46382 (665529)
Текст из файла
Генерация дидактических материалов по математике
В те времена, когда я преподавал математику в школе (1990-1997), столкнулся с проблемой отсутствия достаточного количества дидактических материалов на печатной основе для проведения занятий. В частности, при проведении контрольных работ было лишь два варианта заданий, и, естественно, ученики списывали, что, с моей точки зрения, недопустимо. Тогда я стал придумывать варианты заданий и распечатывать их с помощью старенькой пишущей машинки. Сразу замечу, что занятие это рутинное, абсолютно не творческое и скучное — придумать 20-25 однотипных вариантов с разным содержанием. Тем не менее, один год я такое практиковал.
Когда в институте меня стали учить программированию, тут же возникла идея приспособить для создания дидактических материалов компьютер. Он для этих целей идеально подходил, поскольку позволял автоматизировать не только распечатку текста, но и сам процесс его разработки. Действительно, достаточно запрограммировать образец для одного задания, и согласно ему будет получено любое количество заданий. Но и здесь были свои проблемы, связанные с тем, что сгенерированный текст DOS приходилось затем "доводить до ума" (ставить верхние и нижние индексы, рисовать дроби и т.д.) с помощью текстового редактора типа ChiWriter или Lexicon, причем конечный продукт выглядел в результате достаточно нелепо и коряво.
Технология окончательно сформировалась в 1994 г., когда я познакомился с системой форматирования текстов LaTeX, позволяющей форматировать тексты, содержащие математические формулы любой сложности. Обычно в основу самостоятельной или контрольной работы закладываются уже существующие дидактические материалы к тому или иному школьному учебнику математики, и по этому образу и подобию готовится работа, где данные в каждом из вариантов различные. Таким образом складывается иллюзия наличия такого же количества вариантов, сколько учеников в классе.
Наличие отдельного напечатанного варианта при проведении контрольной или самостоятельной работы имеет ряд преимуществ перед отсутствием такового: во-первых, решается проблема списывания — каждый учащийся вынужден обрабатывать свои данные (правда, при этом можно в качестве образца использовать работу соседа, но это было и при традиционном проведении контрольной работы); во-вторых, нет необходимости перед началом урока втискивать текст контрольной работы на доску (очень не люблю писать на доске!); в-третьих, ни для кого не является секретом, что зрение большинства учащихся в настоящее время ослаблено, и им приходится подходить к доске или переспрашивать учителя для уточнения текста задания, при указанном подходе проблема снимается. Можно найти и другие достоинства, мною не отмеченные, я думаю... Есть и свои недостатки — учителю затем нужно проверить не 2 варианта, а 25-30. Не всякий при нынешней загруженности на это решится. Но при желании число существенно разных вариантов можно сократить до 5-10.
Продемонстрирую на паре-тройке примеров технологию подготовки текста в формате LaTeX.
Пример 1. Алгебраическое выражение.
Одно из наиболее часто встречающихся в 5-7 классах заданий — вычисление значения выражения. Генерируя такие выражения, нужно учитывать такие обстоятельства, как:
1) соответствие изучаемой теме и возрасту учащихся (например, в 5 классе значение выражения не должно быть равно отрицательному числу);
2) после выполнения очередного действия полученное значение должно получиться проще и приемлемым для выполнения следующего действия, где это значение используется (т.е. некоторые величины в выражении будут случайными, другие — вычисляемыми);
3) при записи десятичной дроби в школьной математике используется десятичная запятая, а при записи на компьютере — десятичная точка;
4) если в записи выражения используются десятичные дроби, то они должны быть несократимыми и правильными.
Учитывая приведенные выше соображения, покажем на примере следующего числового выражения получение его аналогов:
Проанализируем данное выражение. Его значение равно 2,32 и получается как разность двух произведений. Таким образом, значение выражения — произвольное рациональное число, модуль которого не больше 10. Значение первого и второго произведений — десятичные дроби, это соответственно 2,62 и 0,3. При генерации произведений будем ориентироваться также на десятичные значения. В первом произведении первый сомножитель — сумма обыкновенных дробей с разными знаменателями, НОД которых отличен от 1, а второй сомножитель — число, которое можно сократить с общим знаменателем первого сомножителя. Второе произведение — произведение обыкновенной и десятичной дроби, которые нужно подобрать так, чтобы результат был точной десятичной дробью.
Приступим к генерации выражения. Пусть A=НОД(B,C), где B, C — знаменатели дробей суммы. Тогда B=A*B1, C=A*C1, где B1, C1 — случайные числа. D, F — числители рассматриваемых дробей, причем D
Аналогично получаем второй сомножитель. Не нужно забывать о том, что значение выражения по абсолютной величине не должно превышать 10.
Таким образом, выражение может быть получено с помощью следующего фрагмента программы:
B1 := 1 + Random(9);
C1 := 1 + Random(9);
A := 2 + Random(4); {НОД знаменателей дробей суммы}
B := A * B1; {Знаменатель первой дроби}
C := A * C1; {Знаменатель второй дроби}
D := 1 + Random(B — 2); {Числитель первой дроби}
F := 1 + Random(C — 2); {Числитель второй дроби}
K := Nod(D, B); {НОД чисел D, B}
D := D Div K; {Сокращение первой дроби}
B := B Div K;
K := Nod(F, C); {НОД чисел F, C}
F := F Div K; {Сокращение второй дроби}
C := C Div K;
K := B * C Div Nod(B, C) * (1 + Random(7)); {Второй сомножитель
в первом произведении}
Repeat
Repeat
M := 3 + Random(6); {Одно из чисел, на которое будет
производиться сокращение во втором произведении}
Ch1 := M * (1 + Random(3)) {Числитель второй дроби}
Until Odd(M) and Odd(Ch1);
Zn := M * 5; {Знаменатель первого сомножителя во втором
произведении}
SS := 2 + Random(4);
Zn1 := Stepen(2, SS); {Знаменатель второго сомножителя -
случайная степень числа 2}
Ch := Zn1 Div 2; {Числитель первой дроби}
Until (Ch < Zn) And (Ch1 < Zn1); {Повторяем генерацию дробей,
пока числители не станут
меньше знаменателей}
S := Nod(Ch, Zn);
Ch := Ch Div S; {Сокращение дроби}
Zn := Zn Div S;
Ch1 := Ch1 * Stepen(10, SS); {Подготовка числителя
второй дроби к целочисленному
делению}
{Печать результата генерации в файл Name}
WriteLn(Ch1, ' ', Zn1);
Write(Name, '$$\left(', 1 + Random(3), '\frac{', D);
Write(Name, '}{', B, '}+\frac{', F, '}{', C, '}\right)\cdot');
Write(Name, K Div 100, '{,}', K Mod 100, '-\frac{', Ch);
WriteLn(Name, '}{', Zn, '}\cdot 0{,}', Ch1 Div Zn1, '.$$')
В фрагменте программы использованы функции пользователя: Nod(A, B) — НОД(A,B); Stepen(A,B) — AB. Указанные функции должны быть описаны в программе.
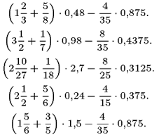
Результаты работы программы для количества заданий, равного 5:
$$\left(1\frac{2}{3}+\frac{5}{8}\right)\cdot0{,}48-\frac{4}{35}\cdot 0{,}875.$$
$$\left(3\frac{1}{2}+\frac{1}{7}\right)\cdot0{,}98-\frac{8}{35}\cdot
0{,}4375.$$
$$\left(2\frac{10}{27}+\frac{1}{18}\right)\cdot2{,}7-\frac{8}{25}\cdot
0{,}3125.$$
$$\left(2\frac{1}{2}+\frac{5}{6}\right)\cdot0{,}24-\frac{4}{15}\cdot 0{,}375.$$
$$\left(1\frac{5}{6}+\frac{3}{5}\right)\cdot1{,}5-\frac{4}{35}\cdot 0{,}875.$$
Результат обработки этого файла будет следующим:
Пример 2. Квадратное уравнение.
Настоящий пример несколько проще предыдущего. Рассмотрим два случая: а) корни уравнения — целые; б) корни уравнения — обыкновенные дроби.
Как и в предыдущем случае, целесообразно идти к получению задания от ответа. Сгенерируем два корня уравнения и, используя теорему Виета, получим его коэффициенты. При генерации целых корней разумно сделать их различными и отличными от нуля. В приведенном ниже примере это задания по буквами а, б. При выводе задания в файл требуется учесть, что коэффициенты могут быть равны нулю, а также тот факт, что коэффициент, равный единице, не записывается.
Задания под в, г предполагают наличие двух различных корней, являющихся обыкновенными правильными дробями. Алгоритм получения соответствующих коэффициентов в этом случае более громоздкий, хотя в основу положена всё та же теорема Виета. Изначально опять же генерируем ненулевые различные корни уравнения, а затем на их основе получаем уравнение в целыми коэффициентами. В примере это делается поэтапно: сначала — корни уравнения; затем — коэффициенты уравнения — обыкновенные дроби, наконец, коэффициенты — целые числа, причем НОК(A, B, C) = 1.
Ниже приводятся законченный фрагмент программы, генерирующий задания, пример работы этой программы и результат обработки файла, полученного с помощью программы.
Program Kw;
Var F : Text;
{Процедура, производящая начальные установки в формате LaTeXа}
Procedure UST;
Begin
WriteLn(F, '\documentstyle[12pt,a4wide]{article}');
WriteLn(F, '\topmargin-3cm');
WriteLn(F, '\pagestyle{empty}');
WriteLn(F, '\setlength{\textheight}{27cm}');
WriteLn(F, '\setlength{\textwidth}{16cm}');
WriteLn(F, '\begin{document}');
END;
{НОД}
Function Nod (X, Y : Integer) : Integer;
Begin
WHILE X <> Y Do
IF X > Y THEN X := X — Y ELSE Y := Y — X;
Nod := X
END;
{НОК}
Function NoK (X, Y : Integer) : Integer;
Begin
NoK := X * Y Div NoD(X, Y)
END;
Var X1, I, X2, A, C, B : Integer;
Ch, Ch1, Zn, Zn1, BCh, BZn, CCh, CZn, J, V, Vsp : Integer;
Begin
Assign(F, 't:\rustex\kw_ur.tex');
ReWrite(F);
UST;
Randomize;
{Корни уравнения (целые)}
Repeat X1 := -10 + Random(21) Until X1 <> 0;
Repeat X2 := -10 + Random(21) Until X2 <> 0;
B := -(X1 + X2);
C := X1 * X2;
WriteLn(F, '\begin{tabular}{ll}');
Write(F, 'а)~$x^2');
If B <> 0
Then Begin
If B > 0
Then If B <> 1 Then Write(F, '+', B) Else Write(F, '+')
Else If B <> -1 Then Write(F, B) Else Write(F, '-');
Write(F, 'x');
End;
If C <> 0 Then If C < 0 Then Write(F, C) Else Write(F, '+', C);
WriteLn(F, '=0$;& б)~$');
Repeat X1 := -10 + Random(21) Until X1 <> 0;
Repeat X2 := -10 + Random(21) Until (X2 <> 0) And (X2 <> X1);
B := -(X1 + X2);
C := X1 * X2;
Write(F, 'x^2');
If B <> 0
Then Begin
If B > 0
Then If B <> 1 Then Write(F, '+', B) Else Write(F, '+')
Else If B <> -1 Then Write(F, B) Else Write(F, '-');
Write(F, 'x');
End;
If C <> 0 Then If C < 0 Then Write(F, C) Else Write(F, '+', C);
WriteLn(F, '=0$;\\');
{Генерируем уравнения с корнями — обыкновенными дробями}
For J := 0 To 1 Do
Begin
Repeat {первый корень}
Repeat Ch := -5 + Random(11) Until Ch <> 0; {числитель}
Zn := 2 + Random(8); {знаменатель}
V := Nod(Abs(Ch), Zn);
Ch := Ch Div V;
Zn := Zn Div V
Until (Zn > 1) And (Zn > Abs(Ch));
Repeat {второй корень}
Repeat Ch1 := -4 + Random(11) Until Ch1 <> 0;
Zn1 := 2 + Random(8);
V := Nod(Abs(Ch1), Zn1);
Ch1 := Ch1 Div V;
Zn1 := Zn1 Div V
Until (Zn1 > 1) And (Zn1 > Abs(Ch1)) And (Ch * Zn1 + Zn * Ch1 <> 0);
Vsp := Nod(Abs(Ch * Zn1 + Zn * Ch1), Zn1 * Zn);
BCh := (Ch * Zn1 + Zn * Ch1) Div Vsp; {числитель коэффициента B}
BZn := Zn * Zn1 Div Vsp; {знаменатель коэффициента B}
Vsp := Nod(Abs(Ch * Ch1), Zn1 * Zn);
CCh := Ch * Ch1 Div Vsp; {числитель коэффициента C}
CZn := Zn1 * Zn Div Vsp; {знаменатель коэффициента C}
A := Nok(BZn, CZn); {A}
B := BCh * A Div BZn; {B}
C := CCh * A Div CZn; {C}
Write(F, Chr(Ord('в') + J), ')~$', A, 'x^2');
If B <> 0
Then Begin
If B > 0
Then If B <> 1 Then Write(F, '+', B) Else Write(F, '+')
Else If B <> -1 Then Write(F, B) Else Write(F, '-');
Write(F, 'x');
End;
If C <> 0 Then If C < 0 Then Write(F, C) Else Write(F, '+', C);
Write(F, '=0$;');
If J = 0 Then WriteLn(F, '&') Else WriteLn(F, '\\');
End;
WriteLn(F, '\end{tabular}');
WriteLn(F);
WriteLn(F, '\end{document}');
Flush(F);
Close(F)
End.
\documentstyle[12pt,a4wide]{article}
\topmargin-3cm
\pagestyle{empty}
\setlength{\textheight}{27cm}
\setlength{\textwidth}{16cm}
\begin{document}
\begin{tabular}{ll}
а)~$x^2+2x-8=0$;& б)~$
x^2-4x-45=0$;\\
в)~$49x^2-7x-6=0$;&
г)~$12x^2+16x+5=0$;\\
\end{tabular}
\end{document}
Если в приведенную выше программу внести незначительные изменения, то можно получить вариант, генерирующий логарифмические уравнения или какие-либо другие. Вот результат работы такой программы.
\documentstyle[12pt,a4wide]{article}
\topmargin-3cm
\pagestyle{empty}
\setlength{\textheight}{27cm}
\setlength{\textwidth}{16cm}
\begin{document}
\begin{tabular}{ll}
а)~$\log_{2}^2x-\log_{2}x-20=0$;& б)~$\log_{5}^2x
+7\log_{5}x+10=0$;\\
в)~$15\log_{3}^2x+22\log_{3}x+8=0$;&
г)~$27\log_{2}^2x+12\log_{2}x+1=0$;\\
\end{tabular}
\end{document}
Пример 3. Задание по теме "Тождественные преобразования алгебраических выражений". (Из книги "Сборник задач для поступающих во втузы": Учеб. пособие / В.К. Егерев, Б.А. Кордемский, В.В. Зайцев и др.; Под. ред. М.И. Сканави. — 6-е изд., испр. и доп. — М.: "Столетие", 1997 — упр. 2.061, с. 21):
При решении поставленной задачи прежде всего проанализируем заданное выражение. Для этого выполним его преобразование и получим ответ:
Таким образом, можно заметить, что числитель дроби-делимого, полученной после алгебраических преобразований в первых скобках, есть произведение ответа и числителя дроби-делителя, полученной после преобразований во вторых скобках. Следовательно, сам ответ, знаменатель дробей и числитель дроби-делителя могут быть сгенерированы произвольно, а на их основе строится дробь-делимое. Кроме того, для приведения выражения к виду, заданному в образце, необходимо и в первой, и во второй скобке числитель частично разделить на знаменатель.
Эти соображения и реализованы в приведенной ниже программе.
Program V;
Var F : Text;
{Процедура, производящая начальные установки в формате LaTeXа}
Procedure UST;
Begin
WriteLn(F, '\documentstyle[12pt,a4wide]{article}');
WriteLn(F, '\topmargin-3cm');
WriteLn(F, '\pagestyle{empty}');
WriteLn(F, '\setlength{\textheight}{27cm}');
Характеристики
Тип файла документ
Документы такого типа открываются такими программами, как Microsoft Office Word на компьютерах Windows, Apple Pages на компьютерах Mac, Open Office - бесплатная альтернатива на различных платформах, в том числе Linux. Наиболее простым и современным решением будут Google документы, так как открываются онлайн без скачивания прямо в браузере на любой платформе. Существуют российские качественные аналоги, например от Яндекса.
Будьте внимательны на мобильных устройствах, так как там используются упрощённый функционал даже в официальном приложении от Microsoft, поэтому для просмотра скачивайте PDF-версию. А если нужно редактировать файл, то используйте оригинальный файл.
Файлы такого типа обычно разбиты на страницы, а текст может быть форматированным (жирный, курсив, выбор шрифта, таблицы и т.п.), а также в него можно добавлять изображения. Формат идеально подходит для рефератов, докладов и РПЗ курсовых проектов, которые необходимо распечатать. Кстати перед печатью также сохраняйте файл в PDF, так как принтер может начудить со шрифтами.














