45073 (664196)
Текст из файла
9
МГУПС
(МИИТ)
Кафедра “Автоматизированные системы управления”
Курсовая работа по дисциплине «Основы теории информации»
Руководитель работы,
О.А. Брижинева
(подпись, дата)
Исполнитель работы,
студентка группы МИС-311 Е.А. Болотова
Москва 2000
Задание на курсовое проектирование
по дисциплине «Теория информационных систем»
Вариант 4.
В ИС поступают заявки от 4-х «источников» с постоянной интенсивностью от каждого «источника» соответственно 1 = 1,25 мин-1, 2 = 1,25 мин-1, 3 = 1,25 мин-1, 4 = 1,25 мин-1. Поток заявок от каждого «источника» - простейший Каждый «источник» заявок связан с ИС одним каналом передачи данных, работающим в направлении «источник» - ИС. Время передачи сообщения по каждому из каналов случайное, экспоненциально распределенное со средним значением 30 сек. При передаче сообщений используется принцип коммутации сообщений.
Объем буферного ЗУ не ограничен. Длительность обработки заявки в ИС – случайная, экспоненциально распределенная величина со средним значением 20 сек. В ИС используется двухпроцессорный ВК (т.е. одновременно обрабатывается две заявки).
Результаты обработки заявок передаются в систему печатающих устройств, состоящую из буфера неограниченного объема и четырех принтеров. Длительность распечатки результатов обработки заявки – случайная, экспоненциально распределенная величина со средним значением 30 сек.
Требуется:
-
Оценить среднее время реакции ИС
-
Оценить загрузку ВК, систем связи и системы ПУ
-
Определить наименьшее требуемое количество процессоров, при котором среднее время реакции системы не превосходит 2,5 мин.
Система:
I
II III
1(1)
2(1)
3(1) (2) (3)
4(1)
Системы связи ИС ПУ
1(1)=2(1)=3(1)=4(1)= 1,25 мин-1
mx1 =30 сек = 0,5 мин
mx2 = 20 сек = 0,33 мин
mx3 = 30 cек = 0,5 мин
-
Оценить время реакции ИС
(2)
Граф состояний для ИС:
(2) (2) (2) (2) (2)
… …
… …
(2) 2(2) 2(2) 2(2) 2(2)
Время реакции ИС выражается формулой:
Среднее время обслуживания:
Средняя длина очереди:
-
Оценить загрузку ИС, систем связи, системы ПУ
В системе содержится 4-ре системы связи, имеющие одинаковые параметры.
i(1)
Граф состояний для системы связи:
(1)i (1)i (1)i (1)i (1)i (1)i
… …
… …
(1)i (1)i (1)i (1)i (1)i
Т.к. системы связи имеют одинаковые параметры, их коэффициенты загрузки тоже будут одинаковыми.
Коэффициент загрузки ИС:
(2)
Граф состояний для ИС:
(2) (2) (2) (2) (2)
… …
… …
(2) 2(2) 2(2) 2(2) 2(2)
К
оэффициент загрузки для ПУ:
(3)
Граф состояний для ПУ:
(3) (3) (3) (3) (3)
… …
… …
(3) 2(3) 3(3) 4(3) 4(3)
-
Найти наименьшее требуемое количество процессоров, при котором среднее время реакции всей системы не превосходило 2,5 мин.
Среднее время реакции всей системы складывается из 3-х составляющих: среднее время реакции систем связи, среднее время реакции ИС и среднее время реакции ПУ.
Среднее время реакции ИС было рассчитано ранее,
.
Среднее время реакции систем связи будет равно максимальному времени реакции одной из них, т.к. они работают параллельно. Т.к. эти системы имеют одинаковые параметры, то и время реакции у них будет одинаковое.
i(1)
Граф состояний для системы связи:
(1) (1) (1) (1) (1) (1)
… …
… …
(1) (1) (1) (1) (1)
Среднее время реакции ПУ:
(3)
Граф состояний для ПУ:
(3) (3) (3) (3) (3)
… …
… …
(3) 2(3) 3(3) 4(3) 4(3)
Время реакции всей системы при 2-х процессорах:
Время реакции систем связи и ПУ постоянно, параметром является число процессоров в ИС.
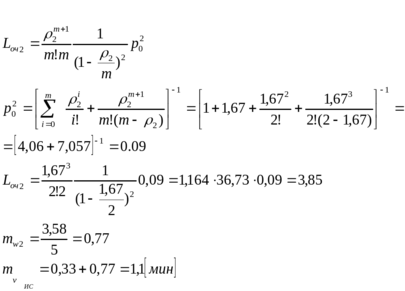
Время реакции ИС для 4-х процессоров:
(2)
Граф состояний для ИС:
(2) (2) (2) (2) (2)
… …
… …
(2) 2(2) 3(2) 4(2) 4(2)
Время реакции всей системы для 4-х процессоров:
Проведя аппроксимацию, найдем минимальное количество процессоров:
m
Из графика видно, что при mv
2,5 минимальное возможное количество процессоров m=3.
Характеристики
Тип файла документ
Документы такого типа открываются такими программами, как Microsoft Office Word на компьютерах Windows, Apple Pages на компьютерах Mac, Open Office - бесплатная альтернатива на различных платформах, в том числе Linux. Наиболее простым и современным решением будут Google документы, так как открываются онлайн без скачивания прямо в браузере на любой платформе. Существуют российские качественные аналоги, например от Яндекса.
Будьте внимательны на мобильных устройствах, так как там используются упрощённый функционал даже в официальном приложении от Microsoft, поэтому для просмотра скачивайте PDF-версию. А если нужно редактировать файл, то используйте оригинальный файл.
Файлы такого типа обычно разбиты на страницы, а текст может быть форматированным (жирный, курсив, выбор шрифта, таблицы и т.п.), а также в него можно добавлять изображения. Формат идеально подходит для рефератов, докладов и РПЗ курсовых проектов, которые необходимо распечатать. Кстати перед печатью также сохраняйте файл в PDF, так как принтер может начудить со шрифтами.















