49664 (666380), страница 2
Текст из файла (страница 2)
Обычно эффективными являются "открытые" методы защиты, когда сам метод не представляет секрета, но воспользоваться им постороннему лицу невозможно.
Задачи синтеза систем защиты состоят в выборе совокупности методов защиты, обеспечивающей экстремальное значение определенной характеристики системы защиты при ограничениях на ряд других характеристик.
В постановках задач синтеза систем защиты в качестве ограничивающих факторов и показателей эффективности защиты выступают стоимостные и временные затраты на разработку и эксплуатацию методов защиты, потери от "взлома" системы защиты, вероятность и среднее время несанкционированного доступа к объектам защиты.
Исходной информацией для постановки и решения задач синтеза являются следующие данные:
W - множество объектов защиты;
LW – число структурных уровней защиты, которое необходимо последовательно преодолеть при доступе к объекту w;
характеристики k-го метода зашиты, 1 ≤ k ≤ kl, использование которого возможно на l-м структурном уровне, т.е. qkl(w) – вероятность "взлома" (преодоления) l-го структурного уровня защиты объекта w при условии "взлома" предшествующих уровней;
и
– стоимостные затраты соответственно на разработку и эксплуатацию;
и
- временные затраты соответственно на разработку и эксплуатацию;
dkl(w) – потери в системе, вызванные преодолением ограничений рассматриваемого метода защиты;
tkl(w) - время одной попытки несанкционированного доступа.
Переменные: xkl(w) = 1, если k-й метод зашиты, относящийся к l-му уровню, закреплен за объектом w и xkl(w) = 0, в противном случае
, 1 ≤ l ≤ LW, 1 ≤ k ≤ kl.
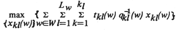
Задача выбора оптимальной совокупности методов зашиты, обеспечивающей максимальное среднее время несанкционированного доступа, записывается в виде
при ограничениях:
на структуру зашиты
на вероятность несанкционированного доступа по структурным уровням и объектам защиты
где ql(w) - допустимое значение вероятности несанкционированного доступа для l-го уровня и объекта w;
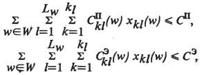
по стоимостным затратам на проектирование и эксплуатацию системы защиты
где СП, СЭ - выделяемые ресурсы на проектирование и эксплуатацию системы защиты;
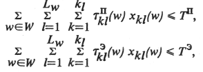
по временным затратам на проектирование и эксплуатацию системы защиты
где ТП, ТЭ - допустимые временные затраты на проектирование и эксплуатацию
системы защиты;
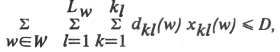
на потери от "взлома" защиты
где D - допустимые суммарные потери от "взлома" зашиты.
Решение рассмотренной задачи линейного целочисленного программирования с булевыми переменными осуществляется методом "ветвей и границ" с использованием стандартных программных средств. Для сокращения размерности решаемой задачи целесообразно выделять подмножества идентичных (в смысле зашиты) объектов и производить выбор методов защиты для "представителей" этих подмножеств.
Синтез динамических систем защиты осуществляется аналогично.
















