45332 (664689)
Текст из файла
§1. ЧИСЛЕННОЕ РЕШЕНИЕ НЕЛИНЕЙНЫХ УРАВНЕНИЙ.
1п. Общий вид нелинейного уравнения
F(x)=0
Нелинейные уравнения могут быть двух видов:
-
Алгебраические
anxn + an-1xn-1 +… + a0 = 0 -
Трансцендентные- это уравнения в которых х является аргументом тригонометрической, логарифмической или показательной функции.
Значение х0 при котором существует равенство f(x0)=0 называется корнем уравнения.
В общем случае для произвольной F(x) не существует аналитических формул определения корней уравнения. Поэтому большое значение имеют методы, которые позволяют определить значение корня с заданной точностью. Процесс отыскания корней делиться на два этапа:
-
Отделение корней, т.е. определение отрезка содержащего один корень.
-
Уточнение корня с заданной точностью.
Для первого этапа нет формальных методов, отрезки определяются или табуляцией или исходя из физического смысла или аналитическими методами.
Второй этап, уточнение корня выполняется различными итерационными методами, суть которых в том, что строится числовая последовательность xi сходящихся к корню x0
Выходом из итерационного процесса являются условия:
-
│f(xn)│≤ε
-
│xn-xn-1│≤ε
рассмотрим наиболее употребляемые на практике методы: дихотомии, итерации и касательных.
2 п. Метод половинного деления.
Дана монотонная, непрерывная функция f(x), которая содержит корень на отрезке [a,b], где b>a. Определить корень с точностью ε, если известно, что f(a)*f(b)<0
Суть метода
Данный отрезок [a,b] делится пополам, т.е. определяется x0=(a+b)/2, получается два отрезка [a,x0] и [x0,b], далее выполняется проверка знака на концах, полученных отрезков для отрезка, имеющего условия f(a)*f(x0)≤0 или f(x0)*f(b)≤0 снова проводится деление пополам координатой х, снова выделение нового отрезка и так продолжается процесс до тех пор пока │xn-xn-1│≤ε
Приведем ГСА для данного метода
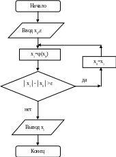
3п. Метод итерации.
Дана непрерывная функция f(x), которая содержит единственный корень на отрезке [a,b], где b>a. Определить корень с точностью ε.
Суть метода
Дано f(x)=0 (1)
Заменим уравнение (1) равносильным уравнением x=φ(x) (2). Выберем грубое, приближенное значение x0 , принадлежащее[a,b], подставим его в правую часть уравнения (2), получим:
x1= φ(x0) (3) , далее подставим х1 в правую часть уравнения (3) получим:
x2= φ(x1) (4)
x3= φ(x2) (5)
Проделаем данный процесс n раз получим xn=φ(xn-1)
Если эта последовательность является сходящейся т.е. существует предел
x* =lim xn , то данный алгоритм позволяет определить искомый корень.
Выражение (5) запишем как x*= φ(x*) (6)
Выражение (6) является решением выражения (2), теперь необходимо рассмотреть в каких случаях последовательность х1…хn является сходящейся.
Условием сходимости является если во всех токах x принадлежит [a,b] выполняется условие:
Приведем ГСА для метода итерации:
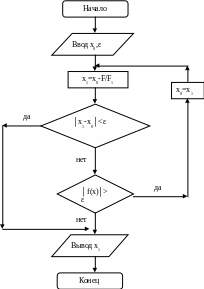
4 п. Метод касательных (Ньютона).
Дана непрерывная функция f(x), которая содержит единственный корень на отрезке [a,b], где b>a при чем определены непрерывны и сохраняют знак f`(x) f``(x). Определить корень с точностью ε.
Суть метода
-
Выбираем грубое приближение корня х0 (либо точку a, либо b)
-
Наити значение функции точке х0 и провести касательную до пересечения с осью абсцисс, получим значение х1
-
О
пределить значение функции в точке х1, через эту точку провести касательную получим точку х2
Е
сли процесс сходящийся то xn можно принять за искомое значение корня
Условиями сходимости являются:
│f(xn)│≤ε
│xn-xn-1│≤ε
Приведем ГСА метода касательных:
5п. Задание для РГР
Вычислить корень уравнения
На отрезке [2,3] с точностью ε=10-4 методами половинного деления, итерации, касательных.
6 п. Сравнение методов
Эффективность численных методов определяется их универсальностью, простотой вычислительного процесса, скоростью сходимости.
Наиболее универсальным является метод половинного деления, он гарантирует определение корня с заданной точностью для любой функции f(x), которая меняет знак на [a,b]. Метод итерации и метод Ньютона предъявляют к функциям более жесткие требования, но они обладают высокой скоростью сходимости.
Метод итерации имеет очень простой алгоритм вычисления, он применим для пологих функций.
Метод касательных применим для функций с большой крутизной, а его недостатком является определение производной на каждом шаге.
ГСА головной программы, методы оформлены подпрограммами.
Программа по методам половинного деления, итерации и метода Ньютона.
CLS ‑
a = 2: b = 3: E = .0001
DEF FNZ (l) = 3 * SIN(SQR(l)) + .35 * l - 3.8
F1 = FNZ(a): F2 = FNZ(b)
IF F1 * F2 > 0 THEN PRINT "УТОЧНИТЬ КОРНИ": END
GOSUB 1
x0 = a
IF ABS((-3 * COS(SQR(x))) / (.7 * SQR(x))) > 1 THEN PRINT "НЕ СХОДИТСЯ"
DEF FNF (K) = -(3 * SIN(SQR(x)) - 3.8) / .35
GOSUB 2
x0 = b
F = FNZ(x0)
DEF FND (N) = (3 * COS(SQR(N)) / (2 * SQR(N))) + .35 _
IF F * (-4.285 * (-SQR(x0) * SIN(SQR(x)) - COS(SQR(x))) / (2 * x * SQR(x))) < then print “не сходится”:end
GOSUB 3
END
'=========Метод половинного деления========
1 x = (a + b) / 2: T = T + 1
F3 = FNZ(x)
IF ABS(F3) < E THEN 5
IF F1 * F3 < 0 THEN b = x ELSE a = x
IF ABS(b - a) > E THEN 1 ‑
5 PRINT "X="; x, "T="; T
RETURN
'=========Метод итерации==========
2 x0 = a
12 X2 = FNF(x0): S = S + 1
IF ABS(X2 - x0) > E THEN x0 = X2: GOTO 12
PRINT "X="; X2, "S="; S
RETURN
'========Метод касательных=======
3 x0 = b
23 D = D + 1
F = FNZ(x0): F1 = FND(x0)
X3 = x0 - F / F1
IF ABS(X3 - x0) < E THEN 100
IF ABS(F) > E THEN x0 = X3: GOTO 23
100 PRINT "X="; X3, "D="; D
RETURN
Ответ
x= 2,29834 T=11
x=2,29566 S=2
x=2,29754 D=2
где T,S,D-число итерации для метода половинного деления, итерации, касательных соответственно.
Характеристики
Тип файла документ
Документы такого типа открываются такими программами, как Microsoft Office Word на компьютерах Windows, Apple Pages на компьютерах Mac, Open Office - бесплатная альтернатива на различных платформах, в том числе Linux. Наиболее простым и современным решением будут Google документы, так как открываются онлайн без скачивания прямо в браузере на любой платформе. Существуют российские качественные аналоги, например от Яндекса.
Будьте внимательны на мобильных устройствах, так как там используются упрощённый функционал даже в официальном приложении от Microsoft, поэтому для просмотра скачивайте PDF-версию. А если нужно редактировать файл, то используйте оригинальный файл.
Файлы такого типа обычно разбиты на страницы, а текст может быть форматированным (жирный, курсив, выбор шрифта, таблицы и т.п.), а также в него можно добавлять изображения. Формат идеально подходит для рефератов, докладов и РПЗ курсовых проектов, которые необходимо распечатать. Кстати перед печатью также сохраняйте файл в PDF, так как принтер может начудить со шрифтами.















