CBRR2314 (661089), страница 4
Текст из файла (страница 4)
Предметом других учетных операций выступают прежде всего банковские векселя. Падение объемов вексельного кредитования вынудило коммерческие банки обратить внимание на отдельные корпоративные бумаги.
Из огромного перечня наводнивших российский рынок корпоративных векселей, только очень узкий круг их можно отнести к действительным векселям – безусловным долговым обязательствам.
Порядок обращения остальных бумаг регулируется не вексельным правом, а внутренними положениями отдельных векселедателей, которые зачастую не только не предполагают погашение векселей в денежной форме, но даже не предусматривают прием векселей к погашению задолженности при отсутствии сопроводительных писем или при наличии отдельных индоссаментов.
С учетом подобных моментов банки приобретают для собственного инвестиционного портфеля очень ограниченный круг корпоративных векселей, в частности РАО "Газпром", АО "Алмазы-России-Саха", АО "Сиданко"1. Векселя других предприятий в силу имеющихся особенностей их использования только в схемах взаиморасчетов выступают для банков исключительно предметом сделок типа "рэпо" либо брокерских операций.
При использовании вексельного кредитования не происходит реального отвлечения денежных средств на период выдачи ссуды. Кроме того, находящиеся в обращении банковские векселя и как предмет высоко ликвидного обеспечения при предоставлении банком каких-либо кредитных продуктов – кредитов, гарантий, аккредитивов и т.п. Устанавливая достаточно низкие ставки по вексельным кредитам, банк дополнительно привлекает и новых клиентов. При определении процентной ставки по вексельному кредиту принимаются во внимание следующие факторы:
-
необходимость резервирования остатков по вексельным счетам в фонде обязательных резервов ЦБ РФ, что обуславливает дополнительное привлечение средств аналогичной срочности;
-
вероятность дополнительного привлечения денежных средств при разрыве сроков предоставления кредита и сроках обращения векселя (на разницу в сроках);
-
необходимость учета процентной ставки при определении риска, возникающего при операции кредитования2.
Выгода, извлекаемая предприятиями при использовании вексельного кредита.
-
преодоление необоснованного и неэффективного ограничения платежеспособного спроса и в целом ряде случаев добиться роста производственной активности;
-
банковская гарантия платежа путем предоставления векселя снимает необходимость для предприятий предоплаты в тех нередких случаях, когда она служит исключительно для защиты от риска неплатежей, тем самым появляется возможность ускорения материального оборота;
-
банковские векселя, предоставленные клиентам банка под депозиты, которые являются для банка гарантией оплаты векселей, как правило, по сумме в два раза и более, превосходят размер депозита и, таким образом величина, оборотных средств оперативного управления предприятия увеличивается;
-
в прямой экономии на налоговых выплатах, налог на доход, полученный по векселю для предприятия - 15 %, по сравнению с налогообложением аналогичного дохода на депозитном вкладе в банке, который составляет 35 %1;
-
ликвидность вложений; бурно развивающийся вексельный рынок предоставляет возможность продать вексель или учесть его в банке.
Решение проблемы дефицита денег в экономике, безусловно, облегчит доступ предприятий к получению кредитных "живых" денег, однако не приведет к полному отказу от векселей в качестве получения источника дополнительных оборотных средств, поскольку вексельное законодательство и унифицировано, а стоимость "вексельных" денег всегда будет оставаться ниже стоимости "живых". И поскольку ситуация, сложившаяся в финансовой системе страны, такова, что только кредитование реального сектора (речь идет о возвратных кредитах) может служить мощным источником улучшения положения промышленных предприятий и обслуживающий их коммерческих банков, вексельное кредитование будет с успехом использоваться между банками и их клиентами.
Самым существенным элементом инфраструктуры вексельного рынка является механизм ликвидности этой ценной бумаги в законодательном порядке. Если он не будет выработан и законодательно закреплен, то векселедержатели в России столкнуться в недалеком будущем с проблемой массовых неплатежей по векселям.
4. Анализ операций с векселями.
4.1. Анализ доходности финансовых векселей.
Вексель может быть выпущен как с дисконтом, так и с выплатой фиксированного процента к номиналу в момент погашения (процентный вексель).
С
точки зрения количественного анализа в первом случае вексель представляет собой дисконтную бумагу, доход по которой представляет разницу между ценой покупки и номиналом. Поэтому доходность такого векселя определяется аналогично доходности любого обязательства, реализуемого с дисконтом и погашаемого по номиналу:
где t –число дней до погашения;
Р – цена покупки;
N – номинал;
К – курсовая стоимость;
В – используемая временная база;
Как правило, в операциях с векселями используются обыкновенные проценты (360/360).
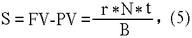
Абсолютный дисконт по дисконтному векселю S равен:
S=FV-PV=N-P=100-K. (2)
Е
сли вексель продается (покупается) до срока погашения, доход будет поделен между продавцом и покупателем с учетом величины рыночной ставки процента и числа дней, оставшихся до погашения:
где Y - рыночная ставка (норма доходности покупателя);
t - число дней от момента сделки до срока погашения;
Соответственно, доход продавца будет равен:
Sпрод = S - Sпок , (4)
Если вексель размещается по номиналу, его доход определяется объявленной процентной ставкой r. В этом случае вексель представляет собой ценную бумагу с выплатой фиксированного дохода в момент погашения.
_______________________________________________________
1 Лукасевич И.Я. Анализ финансовых операций. М. 1995 г.
С учетом введенного выше обозначения r абсолютный размер дохода по векселю может быть определен, как:
где r - ставка по векселю;
N - номинал;
t - срок погашения в днях;
B - временная база;
С
оответственно, годовая доходность погашения Y, исчисленная по простым процентам, будет равна:
Из (5) и (6) следует, что если обязательства размещено по номиналу и держится до срока погашения его доходность будет равна указанной в контракте ставки процента (т.е. Y=r).
Е
сли вексель продается (покупается) между датами выпуска и погашения, абсолютная величина дохода S будет распределена между продавцом и покупателем в соответствии с рыночной ставкой (нормой доходности покупателя) Y на данный момент времени и пропорционально сроку хранения ценной бумаги каждой из сторон. Часть дохода, причитающаяся покупателю за оставшийся до погашения срок t2, будет равна:
где t2 - число дней от момента покупки до погашения векселя.
Соответственно, продавец получит величину:
Sпрод = S – Sпок (8)
Соотношение (7) и (8) отражают ситуацию равновесия на рынке (т.е. "справедливое" распределение доходов в соответствии с рыночной ставкой Y и пропорционально сроку хранения бумаги каждой из сторон). Любое отклонение в ту или иную сторону повлечет за собой перераспределение дохода в пользу одного из участников сделки.
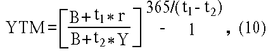
П
редельная величина рыночной ставки Y, при которой продавец бумаги получит доход, должна удовлетворять неравенству:
где r - ставка по векселю;
Y - рыночная ставка;
t1 - число дней до погашения в момент покупки;
t2 - число дней до погашения в момент перепродажи;
П
ри этом доходность операции будет равна:
где YTM - эффективная доходность
4.2. Оценка стоимости финансовых векселей.
Процесс оценки стоимости векселя, выпущенного с дисконтом, заключается в определении современной величины элементарного потока платежей по формуле простых процентов исходя из требуемой нормы доходности Y.
С
учетом используемых обозначений формула текущей стоимости (цены) подобного обязательства будет иметь вид:
П
оскольку номинал дисконтного векселя принимается за 100%, его курсовая стоимость равна:
О
пределение современной стоимости процентных векселей. С учетом накопления на момент проведения операции дохода стоимость обязательства (Р), соответствующая требуемой норме доходности Y может быть определена из соотношения:
где – t число дней до погашения.
При Y=r рыночная стоимость обязательства на момент выпуска будет равна номиналу (т.е. Р=N). Соответственно, при Y>r будет Р
Таким образом, рыночная стоимость векселя с учетом накопленного дохода, определяемая из (14), может отклоняться от номинала. Однако в биржевой практике принято котировать в процентах к номиналу, т.е. за 100 единиц на дату сделки. При этом ставка дохода по обязательствам r показывается отдельно.
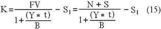
К
урсовая стоимость обязательства К, проводимая в биржевых сводках, определяется как:
где t - число дней до погашения;
S1 – абсолютная величина дохода, накопленная к дате совершения сделки.
В
свою очередь величина S1 может быть найдена из следующего соотношения:
где t1 - число дней от момента выпуска до даты сделки.
Таким образом, полная рыночная стоимость векселя Р может быть так же определена как:
P = K + S1
4.3. Анализ учета векселей.
При учете вексель выполняет две функции: коммерческого кредита и средства платежа.
А
бсолютная величина дисконта определяется как разность между номиналом векселя и его современной стоимостью на момент проведения операции. При этом дисконтирование осуществляется по учетной ставке d, устанавливаемой банком:
где t - число дней до погашения;
d - учетная ставка банка;
P - сумма, уплаченная владельцу при учете векселя;
N - номинал;
С
овременная стоимость PV (ценные обязательства Р) при учете векселя по формуле:
Суть данного метода заключается в том, что проценты начисляются на сумму, подлежащую уплате в конце срока операции. При этом применяется учетная ставка d.
При дисконтировании по учетной ставке чаще всего используют временную базу 360/360 или 360/365. Используемую при этом норму приведения называют антисипативной ставкой процентов1.
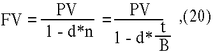
У
четная ставка d иногда применяется и для наращивания по простым процентам. Необходимость в таком наращивании возникает при определении будущей суммы контракта, например, общей суммы векселя. Формула определения будущей величины в этом случае имеет вид:
Пример 1:
Простой вексель на сумму 100 000 с оплатой через 90 дней учитывается в банке за 60 дней до погашения. Учетная ставка банка 15 %. Определить величину дисконта в пользу банка и сумму, полученную владельцем векселя.
Disc = (100000 * 60 * 0.15) / 360 = 2500;
Соответственно, владелец векселя получит величину PV:
PV=100000 – 2500 = 97500;
Предположим, что в рассматриваемом примере владелец векселя решил учесть вексель немедленно после получения, тогда:
Disc = (100000 * 90 * 0.15) / 360 = 3750;
PV = 100000 – 3750 = 96250;
Как следует из полученного результата, при неизменном значении ставки d чем раньше производится учет векселя, тем больше будет величина дисконта в пользу банка и тем меньшую сумму получит владелец. Изменим условия примера 1 следующим образом.















