CISCO1 (664746), страница 2
Текст из файла (страница 2)
Відміна дії будь-якої команди реалізована за допомогою т.з "негативних" команд –команд, яким передує префікс no, наприклад:
Router(config-if)#shutdown -виключає інтерфейс
Router(config-if)# no shutdown -включає інтерфейс.
Інколи при введенні негативних команд є потреба у вказуванні параметрів команд, дії яких вони відміняють.
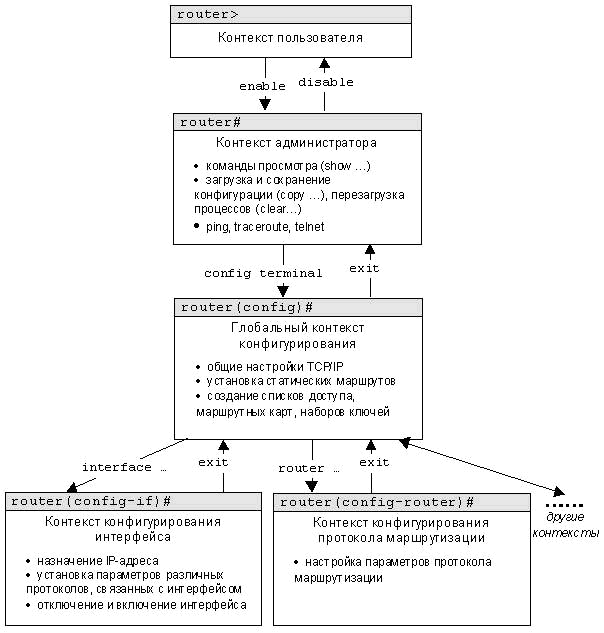
Малюнок 2.2.1. Схематична ієрархія команд Cisco IOS
2.2.1. Контекст адміністратора
Команди конфігурування дозволяють маніпулювати поточним режимом роботи маршрутизатора шляхом зміни значень параметрів, які зберігаються в файлі конфігурації.
Маршрутизатор Cisco зберігає конфігурацію в двох копіях –файл поточної конфігурації (running-config) в RAM та файл стартової конфігурації (startup-config) в NVRAM. Файли конфігурації є текстовими файлами, що містять секції, кожна з яких відповідає одній із підсистем маршрутизатора; в секціях прописуються значення конкретних параметрів відповідних підсистем. При завантаженні Cisco IOS зчитує команди конфігурації з файлу startup-config (в NVRAM) до файлу running-config (в RAM). Поточна конфігурація є активною у процесі функціонування маршрутизатора.
Всі команди вступають в дію одразу ж після їх введення і прописуються до файлу поточної конфігурації (running-config) в RAM. Деякі настройки маршрутизатора та його окремих підсистем мають значення по умовчанню. До файлу конфігурації прописуються лише ті значення параметрів, які відрізняються від значень, прийнятих по умовчанню.
Контекст адміністратора містить команди перегляду файлів поточної та стартової конфігурацій:
show running-config [options]
-перегляд файлу поточної конфігурації;
show startup-config [options]
-перегляд файлу стартової конфігурації;
Параметри [options] дозволяють керувати процесом виводу і дозволяють, наприклад, здійснювати вивід не всього файлу, а вмісту деякої окремої його секції.
Якщо маршрутизатор втратить управління і буде перезавантажений, всі зміни, зафіксовані в running-config буде втрачено, якщо їх попередньо не було збережено до файлу стартової конфігурації (startup-config) в NVRAM. Для збереження змін у файлі стартової конфігурації слід користуватися командою:
Router# copy running-config startup-config
Конфігурація маршрутизатора може зберігатися на TFTP –сервері і завантажуватися з нього. Для цього необхідно вказувати ІР -адресу TFTP –сервера та назву файлу, під якою буде збережено файл конфігурації. Команда збереження на TFTP має вигляд:
copy TFTP://
Якщо параметр <назва файлу> не буде вказано, Cisco IOS запропонує вказати його значення в процесі діалогу.
При збереженні однієї конфігурації поверх іншої можливі два варіанти: перезапис і злиття. При перезапису стара конфігурація попередньо видаляється, а при злитті –команди нової конфігурації дописуються до старої так, ніби вони вводилися вручну. При злитті конфігурацій можлива низка побічних ефектів, що має особливе значення при злитті списків доступу, оскільки порядок запису рядків списків має суттєве значення. Злиття може змінити цей порядок і суттєво спотворити роботу маршрутизатора.
Наведена нижче таблиця містить перелік можливих команд збереження конфігурації; всі команди виконуються в контексті адміністратора.
Таблиця 2.2.2. Варіанти команд збереження конфігурації.
| Звідки | Куди | Команда | Варіант |
| Рабочая | Начальная | copy running-config startup-config | Перезапис |
| TFTP | Начальная | config overwrite-network або copy tftp startup-config | Перезапис |
| Рабочая | TFTP | copy running-config tftp | Перезапис |
| Начальная | TFTP | copy startup-config tftp | Перезапис |
| Начальная | Рабочая | config memory або copy startup-config running-config | Злиття |
| TFTP | Рабочая | config network або copy tftp running-config | Злиття |
Інформація про маршрутизатор (модель, розмір пам'яті, версія IOS, кількість і типи інтерфейсів) доступна по команді:
show version
Ця команда виводить наступні важливі дані:
-
Версія IOS, під управлінням якої працює маршрутизатор;
IOS (tm) 3600 Software (C3620-JSX-M), Version 12.2(13b)
-
Версія BOOTSTRAP IOS:
ROM: System Bootstrap, Version 11.1(20)AA2
-
Файл з образом IOS, з якого система була завантажена:
flash:c3620-jsx-mz.122-13b.bin
-
Модель маршрутизатора:
cisco 3620 (R4700) processor (revision 0x81)
-
Розмір оперативної пам'яті (виводиться у вигляді двох чисел –розміру процесорної пам'яті та розмір пам'яті вводу-виводу:
with 60416K/5120K bytes of memory.
-
Розмір NVRAM:
29K bytes of non-volatile configuration memory.
-
Розмір пам'яті FLASH:
16384K bytes of processor board System flash (Read/Write)
-
Значення конфігураційного регістра:
Configuration register is 0x2102
Перегляд вмісту FLASH –пам'яті реалізований командою show flash, результат виконання має вигляд:
System flash directory:
File Length Name/status
1 13205088 c3620-jsx-mz.122-13b.bin
[13205152 bytes used, 3047776 available, 16252928 total]
16384K bytes of processor board System flash (Read/Write)
Моніторинг завантаження процесора:
show processes
show processes cpu
show processes memory
Другий варіант команди виводить більш детальну інформацію про навантаження процесора (середнє завантаження кожного процесора за останні 5 секунд, 1 та 5 хвилин.), а третій –про завантаження процесами оперативної пам'яті:
PID -ідентифікатор процесу;
Qty -перший символ -приорітет процесу:
С-критичний (Critical)
Н –високий (High)
М –середній (Medium)
L –низький (Low)
-наступні символи -статус процесу
* -виконується процесором
we –очікування події (wait event)
si –очікування завершення інтервалу часу
sp –очікування завершення періоду (для періодичних процесів)
st –очікування спрацювання таймера.
Runtime -сумарний час (в мілісекундах) виконання процесу центральним процесором.
Invoked -скільки разів з моменту створення процесу центральний процесор переходив до його виконання.
USecs -середня тривалість однієї активації процесу (в мікросекундах)
5Sec, 1Min, 5Min
-середнє завантаження процесора даним процесом за останні 5с., 1хв., 5 хв.
Allocated -загальний розмір пам'яті, виділеної під процес з моменту його створення.
Freed -загальний об'єм пам'яті, звільненої процесом з моменту його створення.
Holding -розмір пам'яті, виділений процесу на поточний момент.
Моніторинг загального завантаження RAM реалізований командою:
show memory
Head Total(b) Used(b) Free(b) Lowest(b) Largest(b)
Processor 622D4780 25344128 6839588 18504540 18500600 18480200
I/O 3B00000 5242904 2145848 3097056 3097056 3096796
...подальший вивід пропущено...
Для кожного пулу пам'яті (процесорного та вводу виводу) вказуються:
Total -розмір пулу в байтах;
Used -скільки пам'яті задіяно на поточний момент;
Free -кількість незадіяної пам'яті;
Lowest -найменший розмір пам'яті, який був доступний для виділення з даного пулу;
Largest -розмір найбільшого неперервного блоку, доступний для виділення в поточний момент.
Завдання заміни образу IOS шляхом копіювання необхідного образу з TFTP –сервера до FLASH –пам'яті здійснюється командою:
copy tftp flash
із наступним пере завантаженням маршрутизатора.
Примусове пере завантаження маршрутизатора здійснюється командою:
reload
Якщо на момент пере завантаження виявлено факт попередньої зміни файлу поточної конфігурації running-config, Cisco IOS запропонує варіанти його збереження в файлі startup-config (або відмова від збереження).
2.2.2. Контекст глобального конфігурування.
Перехід до контексту глобального конфігурування здійснюється з контексту адміністратора командою configure
з терміналу: configure terminal
з NVRAM: configure memory
з мережі: configure network
В контексті глобального конфігурування виконуються команди, які впливають на функціонування системи в цілому, а також команди переходу до контекстів конфігурування конкретних підсистем маршрутизатора. Контекст глобального конфігурування ідентифікується рядком запиту (config)# і допускає виконання наступних команд:
hostname <назва маршрутизатора>
Встановлює назву маршрутизатора замість назви по умовчанню "Router"
[no] enable password <пароль>
Команда парольного доступу до контексту адміністратора, який буде запитуватися під час виконання команди enable. Пароль прописується до файлу поточної конфігурації і зберігається там у відкритому (нешифрованому) вигляді. При відсутності цього пароля переключення до привілейованого режиму можна здійснити лише при використанні консолі, а з віртуального терміналу буде доступний лише контекст користувача.
[no] enable secret <пароль>
Команда, за своєю дією аналогічна попередньо описаній, однак пароль зберігається в зашифрованому MD5 –алгоритмом вигляді і має вищий пріоритет виконання.
[no] ip domain-lookup
Дозволити/заборонити звернення до DNS (Domain Name Service)
[no] cdp run
Дозволяє/забороняє використання протоколу CDP (Cisco Discovery Protocol) виявлення безпосередньо підключеної апаратури Cisco, тобто доступної на канальному рівні. Протокол з періодичністю 60 с. опитує порти маршрутизатора на предмет наявності апаратури Cisco і заносить інформацію про виявлені пристрої до бази даних.
Маршрути до безпосередньо приєднаних мереж заносяться до таблиці маршрутизації автоматично одразу ж після конфігурування інтерфейсу, при умові, що цей інтерфейс працездантий (line protocol up). Для формування додаткових статичних маршрутів призначена команда:
[no] ip route [options]
-адреса цільової мережі
-маска цільової мережі
В якості параметра
-безпосередню адресу сусіднього (доступного на канальному рівні) маршрутизатора.
-адресу віддаленої мережі або віддаленого хоста (опосередкована маршрутизація).
-локальний інтерфейс.
Опосередкований маршрут вказує на запис в таблиці маршрутизації, в якому знаходиться прямий маршрут. Дозволяється формувати таким чином послідовності маршрутів будь-якої довжини. Локальний інтерфейс рекомендується вказувати лише для двоточкових інтерфейсів.
Статичні маршрути фіксуються в файлі стартової конфігурації, а до таблиці маршрутизації піднімаються тільки при умові досяжності вказаного в них маршруту.
Для регулювання пріоритетами маршрутів слід користуватися параметром <адміндистанція>, який може приймати значення від 0 до 255. Рівень пріоритету зворотно пропорційний значенню адміністративної дистанції і в таблицю маршрутизації з усіх активних маршрутів, що ведуть до даного префікса піднімається лише маршрут з найменшим значенням адміндистанції. По умовчанню адміндистанція статичних маршрутів рівна 1.
Нульове значення зарезервоване системою Cisco IOS і не може бути використане в явному вигляді, однак неявно нульову адміндистанцію можна задати, вказавши в якості параметра
Команда:
[no] ip default network
Дозволяє вказати маршрут по умовчанню, відмінний від стандартного. Параметр <адреса віддаленої мережі> повинен бути статично описаний в таблиці маршрутизації. Можливим є визначення декількох маршрутів по умовчанню – в цьому випадку при обранні маршруту Cisco IOS користується значеннями адміністративної дистанції та метричною інформацією. Маршрути по умовчанню в таблиці маршрутизації позначаються символом "*".
Наведений нижче приклад демонструє використання маршруту в мережу 10.0.0.0 в якості маршруту по умовчанню.
ip route 10.0.0.0 255.0.0.0 10.108.3.4
ip default-network 10.0.0.0















