CBRR2314 (661089), страница 5
Текст из файла (страница 5)
На какую сумму должен быть выплачен вексель, чтобы поставщик, проведя операцию учета, получил стоимость товаров в полном объеме, если банковская учетная ставка равна 15 %?
Нетрудно заметить, что здесь мы имеем дело с обратной задачей – наращиваем по учетной ставке d. При этом будущая величина FV (номинал векселя) определяется по формуле (20):
У
чтенный (купленный) банком вексель в свою очередь может быть переучтен (продан)в другом банке. Доходность купли-продажи векселя в этом случае зависит от у
ровня используемых ставок:
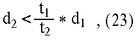
где t1 - число дней до погашения в момент покупки ;
t2 – число дней до погашения в момент перепродажи;
P1 – цена покупки;
P2 – цена перепродажи;
d1 – учетная ставка при покупке;
d2 – учетная ставка при продаже.
К
ак следует из приведенных соотношений, для продавца операция переучета будет доходной в том случае, если выполняется следующее неравенство:
В
некоторых случаях товарные векселя могут выпускаться в виде ценной бумаги с фиксированным доходом, выплачиваемым по ставке r в срок погашения. Современная стоимость такого векселя при учете будет равна:
где r – ставка по векселю;
t – срок векселя;
t1 – число дней до погашения;
d – учетная ставка банка.
1 Долан Дж. Деньги, банковское дело и денежно-кредитная политика. С.-Пб. – 1994 г.
1 Сименкова Е.В. Операции с ценными бумагами. М. 1997 г.
1 Мешкова Е. Скромное "обаяние" векселя и управления рисками. Экономика и жизнь. №45, 1997 г.
1 Грицун Ю.Н. Проблемы дефицита денег и особенности вексельного кредитования.
Финансы №12, 1997 г.
1 Мешкова Е. Скромное "обаяние" векселя и управление рисками. Экономика и жизнь №45, 1997 г.
2 Маневич В.Е., Перламутров В.Л. Вексельное обращение и вексельный кредит. Финансы №5, 1996 г.
1 Сименкова Е.В. Операции с ценными бумагами. М. 1997 г.
1 Лукасевич И.Я. Анализ финансовых операций. М. 1998 г.
30















