетика” | 1,00 | 1,00 | 1,00 |
| U=1,62 |
















