26249-1 (663097), страница 2
Текст из файла (страница 2)
Хотя для повышения помехоустойчивости желательно увеличивать коэффициент насыщения, однако следует помнить, что при этом растет время переключения транзисторного ключа.
3. ВКЛЮЧЕНИЕ ТРАНЗИСТОРНОГО КЛЮЧА
Транзистор переходит из режима отсечки в режим насыщения и обратно не мгновенно, а в течение определенного времени. Эта инерционность биполярного транзистора обусловлена двумя основными факторами: накоплением заряда неосновных носителей в базе и емкостями коллекторного Ск и эмиттерного Сэ переходов. Кроме того, на длительность переходных процессов транзисторного ключа оказывает влияние емкость нагрузки Сн.
Расчет длительности переходных процессов в транзисторном ключе проводится методом заряда, базирующимся на том факте, что в базе объемный заряд неосновных носителей скомпенсирован, т. е. база электрически нейтральна.
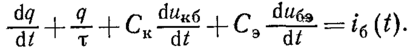
Метод заряда. Так как в базе (p-область) неосновными носителями являются электроны, то при uбэ > Uотп ток базы iб(t) определяет скорость накопления электронов dq/dt в ней (q — заряд неосновных носителей) и компенсирует их убывание q/ в результате рекомбинации ( — время жизни неосновных носителей в базе). Кроме того, ток базы идет на перезарядку емкостей' Ск и Сэ при изменении напряжения на переходах. Следовательно,
Если емкостные токи коллекторного
и эмиттерного
переходов невелики, то уравнение (7.2) упрощается:
dq/dt + q/ = iб(t) (7.3)
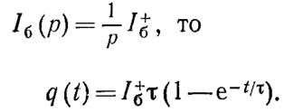
В стационарном состоянии, когда dq/dt = 0,
q = Iб, (7.4)
т. е. избыточный заряд неосновных носителей в базе пропорционален базовому току. Это соотношение справедливо не только в активном режиме, но и в режиме насыщения транзистора.
С помощью уравнений (7.2) или (7.3) можно определить объемный заряд неосновных носителей в базе в функции времени. Однако при расчете импульсных схем на транзисторах основной интерес представляет определение закона изменения коллекторного тока.
В активном режиме работы транзистора при условии, что распределение концентрации неосновных носителей заряда в базе является линейным, имеет место соотношение, которое с известным приближением дает связь между зарядом неосновных носителей в базе и коллекторным током транзистора:
Это соотношение в стационарном режиме справедливо с высокой точностью. Однако в переходном режиме, длительность которого соизмерима с временем распространения носителей вдоль базы, линейный характер распределения неосновных носителей в базе нарушается.
Решая уравнения (7.2) или (7.3) и используя соотношение (7.5), можно определить закон изменения коллекторного тока при заданном базовом токе. Преобразуем по Лапласу уравнение (7.3), поскольку это упрощает процедуру решения при различных начальных условиях:
где q(0) — начальное значение заряда неосновных носителей в базе; р — оператор Лапласа.
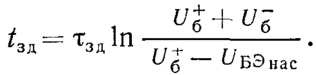
Задержка включения. Рассмотрим процесс включения транзисторного ключа при условии, что в момент времени /о на его входе напряжение скачком изменяется от Uб- до Uб+ (рис. 7.5). В базовой цепи устанавливается ток
. Хотя управляющее напряжение изменяется скачком, разность потенциалов между базой и эмиттером из-за наличия прежде всего емкостей Сэ и Ск нарастает до значения Uотп при котором транзистор открывается, но не сразу, а в течение определенного времени. Таким образом, импульс коллекторного тока начинается в момент времени, т. е. с некоторой задержкой относительно момента подачи отпирающего напряжения Интервал времени tзд = t1 – t0 определяет длительность стадии задержки - время, в течение которого происходит перезарядка емкостей Сэ и Ск. Так как в это время через транзистор протекают емкостные токи, то эквивалентная схема транзисторного ключа
Рис. 7 5. Переходные процессы в ключе ОЭ
Рис. 7.6. Эквивалентная схема ключа
на этапе задержки включает внешние резисторы и емкости переходов (рис. 7.6).
В транзисторном ключе обычно Rб > Rк поэтому, пренебрегая Rк получим цепь первого порядка, переходной процесс в которой определяется соотношением
где
. Когда емкость нагрузки транзисторного ключа Сн соизмерима или больше суммарной емкости переходов,
. После подстановки получим
Стадия задержки заканчивается, когда
поэтому
Формирование фронта. Когда в момент времени t1 эмиттерный переход открывается, начинается процесс нарастания коллекторного тока, сопровождающийся снижением коллекторного напряжения. Коллекторный ток увеличивается до момента времени t2 , когда транзистор входит в режим насыщения. В интервале времени t1 …t2 . происходит формирование фронта импульса тока. Длительность фронта tф = t1 + t2 можно определить из уравнения (7.6). Так как начальный объемный заряд q(0) = 0, а
Подставив выражение (7.9) в (7.5), получим:
Таким образом, и объемный заряд неосновных носителей в базе, и коллекторный ток во время формирования фронта изменяются по экспоненциальному закону. Когда iк (t2 ) = Iк и заряд неосновных носителей в базе достигает значения q(t2) = Iк нас /h21э, формирование фронта заканчивается. Воспользовавшись соотношением (7.9), получим формулу для расчета длительности фронта
Из полученного соотношения следует, что увеличение базового тока включения приводит к уменьшению длительности фронта импульса коллекторного тока. Если при формировании фронта емкостный ток соизмерим с коллекторным током транзистора, то для расчета tф в формуле (7.11) необходимо заменить на экв из (7.8).
После того как транзистор войдет в режим насыщения, ток iк и напряжение uкэ перестают изменяться, но процесс накопления заряда продолжается по экспоненциальному закону в соответствии с выражением (7.9), однако постоянная времени здесь другая: нас = (0,8. . .0,9).
Поскольку процесс накопления носит экспоненциальный характер, то время, в течение которого заряд неосновных носителей достигает стационарного значения, можно вычислить по формуле tнас = (0,8. . .0,9)нас .
На этом процесс включения транзисторного ключа заканчивается.
4. ВЫКЛЮЧЕНИЕ ТРАНЗИСТОРНОГО КЛЮЧА
Когда в момент времени t3 происходит переключение входного напряжения с Uб+ на Uб- (см. рис. 7.3), начинается процесс выключения транзисторного ключа. При переключении входного напряжения ток базы меняет направление и становится равным
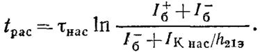
Стадия рассасывания. В результате изменения направления базового тока начинается процесс рассасывания неосновных носителей. Несмотря на уменьшение заряда, транзистор некоторое время находится в режиме насыщения и коллекторный ток остается равным Iк нас В момент времени t4 (см. рис. 7.5) концентрация неосновных носителей около коллекторного перехода уменьшается до нуля и на коллекторном переходе восстанавливается обратное напряжение.
Таким образом, интервал времени tрас = t4 – t3 определяет задержку среза импульса коллекторного тока. Время tрас, которое называется временем рассасывания, можно определить из уравнения (7.6), положив
Переходя от изображения к оригиналу, получим
Этап рассасывания заканчивается, когда транзистор входит в активный режим, и если положить, что в момент времени t4 объемный заряд q(t4) = нас Iк нас /h21э , то получим
Иногда зарядом q(t4 ) пренебрегают, и формула для расчета времени рассасывания принимает вид
Стадия формирования спада. В дальнейшем начинается уменьшение базового и коллекторного токов, что сопровождается увеличением напряжения uкэ и формируется спад вершины импульса коллекторного тока. Процессы, протекающие в транзисторном ключе в этой стадии, довольно сложны, и количественная оценка длительности спада зависит от того, какие факторы превалируют. Принимая во внимание, что в момент окончания стадии спада q(t5) = 0, получаем
Данная формула получена при довольно грубом приближении, поскольку в действительности ток базы не остается постоянным и нельзя пренебрегать токами зарядки и емкости нагрузки транзисторного ключа. Когда определяющим является процесс зарядки этих емкостей, то длительность спада рассчитывается по формуле
5. СПИСОК ЛИТЕРАТУРЫ
-
Быстров Ю. А. Мироненко И. Г. “Электронные цепи и устойства”
-
Манаев Е. И. “Основы радиоэлектроники”
-
Степаненко И. П. “Основы микроэлектроники”
-
Пасынков В. В. “Полупроводниковые приборы”














