creep9 (663382), страница 3
Текст из файла (страница 3)
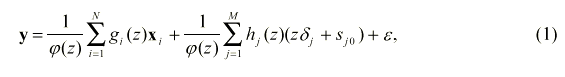
yt = CSt + DXt + (Xt, St), t ≥0,
где векторы рассматриваются как матрицы-столбцы; A, B, C, D - двоичные матрицы; а и каждый компонент в D = (d1, . . . , dM) – несбалансированные булевы функции, именуемые функциями шума. Основная идея состоит в том, чтобы рассматривать {(Xt ,St)}t=0 и {(Xt ,St)}t=0 , 1≤i≤M, в качестве входных последовательностей, так что последние уравнения оказываются задающими неавтономную линейную машину с конечным числом состояний или ЛПС, именуемую АЛПС комбинирующего узла с памятью. Тогда можно решать эту ЛПС с использованием техники производящих функций (D-преобразований). В частности, пусть S, X, , , y обозначают производящие функции от переменной z для последовательностей {St}, {Xt}, (Xt, St)}, (Xt, St)}, yt}, соответств
енно. Тогда уравнения сводятся к виду
Р
ешение имеет вид
где I - единичная матрица, det(zA - I) = (z), (0) = 1, - многочлен, обратный к характеристическому многочлену матрицы переходов A степени, не превышающей ранг A (≤M); а элементы (присоединенной) матрицы adj(zA - I) - это полиномы от z степени не более M-1. Вычислительная сложность для отыскания такого решения составляет O(M3(N+1)). В другом виде решение можно переписать как
г
де xi и j обозначают производящие функции для {xit} и {j(Xt, St)}, а степени полиномов gi(z) и hj(z) самое большее равны M и M-1, 1≤i≤N, 1≤j≤M, соответственно. Полагая
решение можно преобразовать к виду:
г
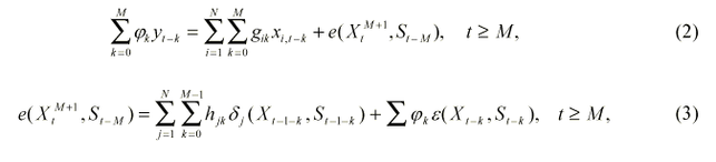
де подразумевается, что вектор состояния St-k - это функция от (Xt-k-1M-k, S t-M) для каждого 0≤k≤M-1. Линейные функции входа и выхода в (2) скоррелированы тогда и только тогда, когда функция шума e несбалансирована. Коэффициент корреляции не зависит от времени, если функция следующего состояния сбалансирована. Если это условие не удовлетворяется, то корреляционный коэффициент может зависеть от времени, поскольку от St более не требуется сбалансированность для каждого t≥0. Функция шума e в (3) определена как сумма индивидуальных шумовых функций, которые несбалансированы при условии, что сбалансирована функция следующего состояния. Поскольку от индивидуальных шумовых функций не требуется быть независимыми, в принципе нельзя исключать возможность, что коэффициент корреляции e с константной нулевой функцией равен нулю или очень близок к этому значению.
В рассматриваемом случае индивидуальные шумовые функции можно трактовать как булевы функции от n = MN + N + M переменных в (XM+1t , St -M). Следовательно, за исключением некоторых особых случаев, в общем случае можно с высокой вероятностью ожидать, что общий корреляционный коэффициент очень близок к произведению индивидуальных и, таким образом, отличается от нуля. Соответственно, метод АПЛС не только с высокой вероятностью дает взаимно коррелированные линейные функции от входа и выхода, но также позволяет оценить значение соответствующего корреляционного коэффициента, используя независимость или другие вероятностные предположения. Поскольку в идеальном случае хотелось бы получить такие АЛПС, в которых корреляционные коэффициенты по абсолютному значению близки к максимуму, то индивидуальные корреляционные коэффициенты должны быть крупными по величине, а количество шумовых членов в (3) должно быть маленьким. Конечно, эти требования могут противоречить друг другу. Поэтому хорошим подходом будет повторение процедуры АЛПС несколько раз, начиная с наилучших линейных аппроксимаций для функции выхода и компонент функции следующего состояния. Эта процедура может также выполняться для всех возможных линейных аппроксимаций, что представляется единственным систематическим способом проверить все корреляции, выявленные в процессе применения метода АЛПС. В общем случае имеется самое большее (M+1)2M+N таких линейных аппроксимаций. Однако, в принципе всегда можно проверить все возможные линейные аппроксимации даже при большом M, поскольку в практических реализациях функции выхода и следующего состояния зависят от сравнительно небольшого количества переменных или же составлены из таких булевых функций.
С практической точки зрения данная линейная модель может быть использована для выделения по шифротексту генератора RC4 среди других криптосистем, а также для восстановления параметра n. В 2000 году была опубликована статья Скотта Флюера и Дэвида Мак-Гри посвященная статистистическому анализу потокового генератора RC4, в которой были использованы результаты работы Голича для нахождения значения компонент S-бокса. Приблизительное время работы этого метода составляет 26n, где n – порция битов в выходном потоке, длина выходной последовательности, требуемая для выявления статистической слабости, близка к 230. Полученный результат указывает на существенную слабость генератора и возможность восстановить параметры i и n. S-бокс может принимать 2nk, где nk – число битов ключа.
2. Защита информации в операционных системах Microsoft Windows 9x
2.1 Аутентификация, безопасность и доступ к ресурсам в операционных системах семейства Microsoft Windows 9x
В операционных системах Microsoft Windows 9x для аутентификации пользователя используется имя пользователя, а для подтверждения введенного имени – процедура аутентификации, использующая символьный пароль пользователя. Алгоритм этой процедуры, которая вызывается из библиотеки MSPWL32.DLL, состоит из следующих шагов:
Шаг 1. Пользователь вводит свое имя и пароль в формате Unicode.
Шаг 2. Имя и пароль преобразуется в формат ASCII, причем строчные буквы преобразуются в прописные.
Шаг 3. Осуществляется преобразование пароля с помощью с алгоритма хэширования RC4.
Шаг 4. Результат сравнивается с данными, которые вычисляются путем дешифрования данных, хранящихся в PWL-файле, в начале загрузки операционной системы.
Шаг 5. В случае успешной проверки на шаге 4 пользователь получает доступ к системным ресурсам.
Управление доступом к сетевым ресурсам в операционных системах Windows 9x осуществляется с помощью механизма профилей. Для этого создаются профили пользователей. Профиль пользователя в хранится в файле user.dat, который содержит учетную запись пользователя. Все профили системы содержатся в этом файле. Владелец компьютера, т. е. системный администратор, может присвоить тому или иному пользователю так называемый перемещаемый профиль, т. е. вы может произвести настройки профилей локально или через сеть. Настройка и установка профилей пользователей осуществляется через вкладку “Настройка пользователя”, обратиться к которой можно посредством двойного щелчка клавишей мыши на пиктограмме “Пользователи”.
Для создания нового профиля, требуется обратится к соответствующему мастеру нажатием кнопки “Добавить“. После чего система просит ввести пароль. После того создания новых профилей и настройки соответствующих параметров, Windows 9x при каждой загрузке будет выводить диалоговое окно регистрации, в котором необходимо ввести свое имя и установленный пароль.
Концепция безопасности компьютера подразумевает защиту всех его компонентов - аппаратные средства и приложения - от несанкционированного доступа из локальной сети или Internet. В Windows 9x любой пользователь вашего компьютера может зарегистрироваться в системе. При этом имя пользователя и пароль могут быть такими же, как и при входе в сеть.
Концепция безопасности в Windows 9x весьма примитивна. В этой системе администратор, не можете создать группу пользователей, завести учетную запись пользователя, изменить права пользователя. Вместо продвинутого “Диспетчера пользователей” эта система предлагает довольно простенькое диалоговое окно свойств “Пароли”. Windows 9x не обеспечивает достаточного уровня безопасности.
Механизм безопасности в Windows 9x реализован только на уровне регистрации пользователя, т.е. так называемая унифицированная регистрация. Однажды введенный пароль и имя пользователя в окне регистрации при загрузке системы используется для доступа ко всем службам, приложениям и аппаратным ресурсам компьютера, поэтому хорошо подобранный пароль способен защитить вашу систему от проникновения. Никогда не следует записывать свой пароль на бумаге, пользоваться очевидными паролями (имена, названия городов), отправлять свой пароль по электронной почте, но следует использовать разумное количество символов при составлении пароля, иначе его можно просто забыть.
С помощью вкладки “Смена” паролей“ диалогового окна свойств “Пароли” изменяются параметры унифицированной регистрации всех ресурсов компьютера посредством задания нового пароля пользователя.
Задать новый пароль можно через вкладку “Настройка пользователя“. Для установки защиты на конкретный ресурс компьютера необходимо сделать его разделяемым. Windows 9x позволяет управлять ресурсами компьютера пользователям, имеющим удаленный доступ к системе. Для чего требуется добавить соответствующую службу с помощью вкладки “Сеть” и после этого в диалоговом окне свойств “Пароли” появится новая вкладка “Удаленное управление”. Таким образом проведя оценку системы безопасности Windows 9x, мы сделали вывод о ее недостаточной надежности. Стандартный набор офисного программного обеспечения Microsoft Office также недостаточно надежен, но поскольку эффективные средства его криптоанализа уже разработаны, то в данной работе эта тема не рассматривается.
2.2 Структура PWL–файлов
Для аутентификации в операционных системах Microsoft Windows 9x используются, хранящиеся в директории операционной системы, файлы *.PWL, которые содержат кэшированную парольную информацию. Какая бы то ни было документация по их структуре отсутствует, поэтому нами было проведено исследование этих файлов и было выяснен их формат.
Таблица 1.1
Структура PWL-файла.
| Смещение | Windows 3.11, Windows 95 без Service Pack | Windows 95 с Service Pack, Windows OSR2 и Windows 98 |
| 0000:0003 | Сигнатура - B0 6 4D 4E ("MFN") | Сигнатура – E3 82 85 96 ("yВЕЦ") |
| 0004:0007 | Счетчик пользователя | Счетчик пользователя |
| 0008:107 | Resource Link Index | Resource Link Index |
| 0108 | Нулевой байт | Нулевой байт |
| 0109:0207 | Resource Key Entry | Resource Key Entry |
| 0208:021B | Имя пользователя | |
| 0208:0250 | Таблица указателей на начала ресурсов | |
| 021C:023D | Таблица указателей на начала ресурсов | |
| 023E:025E | Ресурс 0 … ресурс F | |
| 0251 | Нулевой байт | |
| 052:02AF | Ресурс 0 … ресурс F |
В одном ресурсе может быть несколько парольных записей, следующих одна за другой. Первое слово каждой записи представляет собой длину записи, включая и это слово. Признаком конца цепочки записей является нулевое слово. Таким образом пустой ресурс - это просто нулевое слово. Тогда ясно, что если PWL-файл в Windows95 имеет длину 606 байт, и соответственно 688 в Windows98, то все ресурсы в нем пустые. Каждый ресурс зашифрован гаммой, которая накладывается, начиная с его начала.
PWL-файл шифруется простым гаммированием, гамма генерируется алгоритмом RC4. При первой регистрации пользователя запрашивается пароль. Далее пароль приводится к верхнему регистру и сворачивается в ключ. Из этого ключа порождается гамма (псевдослучайная последовательность нулей и единиц). Эта гамма сложением по модулю два накладывается на каждый из ресурсов с его начала и зашифровывает их. Аналогично ресурсам зашифровывается и
мя пользователя и таблица указателей на начала ресурсов.
Рис. 5. Структура PWL-файла
Полученный ключ используется для инициализации генератора псевдослучайных чисел по алгоритму RC4. Для каждого ключа RC4 порождает уникальную битовую последовательность (гамму).
Алгоритм сопоставления ключа паролю слаб тем, что при выбранной длине ключа в двойное слово, множество различных ключей 232 оказывается неизмеримо меньше множества различных паролей. Это означает, что существуют пароли, которые операционная система не различает.
















